'Transfer Learning' y reconocimiento facial

Martin Elias Quintero Osorio

Avances

  • Uso de redes pre-entrenadas(Transfer Learning)
  • Aplicacion de reconocimiento facial
  • Aumento de datos (Data Augmentation)

Reconocimiento de rostros

Las tecnicas que se han explorado

  • Face Detection using Haar Cascades
  • Histogram of Oriented Gradients (HOG)
  • DNN

Face Detection using Haar Cascades

Histogram of Oriented Gradients (HOG)

Histogram of Oriented Gradients (HOG)

Histogram of Oriented Gradients (HOG)

Deep Neural Network

Aumento de datos

Se utiliza la biblioteca imgaug combinada con un metodo propio de Keras.

Se utiliza la biblioteca imgaug combinada con un metodo propio de Keras.

Se utiliza la biblioteca imgaug combinada con un metodo propio de Keras.

Transfer Learning

Redes disponibles en keras

 

 

VGG16

VGG16

VGG19

InceptionV3(GoogLenet)

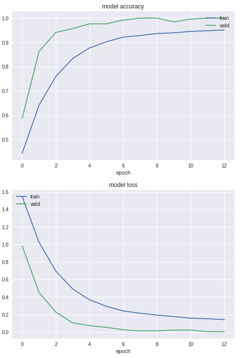
Experimentos

 

Fine-tuning

    my_model = models.Sequential()
    pre_model = pretrain_model(params)
    my_model.add(pre_model)
    my_model.add(layers.Flatten())
    my_model.add(layers.Dense(1024, activation="relu"))
    my_model.add(layers.Dense(512, activation="relu"))
    my_model.add(layers.Dropout(params["Dropout"]))
    my_model.add(layers.Dense(
        len(params["Classes"]), activation="softmax"))
    return my_model
    for layer in model.layers[:params["Freeze_layers"]]:
        layer.trainable = False

VGG16

Augmentation

 

VGG19

InceptionV3

Augmentation

 

Tranfer Learning y reconocimiento Facial

By Martin Elias Quintero Osorio

Tranfer Learning y reconocimiento Facial

  • 57