Chapter 1:
Probabilistic inference
& Graph models
slabod@, 08.12.2017
Анонс: Определения
- Теория вероятностей
- Графы
- Обозначения
-
BRMLtoolbox for MATLAB
Анонс: Probabilistic reasoning & inference

Анонс: Grap models

Анонс: Grap models

Обозначения
- Вероятностное пространство:
\( ( \Omega, A, \mathbb{P} )\) - Переменные:
\(x\) - События:
\(A\) - Область значений
\(x:\) \(dom(x)\) - Суммирование по значениям:
\(\sum_x f(x) = \sum_{s \in dom(x)} f(s)\)
Обозначения: вероятности
- x — булева
\(p(x = tr)\) - x — дискретная с. в., \(dom(x)\) конечна
\(p(x)\) = \(p(x = a), a \in dom(x)\) -
x - произвольная с. в.
\(p(x)\) = \(p(x \in A)\) - \(p(x | y) \,=\, p(x = a \,|\, y = b)\)
- \(p(x | y) \,=\, p(x \in A \,|\, y \in B)\)
- \(p(A , B) \,=\, p(A \cap B )\)
Формула включений-исключений
p(x = a \vee y = b) \;=\; p(x = a) + p(y = b) - p(x = a \wedge y = b)
p(\bigcup\limits_i A_i) \;=\; \sum_i p(A_i) - \sum_{i, j} p(A_i \cap A_j) + \ldots + (-1)^{n-1} p(\bigcap_i A_i)
Marginalisation, совместное распределение


Плотность вероятности
f(t) \ge 0
\int\limits_{\mathbb{R}} f = 1
p(x \in A) = \int\limits_{A} f_x(t) dt
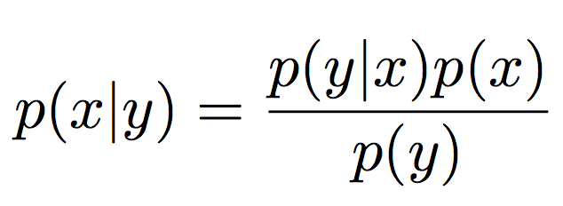
Условная вероятность, Bayes' rule
p(x | y) \longleftrightarrow p(y | x)


Независимость



\Leftrightarrow
\Leftrightarrow


\Rightarrow
Условная независимость


\Leftrightarrow




\Leftrightarrow
Нетранзитивность независимости



?

не влечёт

Probabilistiс reasoning
- Дан набор случайных величин \(X = \{x_1, \ldots x_n\}\)
- Известны некоторые условные вероятности
- Вводится evidence — значения для \(X' \subseteq X\)
- Из Bayes' rule выводятся целевые значения
Probabilistiс reasoning

Probabilistiс reasoning

Probabilistiс reasoning

Prior & posterior
generative model

prior destribution
posterior destribution



Графы
G = (V, E)


ориентированные
E = \{(v, u) | v, u \in V\}
неориентированные
E = \{\{v, u\} | v, u \in V \}
w_1
w_2
w_3
w_4
Отношения вершин в графе
- Дети и родители
- Предки и потомки
- Соседи и семья
- Markov blanket

Графы
- Пути, циклы и хорды
- DAG

Клики
- clique
- cliquo
- Попарная зависимость

Связность
- connected graph
- singly / multiply connected graph
- spanning tree

Kruskal's algorithm
G
1
2
3
d_4
Жадное добавление рёбер
по возрастанию веса
Время работы:
\(\mathcal{O} (|E| \, log |V|) \)
Prim's algorithm
G
Постепенное увеличение
связного дерева
Время работы:
\(\mathcal{O} (|E| \, log |V|) \), \(\mathcal{O} (|V|^2) \)
Матрица смежности




= количеству путей длины \(k\) между \(i, j\)
\neq 0 \Leftrightarrow
существует путь между \(i, j\)
Кликовая матрица




