algorithm complexity Basic concepts

Mateo Sanabria Ardila
ISIS1105: Diseño y análisis de algoritmos
def has_sqrt(number: int) -> bool:
result = False
for i in range(1, number):
if i * i == number:
result = True
return result
def has_sqrt_list_0(i_list: list[int]) -> list[int]:
result = []
for k in i_list:
if has_sqrt(k):
result.append(k)
return result
def has_sqrt_list_1(i_list: list[int]) -> list[int]:
flag = True
i, count = 0, 0
_len = len(i_list)
while count < _len:
if not has_sqrt(i_list[count - i]):
i_list.pop(count - i)
i += 1
count += 1
return i_lisCual es mejor?Existen restricciones que se deben tener en cuenta cuando se diseñan algoritmos:
-
La capacidad de memoria -
El tiempo de ejecución del algoritmo -
Los costos operacionales
-
La maquina donde se ejecutara el algoritmo
-
...
Se quiere un método de comparación independiente del hardware y del lenguaje de programaciónhas_sqrt_list_0
has_sqrt_list_1

-
Tamaño de la entrada: Depende del problema...
-
Lista: longitud de la lista
-
Entero: cantidad de bits
-
Grafo: ?
-
-
Tiempo de ejecución: Numero de operaciones primitivas(steps)ejecutadas
-
Cada linea de código toma una cantidad constante para ejecutarse.
-
Cada linea de código puede tener una cantidad de tiempo ejecución diferente.
-
T(n) <-> 'Tiempo' de ejecución para una entrada de tamaño n del algoritmo def has_sqrt_list_0(i_list: list[int]) -> list[int]:
result = []
for k in i_list:
if has_sqrt(k):
result.append(k)
return result
| C1 | asignacion |
| C2 | iterador |
| C3 | bool Op |
| C4 | has_sqrt |
| C5 | append list Op |
| C6 | acceder a indice |
| C7 | len list Op |
| C8 | pop list Op |
def has_sqrt_list_0(i_list: list[int]) -> list[int]:
result = [] # T = C1
for k in i_list: # T = C2 + n * C6
if has_sqrt(k): # T = n * (C3 + C4(k))
result.append(k) # T = n * C5
return result
T_0(n) = C1 + C2 + nC6 + n(C3 +C4(k)) + nC5
| C1 | asignacion |
| C2 | iterador |
| C3 | bool Op |
| C4 | has_sqrt |
| C5 | append list Op |
| C6 | acceder a indice |
| C7 | len list Op |
| C8 | pop list Op |
def has_sqrt_list_1(i_list: list[int]) -> list[int]:
flag = True # T = C1
i, count = 0, 0 # T = 2 * C1
_len = len(i_list) # T = C7 + C1
while count < _len: # T = n * C3
if not has_sqrt(i_list[count - i]):
# T = n * (C4 + C6 + C3)
i_list.pop(count - i) # T = n * C8
i += 1 # T = C1
count += 1 # T = C1
return i_lis
T_1(n) = ?
| C1 | asignacion |
| C2 | iterador |
| C3 | bool Op |
| C4 | has_sqrt |
| C5 | append list Op |
| C6 | acceder a indice |
| C7 | len list Op |
| C8 | pop list Op |
Se quiere un método de comparación independiente del hardware y del lenguaje de programaciónhas_sqrt_list_0
has_sqrt_list_1

T_1(n) = 6*C1 + C7 + n(C4(k) + C6 + 2*C3 + C8)
T_0(n) = C1 + C2 + n(C3 + C4(k) + C5 + C6)

En realidad quisiéramos entender como crece el costo de ejecución con respecto al crecimiento de la entrada, sin la necesidad de constantes particulares. 
orden de complejidad
Sean f y g funciones con codominio en los naturales y rango en los reales positivos
-
f es de orden menor o igual que gg sii
\small
(\exists c,k \in \mathbb{N} \ |: (\forall m \in \mathbb{N} \ | \ k \leq m \ : f(m) \leq c g(m) ) )
-
y se escribe
f = \mathcal{O}(g)
f(n) = \mathcal{O}(g(n))
o
orden de complejidad
-
f es de orden igual que gg sii
f = \mathcal{O}(g) \ \wedge \ g = \mathcal{O}(f)
-
y se escribe
f = \Theta(g)
f(n) = \Theta(g(n))
o
orden de complejidad
Como se comparan las siguientes funciones en terminos de orden de complejidad
f(n) = 10n \ \wedge \ g(n) = n^2 \\
f(n) = 10n^3 \ \wedge \ g(n) = 100n^2 \\
f(n) = 10n \ \wedge \ g(n) = 5n + 30 \\
orden de complejidad: teoremas

