Gauss's Law

Physics 4B - Week 3

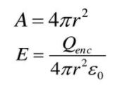
Gauss's Law for a point charge

E \propto 1/R^2 \\ A \propto R^2

Flux is independent of R 

E_\perp \propto \cos{\phi} \\ A \propto 1/\cos{\phi}

Gauss's Law for a point charge

Flux is independent of the surface shape!

For charges outside of the enclosing surface flux cancels out

\Phi = 0

For charges not at the center of the enclosing surface, the flux is the same as if they were in the center

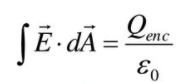
Gauss's Law

\Phi \ =\ \oint \vec{E} \cdot \overrightarrow{dA} \ =\ \frac{Q_{enc}}{\epsilon _{o}}

According to Gauss’s law, the flux of the electric field through any closed surface, also called a Gaussian surface, is equal to the net charge enclosed divided by the permittivity of free space

Exercises

Exercises

Exercises

Surface Charge

Gauss's Law

By Miguel Rocha

Gauss's Law

Physics 4B

  • 810