Manuel Pichardo Marcano (he/him)
Manuel Pichardo Marcano




- De Santo Domingo, Rep. Dom.
- 1 año en la UASD
- B.S. Utah State University
- M.S. Université Toulouse III-Paul Sabatier
- PhD Texas Tech University
- 1 año Post-doc AMNH
- Sept EMIT Post-doc enVanderbilt/Fisk






Text

Estudio Binarias Compactas
Caltech
NASA
Credits: NASA/Rivera Sandoval

Cúmulos Globulares
47 Tuc en Rayos X
47 Tuc en Óptico
Estudio Binarias Compactas
2- SCOVaS: Survey for Compact Objects and Variables
Pichardo Marcano et al. (2021a)
Pichardo Marcano et al. (2023)
Pichardo Marcano et al. (in prep.)
1- TACOS: TESS AM CVn Outbursts Survey
Pichardo Marcano et al. (2021b)
Caltech
NASA




¿Qué es una Estrella?
- Objeto celeste autogravitatorio:
- unido por la atracción gravitacional de sus partes.
- Hay, o hubo una vez fusión termonuclear sostenida de hidrógeno en su núcleo.

Estrellas


El Sol
Enana Blanca Y
Estrella de Neutrones

No Estrellas
No Todas son Iguales

Diferencias:
- Brillo Aparente:
- Brillo ∝ 1/distancia2
- Distancia:
- Luminosidad (Brillo intrínseco) [Vatios]
- L ∝ R2 T4
- Color
- Temperatura
- Masa y Radio
- Difíciles de Medir
25 Estrellas Más Brillantes

El Sol como una estrella
Nuestro Referente Estelar
Luminosidad Solar = 1 L☉ = 3.8 x 1026 Vatios
Masa Solar = 1 M☉ = 1.988 x 1030 Kg
Radio Solar = 1 R☉ = 695700 km
Temperatura ∼ 5772 K = 5498.85 C
Medir la temperatura del Sol



Todo lo que tiene temperatura > 0 K emite radiación (luz)
Medir la temperatura del Sol
Todo lo que tiene temperatura > 0 K emite radiación (luz)

Radiación de cuerpo negro
Medir la temperatura del Sol
El Color Depende de la Temperatura
Radiación de cuerpo negro

Necesitamos la Distancia
¿Cómo medir la Luminosidad?


Brillo ∝ L/distancia 2
Luminosidad ∝ Brillo X distancia 2
1 L☉
Gaia
El Cartógrafo de la Vía Láctea

- Telescopio espacial de la Agencia Espacial Europea (ESA)
- ∼ 2 mil millones de estrellas
- Distancias, Colores, Brillos Aparentes, Movimientos Propios


El paralaje
Gaia
¿Cómo Gaia mide distancias?
Gaia
¿Cómo Gaia mide distancias?
El paralaje

Gaia
¿Cómo Gaia mide Colores (temperatura)?

Filtros
- Gaia tiene 3 Filtros:
- G, BP (Azul), RP (Rojo)
Longitud de Onda
El Diagrama H-R de Gaia
Luminosidad

Temperatura
Color
Azul <-
Rojo ->
Más Luminosas
Menos Luminosas
<- Más Calientes
Menos Calientes ->
El Diagrama H-R de Gaia
Luminosidad (L☉)

Temperatura
Color
Azul <-
Rojo ->
Más Luminosas
Menos Luminosas
<- Más Calientes
Menos Calientes ->
Secuencia Principal
Enanas Blancas
Gigantes
La Secuencia Principal

Temperatura
Luminosidad (L☉)
Estrellas Masivas
.
Estrellas de Baja Masa



1 M☉
50 M☉
0.5 M☉
La Secuencia Principal

Estrellas "Normales"
- Sostenidas por Fusión Nuclear:
- H-> He
- Pasan la mayor parte de su vida
- L ∝ M4
- Estrellas Masivas Viven Menos
-

La Secuencia Principal
Luminosidad

Color
Azul <-
Rojo ->
Secuencia Principal
¿Qué son estas letras?
Clasificación de Las Estrellas

Las Estrellas se clasifican de acuerdo a sus Espectros
Se pasa la luz por un "prisma"
El Espectro del Sol


La Huella Digital de las Estrellas
Las "Computadoras" de Harvard


Annie Jump Cannon:
Desarrolló el sistema de clasificación basado en Temperatura
O B A F G K M
Clasificación de las estrellas


El Sol (G)
Temperatura
Clasificación de las estrellas

Temperatura
Clasificación de las estrellas

Temperatura
¿Por que los espectros se ven diferentes?
Cecilia Payne-Gaposchkin:



- La mujer que descubrió la composición de las estrellas.
- Primera interpretación teórica de los espectros.

