Równość w wyborach – co robimy źle? Na podstawie wyborów organów stanowiących JSTdr Maciej Onasz Uniwersytet Łódzki
Współczesne systemy polityczne i administracyjne. Reformy, adaptacje, kontynuacje
- Stosujemy rozwiązania oderwane od rzeczywistości, które nie mogą dać pożądanych z punktu widzenia równości wyborczej rezultatów
- Stosujemy rozwiązania oderwane od rzeczywistości, które nie mogą dać pożądanych z punktu widzenia równości wyborczej rezultatów
- A w zasadzie to w sumie tylko udajemy, że je stosujemy, przez co efekty mogą być jeszcze gorsze
- Stosujemy rozwiązania oderwane od rzeczywistości, które nie mogą dać pożądanych z punktu widzenia równości wyborczej rezultatów
- A w zasadzie to w sumie tylko udajemy, że je stosujemy, przez co efekty mogą być jeszcze gorsze
- Na szczęście, zobowiązaliśmy się stosować znacznie sensowniejsze rozwiązania
- Stosujemy rozwiązania oderwane od rzeczywistości, które nie mogą dać pożądanych z punktu widzenia równości wyborczej rezultatów
- A w zasadzie to w sumie tylko udajemy, że je stosujemy, przez co efekty mogą być jeszcze gorsze
- Na szczęście, zobowiązaliśmy się stosować znacznie sensowniejsze rozwiązania
- Tyle, że ich nie stosujemy, a zobowiązanie pozostaje martwe
- Stosowanie liczby mieszkańców jako parametru warunkującego strukturę okręgów.
- Odpuszczalny zakres nierówności
Kw:
niemalże trzykrotność <0,5 ; 1,5)
KDP - dwie normy:
norma miękka <0,9 ; 1,1>
norma twarda <0,85 ; 1,15>
Podstawowe problemy:
- Badanie objęło wybory do rad gmin poniżej 20.000 mieszkańców w roku 2024.
- Badanie skupia się na zachowaniu równego podziału mandatów między okręgi wyborcze oraz wskazaniu zakresu patologicznego (jak to określili R. Taagepera i M.S. Shugart ) zjawiska nierównego podziału, w naukach politycznych określanego mianem malapportionmentu.
- Badanie objęło 2158 gmin oraz 32370 okręgów.
- roblemem są rozbieżności w danych publikowanych przez PKW/KBW oraz błędy w protokołach (błedy ludzkie).
- W sytuacjach wątpliwych, w których odsetek uprawnionych do głosowania względem mieszkańców był nadzwyczaj niski/wysoki, dokonano weryfikacji z wykorzystaniem innych protokołów z tych wyborów.
- Dokonano korekty dla 192 okręgów (w 80% - obniżenie).
- W przypadku 22 okręgów weryfikacja była niemożliwa.
Wykorzystano następujące indeksy/wskaźniki:
- wskaźnik względnej nierówności (relatice deviation) [PD]
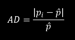
- wskaźnik bezwzględnego odchylenia od normy reprezentacji (absolute deviation) [AD]
- współczynnik maksymalnej różnicy w sile głosu (Voter equivalency ratio) [VER]
- współczynnik maksymalnego odchylenia populacji (total/maximum population deviation) [TPD]
- Dostosowany indeks potencjalnej kontroli [ATCI] - modyfikacja indeksu potencjalnej kontroli [TCI]
- Stosunek liczby uprawnionych do głosowania do liczby mieszkańców w okręgach
Wskaźnik względnej nierówności (relatice deviation) [PD]
Stosunek liczby mieszkańców/wyborców w okręgu do średniej liczby mieszkańców przypadającej na mandat (normy reprezentacji).

