Presentations
Templates
Features
Teams
Pricing
Log in
Sign up
Log in
Sign up
Menu
CS6015: Linear Algebra and Random Processes
Lecture 42: Information Theory, Entropy, Cross Entropy, KL Divergence
Learning Objectives
Slides to be made
A prediction game
A prediction game (with certainty)
The ML perspective
Compute the difference between the true distribution and the predicted distribution
We will take a detour and then return back to this goal
Goal
Learning Objectives
Slides to be made
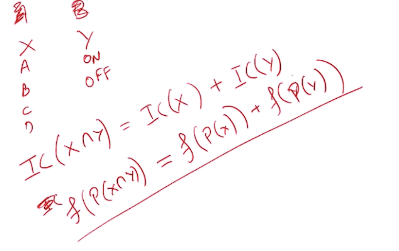
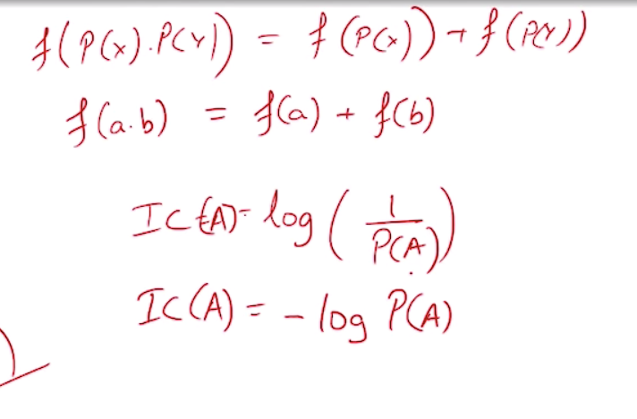
Information content
Is there any information gain?
sun rise in the east
moon in the sky
lunar eclipse
Can you relate it to probabilities ?
More surprise = more information gain
low probability = more information gain
Information content
Entropy
given pmf
given IC of each value
formula
Entropy and number of bits
Cross Entropy
KL divergence
The continuous case
Example: Binomial, Poisson, Normal
CS6015: Lecture 42
By Mitesh Khapra
Made with Slides.com
CS6015: Lecture 42
Lecture 42: Information Theory, Entropy, Cross Entropy, KL Divergence
759
Mitesh Khapra
More from
Mitesh Khapra