Wybory
Realna ocena szansWybory: realna ocena szansPodstawowe pytanie:
Wybory: realna ocena szansPodstawowe pytanie:
PO CO?
Jaki jest nasz cel?
Cel- DLACZEGO? PO CO?
- Dopiero później jak? i co?
- Różne rodzaje celów
- Różna interpretacja celów na poszczególnych poziomach decyzyjnych
- Czy za celem wyborczym i politycznym idzie jakiś inny cel?
Cel- wyborczy
- polityczny
- osobisty?
- inne?
Specyfika wyborów samorządowych
Wielopoziomowość:
- Poziom globalny (ugrupowania lub szerszy)
- Poziom ciała wybieranego (np. rada)
- Poziom okręgu
- Poziom personalny
Specyfika wyborów samorządowych
Wielopoziomowość:
- Różne systemy wyborcze
- Ale, na szczęście, podobne do siebie
- całkowicie różne specyfiki lokalne i regionalne
Systemy wyborcze
System wyborczy jest lekceważony.
Ale bez jego znajomości skazujemy się na porażkę a przynajmniej ograniczamy własne szanse
Systemy wyborcze
Elementy:
- Możliwa oferta wyborcza
- Struktura okręgów wyborczych
- Formuła wyborcza
- Uprawnienia wyborcy
Systemy wyborcze
Ile mamy tych systemów?
Systemy wyborcze
Ile mamy tych systemów?
Zależy jak liczyć - od 5 do 5,5 tysiąca ;]
Systemy wyborcze
System wyborczy jest lekceważony
Ale bez jego znajomości skazujemy się na porażkę a przynajmniej ograniczamy własne szanse
Znać nie oznacza od razu rozumieć
Realna ocena szans
Najważniejszym elementem jest struktura okręgów.
Dopiero później formuła i metoda wyborcza.
Przykład bardzo samorządowy:
jakie jest znaczenie progu ustawowego?
Realna ocena szans
Progi naturalne:
Informują nas o poparciu wymaganym dla skrajnych/typowych/istotnych analitycznie poziomów prawdopodobieństwa uzyskania określonego wyniku wyborczego (mandatowego)
Progi naturalne
- Próg włączenia [threshold of inclusion - TI]: informuje nas o minimalnym poparciu, którego przekroczenie daje choćby minimalną szansę na mandat/określoną liczbę mandatów.
- Próg wyłączenia [threshold of exclusion TE]: o minimalnym poparciu, którego przekroczenie daje pewność uzyskania mandatu/określonej liczby mandatów.
- Próg rzeczywisty: jego przekroczenie czyni uzyskanie mandatu/określonej liczby mandatów prawdopodobnym.
Progi naturalne
| próg | prawdopodobieństwo |
|---|---|
| włączenia | 0% |
| wyłączenia | 100% |
| rzeczywisty | 50% |
Progi naturalne
Wartości progów naturalnych są zależne od:
- Liczby mandatów w okręgu,
- Metody wyborczej,
- Liczby list/kandydatów
Uwaga: mamy szczęście. Dla metody D'Hondta koszt każdego kolejnego mandatu jest identyczny.
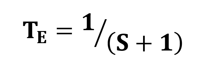
Progi naturalne - próg wyłączenia
Najbardziej banalny. W podstawowej formie jego formuła jest identyczna dla wszystkich normalnych metod.

G - liczba głosów wyborcy
S - liczna mandatów w okręgu
Progi naturalne - próg wyłączenia
Najbardziej banalny. W podstawowej formie jego formuła jest identyczna dla wszystkich normalnych metod.
S - liczna mandatów w okręgu

Progi naturalne - próg wyłączenia
Najbardziej banalny. W podstawowej formie jego formuła jest identyczna dla wszystkich normalnych metod.
| S | 1 | 3 | 4 | 5 | 6 | 7 | 8 | 9 | 10 | 11 |
|---|---|---|---|---|---|---|---|---|---|---|
| TE | 50,00% | 25,00% | 20,00% | 16,67% | 14,29% | 12,50% | 11,11% | 10,00% | 9,09% | 8,33% |
Progi naturalne - próg wyłączenia
Dla innych metod niż metoda D'Hondta możemy podać dokładniejsze wartości znając liczbę list w okręgu

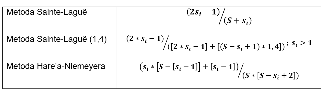
Progi naturalne - próg wyłączenia dla si>1
Koszt każdego kolejnego mandatu dla metody D'Hondta jest stały.
Próg wyłączenia dla metody D'Hondta jest niezależny od liczby list.

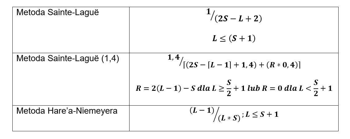
Progi naturalne - próg wyłączenia dla innych metod dla s>1

Progi naturalne - próg włączenia
Dla metody D'Hondta jest ponownie banalny. Dla pozostałych metod (dla si=1) również prosty.

Progi naturalne - próg włączenia
Dla metody D'Hondta próg włączenia TI dla kolejnych mandatów jest wielokrotnością TI dla pierwszego mandatu.

Progi naturalne - próg włączenia dla metod większościowych

Progi naturalne - próg rzeczywisty

Ocena szans - miejsce na liście
- Wszędzie mamy listy otwarte.
- Nadal kolejność ma ogromne znaczenie (do 80%)
Ocena szans - miejsce na liście
Odsetek głosów względem miejsc

Ocena szans - miejsce na liście
Odsetek głosów względem miejsc

Ocena szans - miejsce na liście
Odsetek głosów względem miejsc

Ocena szans - miejsce na liście
Odsetek głosów względem miejsc

Ocena szans - miejsce na liście
Odsetek głosów względem miejsc

Ocena szans - miejsce na liście
Odsetek mandatów

Ocena szans - miejsce na liście
Odsetek mandatów

Ocena szans - miejsce na liście
Odsetek mandatów

Ocena szans - miejsce na liście
Odsetek mandatów

Ocena szans - miejsce na liście
Odsetek mandatów

Ocena szans - miejsce na liście
Odsetek głosów na zwycięzcę w gminach poniżej 20.000

Ocena szans - miejsce na liście
Odsetek głosów na zwycięzcę w gminach poniżej 20.000

W ramach bonusu - co z tą małopolską?
Czy w Małopolsce, w okręgu krakowskim będzie mandat?

W ramach bonusu - co z tą małopolską?

W ramach bonusu - co z tą małopolską?

Kampania samorządowa
By Maciej Onasz
Kampania samorządowa
- 154