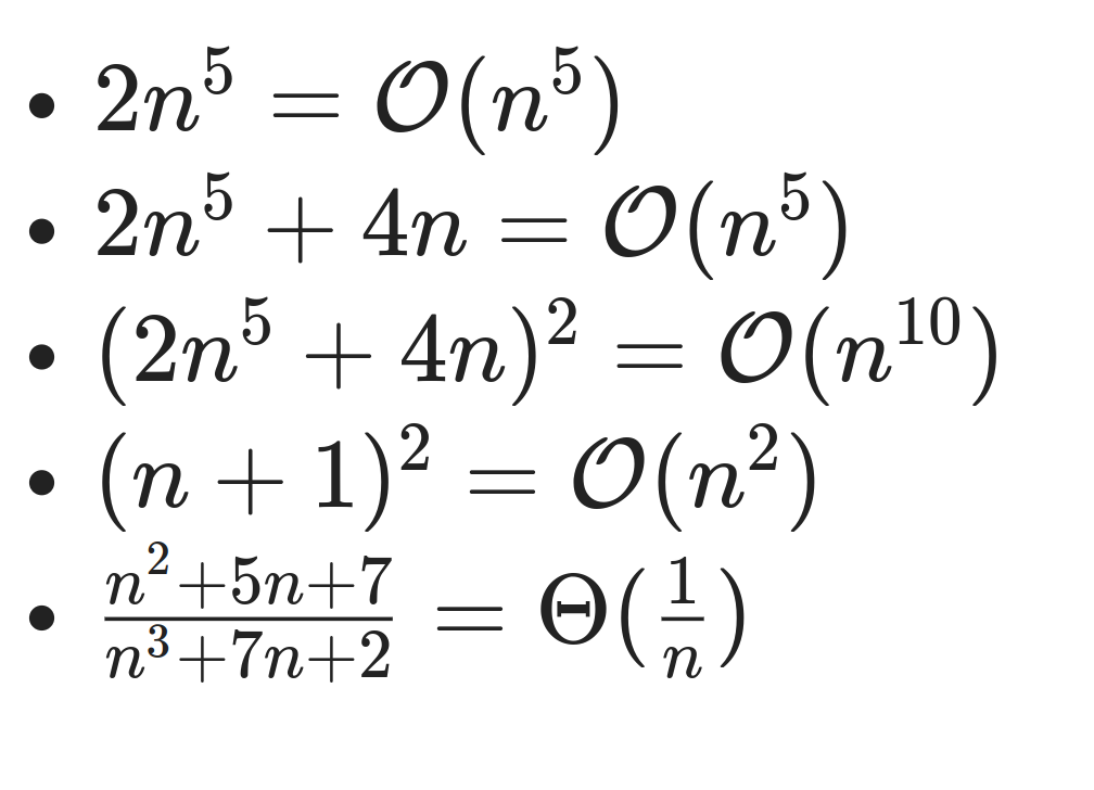
orden de complejidad: EJEMPLOS

orden de complejidad: EJEMPLOS

def busqueda_binaria(arreglo, busqueda, izquierda, derecha):
if izquierda > derecha:
return -1
middle_index = (izquierda + derecha) // 2
middle_element = arreglo[middle]
if middle_element == busqueda:
return middle_index
if busqueda < elementoDelMedio:
return busqueda_binaria(arreglo, busqueda, izquierda, middle_index - 1)
else:
return busqueda_binaria(arreglo, busqueda, middle_index + 1, derecha)
Complejidad: Conceptos fundamentales
By Mateo Sanabria Ardila
Complejidad: Conceptos fundamentales
Complejidad: Conceptos fundamentales
- 915