Michael Brolley

Liquid speed:

a micro-burst fee for low-latency exchanges

Marius Zoican

The cost of latency arbitrage

U.K.-based evidence (Aquilina, Budish, O'Neill, 2020) shows that latency arbitrage races are:

  • Frequent: 537 races/symbol-day in FTSE100 stocks.
  • Fast: winner speed margin of 5-10 microseconds.
  • Concentrated: top 6 firms win 87% of races.
  • Costly: A daily tax of 0.42 bps of total trading volume.
  • Harmful for markets: Reduce liquidity for investors by 17%.

Existing market design solutions

Speed bumps Batch auctions
Liquidity         😃😃          😃😃
Exchange revenue            😞          😞😞
Implementation difficulty            😐          😞😞
Regulatory challenges            😐            😞
  • Focus on eliminating HFT races and improving liquidity.
  • Not concerned with exchange revenues & incentive compatibility
  • Sometimes at odds with current fragmented environment.

Micro-burst fees

Our solution: A micro-burst (congestion) fee

  • Main idea: Surge pricing of speed (à la Uber).
  • How? Implement a micro-burst fee on liquidity taking orders.
  • Fee per message within sub-millisecond clusters.
  • Fee level     # liquidity taking orders, surge during micro-bursts.
  • Market price of speed: latency arbitrage is priced in.
  • Mechanism produces revenue for exchanges.
\uparrow

A world with co-location fees

A world with no latency arbitrage

(e.g., idealized batch auctions)

Our proposal: A world with micro-burst fees

Micro-burst fee design:

f\left(\phi,k\right)

Two parameters:

  • A fee scale parameter
  • The number of messages in the cluster
  • Cluster size of 100 microseconds to 10 milliseconds).
  • A fee of zero if a single marketable order in a cluster.
  • Fees are computed intraday, but charged at low frequencies.
  • Unlikely to accidentally pay fees: Daily race duration is 0.05s.

Implementation: Inbound firewall timestamps

Implementation: Inbound firewall timestamps

Implementation: Criteria for a microburst

  • Multiple (2+) aggressive orders on the same security, side, and price level(s).
    • Require unique UserID (different trading desks)
    • LO or IOC is aggressive if buy at or above best ask;
    • ------------------------------------ sell at or below best bid;
  • Some aggressive orders succeed and some fail.
    • IOC fails if matching engine sends "expired" message;
    • LO fails if obtains zero quantity at price p.
  • Orders arrive at the same time.

What does "at the same time" mean?

\text{Actual Engine Latency}=\text{M1 Inbound} \rightarrow \text{M1 Outbound} \in \left[108\mu s,303\mu s\right]
\text{Minimum Reaction Time}=\text{M1 Outbound} \rightarrow \text{M2 Inbound} \approx 29 \mu s

M1 and M2 arrive at same time if:

M2 Inbound < M1 Inbound + AEL + MRT

  • Values can be re-calibrated
  • A cap for (AEL+MRT) can be set, e.g., 500 micros.

Game-theoretic equilibrium

Two important outcomes:

  • Liquidity (    ):  the outstanding half-spread
  • Race intensity (    ): probability of an HFT to race on a short-lived signal.
s^\star
p ^\star

Impact of the micro-burst/congestion fee

Exchange revenues

Exchange revenues from micro-burst fees

How does the fee magnitude impact revenues?

  • Direct effect:          implies higher revenues for each trade;
  • Indirect effect:          reduces HFT incentives to snipe         less intense races.
\phi \nearrow
\phi \nearrow
\Longrightarrow

How to optimally set     ?

\phi

Co-location fees lead to capped revenues

  • Co-location fees do not scale with trading activity and

  • they need to be paid in advance on all exchanges.