Dopuszczalne wartości [Kw]: <0,5 ; 1,5)

Norma Kw (skrajnie liberalna) złamana:
89 okręgów w 89 gminach dla l.m.
124 okręgów w 124 gminach dla l.u.
0,27%/0,38% okręgów ale aż 4,12%/5,75% gmin.
Bezwzględne odchylenie od normy reprezentacji w okręgach

Dopuszczalne wartości (KDP):
<0 ; 0.1> norma miękka
<0 ; 0,15> norma twarda

Norma KDP została złamana w:
Norma miękka:
63,44% okręgów (mieszkańcy),
62,45% okręgów (wyborcy)
Norma twarda:
47,74% okręgów (mieszkańcy),
46,73% okręgów (wyborcy)
Norma KDP została złamana w:
Norma miękka:
99,91% gmin (mieszkańcy), [2]
100% gmin (wyborcy) [0]
Norma twarda:
99,54% gmin (mieszkańcy), [10]
99,35% gmin (wyborcy) [14]
współczynnik maksymalnej różnicy w sile głosu (Voter equivalency ratio) [VER]
Maksymalna względna różnica w sile głosu w odniesieniu do liczby mieszkańców/uprawnionych

Dopuszczalne wartości:
<1 ; 3) dla Kw
<1 ; 1,15> oraz <1 ; 1,353> dla KDP

Norma złamana w:
norma KW: 0,09%/0,42% (m/u) 2 gminy/9 gmin
KDP
miękka: 99,91%/99,95% (2156/2157)
twarda: 99,03%/98,66% (2137/2129)
Ponadto: w ponad połowie gmin, wartości VER wyniosły ponad 2.
Wartości maksymalne:
3,04 oraz 4,35
Współczynnik maksymalnego odchylenia populacji

Dopuszczalne wartości:
<0 ; 1) dla Kw
<0 ; 0,2> oraz <0 ; 0,3> dla KDP

Norma złamana w:
norma KW: 0,05%/0,70% (m/u) 1 gmina/15 gmin
KDP
miękka: 99,91%/99,95% (2156/2157)
twarda: 99,07%/98,66% (2137/2129)
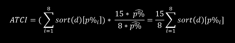
Indeks potencjalnej kontroli wskazuje minimalny odsetek populacji w okręgach pozwalających uzyskać (w przypadku zwycięstwa i uzyskania mandatu) bezwzględną większość mandatów w wybieranym organie wyrażony wzorem:

Gdzie sort(d) oznacza uporządkowanie zbioru okręgów niemalejąco pod względem liczby mieszkańców zaś p%i oznacza udział procentowy mieszkańców w okręgu i w ogólnym zbiorze mieszkańców
Żeby miara TCI miała głębszy sens i pozwalała na zastosowanie w badaniach porównawczych, niezbędne jest jej dostosowanie - ustalenie proporcjo TCI dla danej obserwacji z wartością TCI w sytuacji zachowania idealnej siły głosu w danej sytuacji wyborczej.

Możemy dostosować ten wzór do potrzeb wyborów przeprowadzanych w 15 okręgach jednomandatowych:


Jakie wartości ATCI możemy (powinniśmy?) uznać za dopuszczalne?
- W przypadku KDP możemy założyć sytuację skrajnej nierówności: w połowie okręgów populacja przyjmuje najniższą dopuszczalną wartość, w połowie najwyższą dopuszczalną wartość (względnie - jeden okręg o populacji równej średniej w przypadku nieparzystej liczby mandatów.
- Pozwala to na otrzymanie ciągu zmiennych wartości, którego granica wynosi 0,9 (warunek miękki) oraz 0,85 (warunek twardy)
- Podobnie dla normy Kw - granica wynosi 0.5.
Jakie wartości ATCI możemy (powinniśmy?) uznać za dopuszczalne?
Zakładając racjonalność polskiego ustawodawcy oraz Komisji RE, można przyjąć, że nie było ich celem dążenie do dopuszczenia skrajnego upośledzenia znacznej większości populacji względem mniejszości. Stąd proponuję przyjęcie dopuszczalnego odchylenia od stanu idealnego w wartości średniej arytmetycznej między stanem idealnej równości a wskazanymi granicami skrajnej nierówności.
Przyjęte dopuszczalne wartości ATCI z punktu widzenia realizacji norm przy założeniu racjonalności decydentów:
dla Kw: <0,75 ; 1>
dla KDP:
<0,95; 1> - norma miękka
<0,925 ; 1> - norma twarda

