

Interactive Intro
Neural Networks

Interactive Intro
Neural Networks


Chapter 1 | Goal Supervised


Interactive Intro
Neural Networks


Chapter 1 | Goal Supervised


Interactive Intro
Neural Networks

Neuron

Chapter 1 | Goal Supervised


Interactive Intro
Neural Networks

Neuron

Chapter 1 | Goal Supervised

Chapter | Error Calcuation


Chapter | Error Calcuation


Chapter | Error Calcuation


Chapter | Error Calcuation

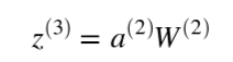
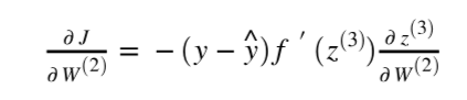
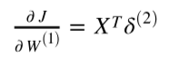
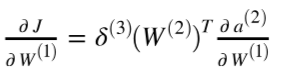
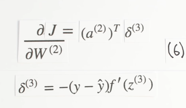
Our final piece of the puzzle is dz3dW2, this term represents the change of z, our third layer activity, with respect to the weights in the second layer.
Chapter | Error Calcuation

Z three is the matrix product of our activities, a two, and our weights, w two. The activities from layer two are multiplied by their correspond weights and added together to yield z3. If we focus on a single synapse for a moment, we see a simple linear relationship between W and z, where a is the slope. So for each synapse, dz/dW(2) is just the activation, a on that synapse!
Chapter | Error Calcuation


z2
z3
Chapter | Error Calcuation





Chapter | Error Calcuation

def costFunctionPrime(self, X, y):
self.yHat = self.forward(X)
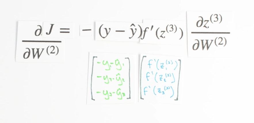
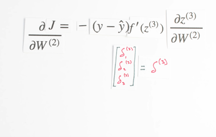
delta3 = np.multiply(-(y-self.yHat), self.sigmoidPrime(self.z3))
dJdW2 = np.dot(self.a2.T, delta3)

Chapter | Error Calcuation


def costFunctionPrime(self, X, y):
self.yHat = self.forward(X)
delta3 = np.multiply(-(y-self.yHat), self.sigmoidPrime(self.z3))
dJdW2 = np.dot(self.a2.T, delta3)
Chapter | Error Calcuation


Chapter | Error Calcuation


Chapter | Error Calcuation



Chapter | Error Calcuation




Chapter | Error Calcuation




Chapter | Error Calcuation





Chapter | Error Calcuation


Chapter | Error Calcuation


def costFunctionPrime(self, X, y):
#Compute derivative with respect to W and W2 for a given X and y:
self.yHat = self.forward(X)
delta3 = np.multiply(-(y-self.yHat), self.sigmoidPrime(self.z3))
dJdW2 = np.dot(self.a2.T, delta3) + self.W2
delta2 = np.dot(delta3, self.W2.T)*self.sigmoidPrime(self.z2)
dJdW1 = np.dot(X.T, delta2) + self.W1
Chapter | Error Calcuation


Chapter | Error Calcuation

Chapter | Error Calcuation


Chapter | Error Calcuation


Chapter | Error Calcuation


Chapter | Error Calcuation


Chapter | Error Calcuation


Chapter | Error Calcuation


Chapter | Error Calcuation


Chapter | Error Calcuation


Chapter | Error Calcuation


Chapter | Error Calcuation


Chapter | Error Calcuation


Chapter | Error Calcuation


Chapter | Error Calcuation


Chapter | Error Calcuation


Chapter | Error Calcuation


Chapter | Error Calcuation


Chapter | Error Calcuation


Neural Network Layers
By Marina Goto
Neural Network Layers
- 186