= A'
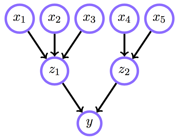
Belief networks

Зависимости между с. в.
Belief networks: пример


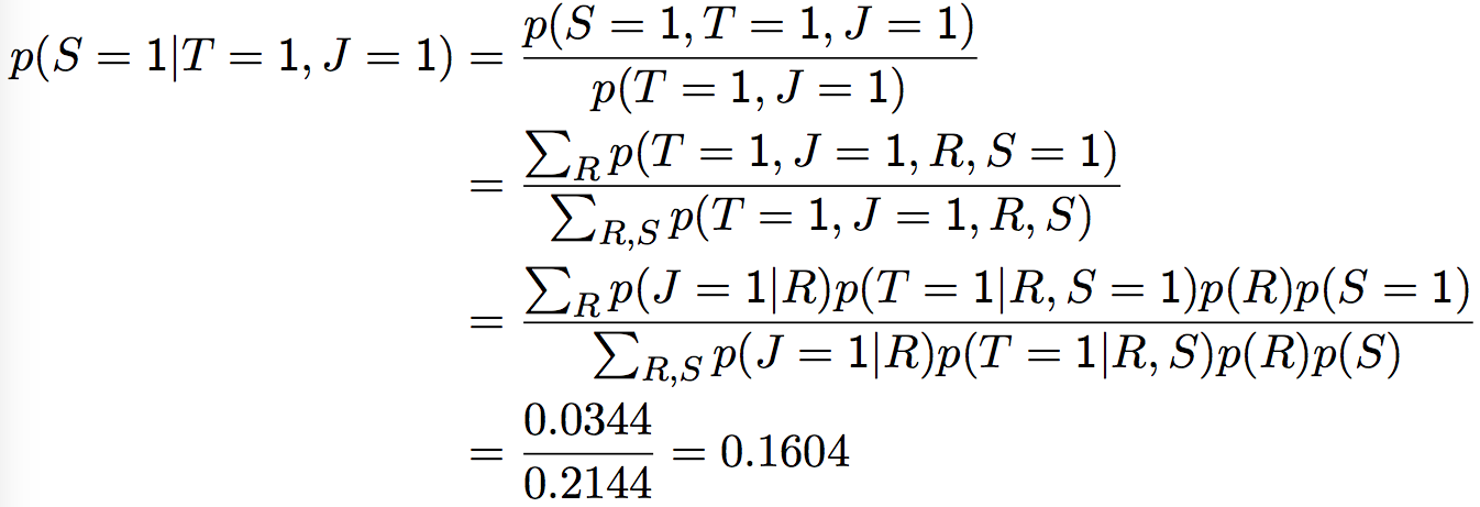
p(S = 1 | T = 1) = \, ?
p(S = 1 | T = 1, J = 1) = \, ?
Belief networks: пример




Belief networks: пример





Belief networks: пример

Belief networks: пример

Существуют алгоритмы для подобных вычислений!
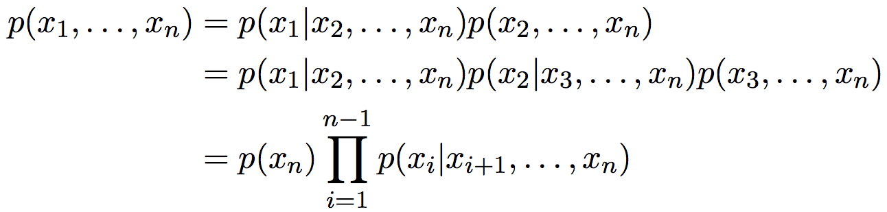
Belief networks: определение

где \(pa(x_i)\) — родители \(x_i\)

— cascade form
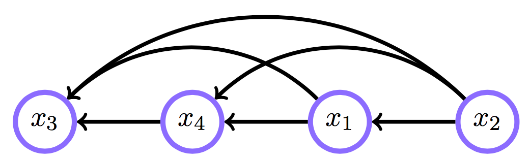
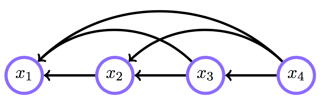
Belief networks: порядок переменных




Belief networks: порядок переменных


удалим ребро \(x_1\) — \(x_2\):


Evidence
hard evidence

\(y = a\)
uncertain evidence

p(y = a, y = b, y = c) = (0.1, 0.6, 0.3)


=

Условная независимость для Markov blanket




Спасибо за внимание!
Chapter 1: Inference in Probabilistic Models
By Michael Slabodkin
Chapter 1: Inference in Probabilistic Models
Chapter 1 of «Bayesian Reasoning and Machine Learning»
- 274