Przekroczenie dopuszczalnego zakresu ATCI:
(mieszkańcy)
dla normy Kw: 0,70% (15)
dla norm KDP:
miękka: 99,86% (2155)
twarda: 98,05% (2115)
jeśli odrzucimy założenie o racjonalności:
dla normy Kw: 0% (0)
dla norm KDP:
miękka: 91,06% (1965)
twarda: 52,04% (1123)
Przekroczenie dopuszczalnego zakresu ATCI:
(uprawnieni)
dla normy Kw: 0,60% (13)
dla norm KDP:
miękka: 99,63% (2150)
twarda: 96,76% (2088)
jeśli odrzucimy założenie o racjonalności:
dla normy Kw: 0% (0)
dla norm KDP:
miękka: 89,48% (1931)
twarda: 50,05% (1080)
Stosunek liczby uprawnionych do głosowania do liczby mieszkańców w okręgach
Średnio: 81%, mediana 81%

Minimum: 19%
Maksimum: 160%
- Najniższy odsetek uprawnionych do głosowania wśród mieszkańców zaobserwowano w okręgu nr 2 w gminie Legnickie Pole (pow. legnicki, woj. dolnośląskie).
- Spośród 456 mieszkańców jedynie 88 posiadało prawo wybierania. Okręg ten obejmuje część miejscowości Legnickie Pole, konkretnie: ulicę Benedyktynów . Powodem niecodziennej sytuacji jest fakt, że na obszarze okręgu znajduje się Dom Pomocy Społecznej w Legnickim Polu
- placówka zapewniająca opiekę osobom w złym stanie zdrowia, w tym osobom ubezwłasnowolnionym.
- Zgodnie z informacją uzyskaną od dyrekcji DPS, w połowie 2024 roku (zatem w niewielkim odstępie czasowym od głosowania w wyborach rad gmin), DPS zapewniał opiekę dla 364 osób ubezwłasnowolnionych.
- Zgodnie z zapisami Kw, osoby te są mieszkańcami gminy i okręgu (Kw nie przewiduje wyłączeń z uwagi na ubezwłasnowolnienie).
- Sam fakt, z punktu widzenia procesu wyborczego przypadkowy, funkcjonowania tego typu placówki w małej gminie (5273 mieszkańców wedle danych wyborczych) powoduje wyraźne zaburzenie realizacji materialnego aspektu zasady równości w odniesieniu do liczby uprawnionych.
- Należy przy tym pamiętać, że osoby objęte opieką DPS nie musiały być wcześniej w jakikolwiek sposób związane z gminą (a biorąc pod uwagę ich liczbę – scenariusz, w którym wszystkie te osoby byłyby wcześniej mieszkańcami gminy Legnickie Pole należy uznać za skrajnie nieprawdopodobny).
- Zatem funkcjonowanie podmiotu nie mającego związku z procesem wyborczym, świadczącego usługi osobom, które (do momentu umieszczenia w DPS) nie były mieszkańcami danej gminy i nie współtworzyły w niej wspólnoty samorządowej, powoduje zaburzenie prawidłowego przebiegu procesu wyborczego.
- Drugim ze skrajnych przypadków jest okręg nr 3 w gminie Choroszcz (pow. białostocki, woj. podlaskie).
- Zgodnie z danymi wyborczymi, liczba mieszkańców okręgu wyniosła 569, natomiast liczba uprawnionych do głosowania 912.
- Okręg ten obejmuje część miasta Choroszczy, w skład której wchodzą ulice: Szpitalna, Henryka Sienkiewicza, Słoneczna, 3 go Maja od nr 1 do nr 19 (nieparzyste) i od numeru 2 do nr 8 (parzyste), Plac im. dr Zygmunta Brodowicza . Jedną z przyczyn (nie udało się potwierdzić, że jedyną) analizowanej sytuacji jest funkcjonowanie na obszarze okręgu Samodzielnego Publicznego Psychiatrycznego Zakładu Opieki Zdrowotnej im. dr. Stanisława Deresza w Choroszczy.
Rownosc
By Maciej Onasz
Rownosc
Rownosc
- 109