Electoral indexes
Basic electoral indexes
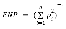
Effective Number of Parties [ENP]
- ENPs - ENP acording to seats
- ENPv - ENP acording to votes
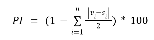
Proportionality Index
competitiveness index
aggregation index
ENP
Markku Laakso and Rein Taagepera’s (1979) Effective Number of Parties Index using the formula:
where pi relates to percentage of votes (ENPv) or seats (ENPs) obtained by the party i and n to the number of parties that obtained at least 1 vote [1 seat], was used to calculate the effective number of parties. The increase in the value of the ENP index means an increase in the number of relevant participants in the struggle for power.

Proportionality Index
The Proportionality Index used for research is based on Loosemore-Hanby Disproportionality Index (Loosemore, Hanby, 1971: 467-469) takes the formula:
The indicator ranges from 0 to 100. The value 100 means full proportionality (the percentage of seats in each grouping is equal to the percentage of votes obtained), and the value 0 represents extreme disproportionality (all seats were obtained by the party that did not get any votes).

Aggregation Index
To calculate the "ownership" of the most powerful electoral committee, use the Aggregation Index of Lawrence C. Mayer (1980), based on the formula:
where sw refers to the number of seats obtained by the winning party, S to the overall number of seats in the council and n to the number of parties that obtained at least 1 seat.

Aggregation Index
The higher the value of the index, the more concentrated the party system (Banaś 2016: 53). The maximum value of the index (100) means the extreme concentration of the system by one party winning all the seats.
Competition Index
The Competition Index is calculated using the formula
where vw refers to the number of votes obtained by the winning party, and vsw to the number of votes obtained by the second winning party.

Competition Index
The values of this index may vary within the range <0,1>. The lower the value, the lower the level of competitiveness within the system. The values no lower than 0,8 are generally perceived as a sign of high level of competitiveness (Antoszewski 2017).
Electoral Indexes
By Maciej Onasz
Electoral Indexes
- 486