Micro-burst fee revenue > Co-location fee revenue

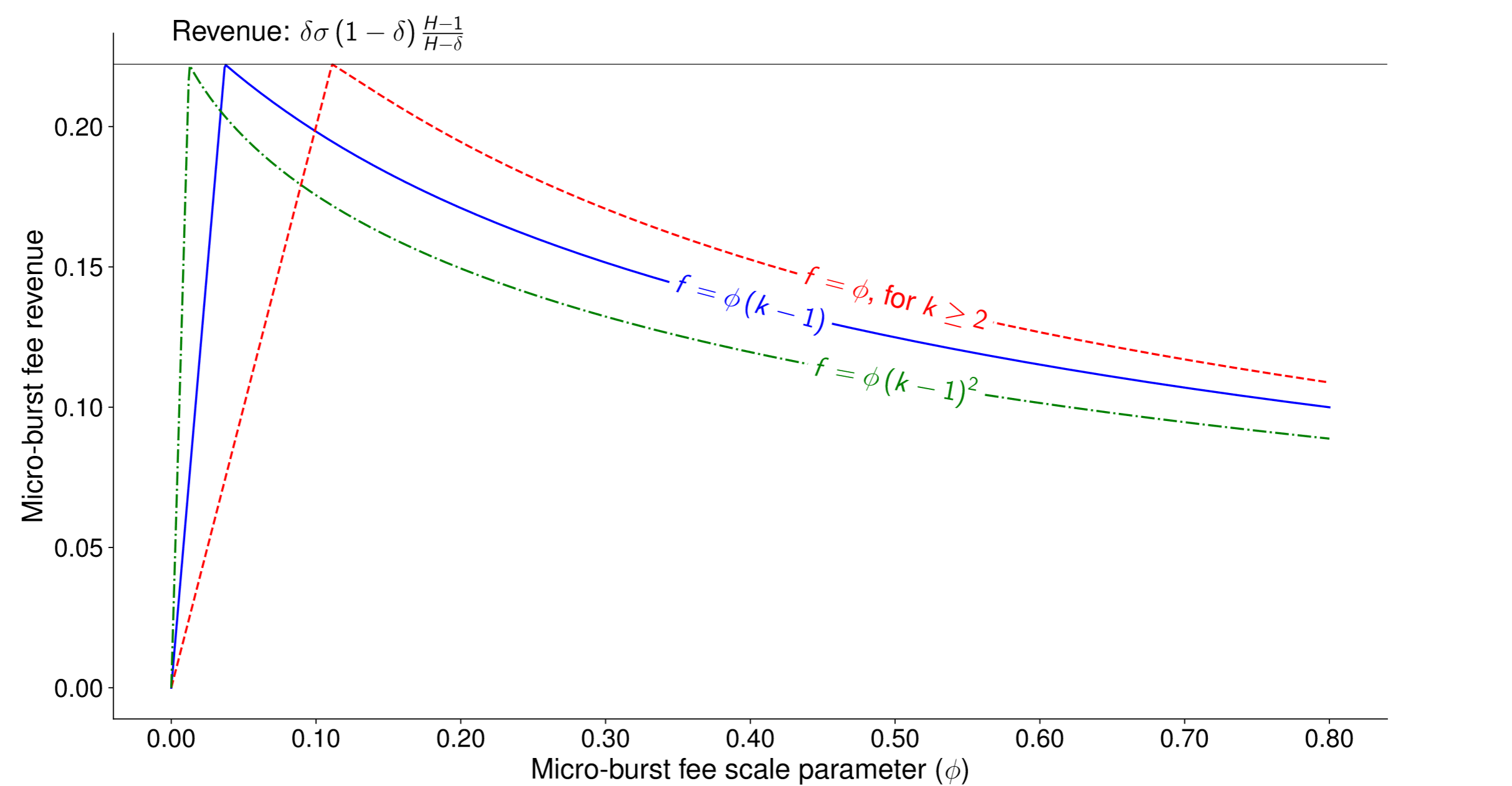
Precise fee shape is irrelevant for revenue

Competition and regulation

A fragmented exchange environment

  • HFTs pay co-location fees on all exchanges:
    Profits are not competed away.
  • With micro-burst fees, profits may be competed away since each exchange tries to capture the entire revenue.
  • Solution: a (lax) regulatory cap on fees.

What is the incentive compatible fee cap?

Calibration

We calibrate caps on a constant fee structure:

  • The revenue-maximizing fee is $0.34 per message.
  • The regulatory cap is $3.98 per message.
  • Any fee above 7.8 bps per share ($0.078/message):
    • generates higher liquidity than co-location fees
    • provides higher revenues than co-location fees.

Closest implementation:

IEX Crumbling Quote Remove Fee

  • A fee on liquidity taking order when CQI is on
    (i.e., IEX predicts an HFT race).
     
  • Micro-burst fees do not depend on a signal.
    • Cannot be "gamed" by exploiting signal flaws.
    • Are market-driven and more precise than a third party's assessment of races.

HFT entry and micro-burst fee caps

How do micro-burst fee compare?

Speed bumps Batch auctions Micro-burst fees
Liquidity         😃😃      😃😃               😃
Exchange revenue            😞      😞😞               😃
Implementation diff.            😐      😞😞            😐/😃
Regulatory hurdle            😐         😞           😐/😃

Liquid Speed: A Micro-Burst Fee for Low-Latency Exchanges

By Marius Zoican

Liquid Speed: A Micro-Burst Fee for Low-Latency Exchanges

TMX Group presentation on May 19, 2021

  • 734