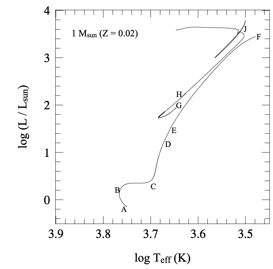
I- Secuencia Principal ( 10 mil millones de años)
- Fusionando H en He
El Ciclo de Vida del Sol
¿Qué pasa cuando se le acaba el Hidrógeno?
El Sol y la mayoría de las estrellas del universo terminaran como una enana blanca
II- Gigante Roja
- Núcleo inerte de Helio
- Capas exteriores extendidas
- Fusión de H a He en las capas
El Ciclo de Vida del Sol

II- Gigante Roja
El Ciclo de Vida del Sol

Nucleo Inerte
de He
Capa Fusionando H->He
Capa Exterior
Extendida
II- Gigante Roja
El Ciclo de Vida del Sol

Temperatura
Luminosidad (L☉)
Secuencia Principal
Tope Rama Gigante Roja
Base Rama Gigante Roja
Subgigante
II- Gigante Roja
El Ciclo de Vida del Sol
III- Flash de Helio
El Ciclo de Vida del Sol

Temperatura
Luminosidad (L☉)
Secuencia Principal
Rama Gigante Roja
Flash de Helio
Rama Horizontal
IV- Rama Horizontal
El Ciclo de Vida del Sol

Núcleo Fusionando
He
Capa Fusionando H->He
Capa Exterior
Extendida

- Helio se convierte en Carbono
V- Rama Asintótica Gigante
El Ciclo de Vida del Sol

Nucleo Inerte
de C
Capa Fusionando H->He
Capa Fusionando He
Capa Exterior
Extendida
V- Rama Asintótica Gigante
El Ciclo de Vida del Sol

Temperatura
Luminosidad (L☉)
Secuencia Principal
Rama Asintótica Gigante
V- Rama Asintótica Gigante
El Ciclo de Vida del Sol

Origen de los elementos
VI- Nebulosa Planetaria
El Ciclo de Vida del Sol

Temperatura
Luminosidad (L☉)
Secuencia Principal
Nebulosa Planetaria
VI- Nebulosa Planetaria
El Ciclo de Vida del Sol


Enana Blanca
Enanas Blancas
Masa ~ 1 M☉
Radio ~ 1 R🜨
Radio ~ 1 R🜨

Estrellas "Muertas"

Masa ~ 1 M☉
Radio ~ 1 R🜨
Radio ~ 1 R🜨

Presión Electrones
Fusión Nuclear
El Ciclo de Vida del Sol

Luminosidad (L☉)
Temperatura
Enana Blanca
Nebulosa Planetaria
RH



El Ciclo de Vida de Millones
Luminosidad

RGB = Rama de Gigante Roja
HB = Rama Horizontal
AGB = Rama Asintótica Gigante
Color
Azul <-
Rojo ->
Resumen

Cosas de las que no hablé
- Evolución Estrellas Masivas:
- Supernovas
- Hoyos Negros
- Estrellas de Neutrones
- Evolución Estrellas Mediana Masa:
- Enanas Blancas Masivas
- Supergigante Rojas
-
Evolución Binaria
- Formación de binarias compactas
- Fuentes de ondas gravitacionales



Supergigante
Gigante
Cosas de las que sí hablé
-
Gaia
- Cartógrafo de la Vía Lactea
-
El Diagrama H-R:
- Diagrama más importante/útil para la astronomía estelar
-
Clasificación de Estrellas:
- Espectros
-
Ciclo de Vida del Sol:
- Estrellas de baja masa
- Estrellas más comunes



Manuel Pichardo Marcano
Email: manuelpichardom@gmail.com
Extra
Accreting White Dwarf Binaries

Cataclysmic Variables

AM CVn
- Main Sequence Star
- Porb ~ 80 min - 10 hours
- Outbursts:
- 2-20 days
- Disk instability model+ (DIM)
- >1000 in the galactic field
- Predicted large # in old Star Clusters
- White Dwarf/Helium Star
- Porb ~ 5 - 70 min
- Outburts:
- weeks?
- DIM?
- ~70 in the galactic field
Mark A. Garlick
Caltech
AM Canum Venaticorum AM CVn
-
White dwarf + White dwarf
-
White dwarf + He Star
-
Orbital Period: 5-70 minutes
-
Rare: 70 Galactic field
Caltech
Transiting Exoplanet Survey Satellite TESS
TESS Cadence and Coverage

- Primary mission:
- 2-min selected targets
- 30-min full-frame images (FFI).
- Extended:
- 20 sec selected targets
- 10-min FFI
- Second extended mission
- 200-second FFI
Disk AM CVns


Luminosity
Period (min)
High state (high Ṁ)
- Hot ionized disk
Outbursting System
~20
~10
~40-60 (?)
Low state (low Ṁ)
- Cold stable disk
Caltech
Outbursts

Pichardo Marcano et al. (2021)
SO duration
-
Precursor
- TESS (Duffy et al. 2021)
-
5/6 have Precursor
- Except ASASSN-14cc

PTF1 J0719+4858
Pichardo Marcano et al. (2021)
ZTF
TESS
Precursor
Type of Super Outbursts
Osaki et al. (2005)


High Mass Ratio
DIM
Cataclysmic Variables

See also Duffy et al. (2021)
High Mass Ratio
High Mass Ratio
High Mass Ratio
eccentric disc develops rapidly
Type of Echo Outbursts


SDSS J1043+5632
PTF1 J0719+4858
- Porb = 28.5 min
- WZ Sge like
- Precursors
- EMT (Hameury+'20)
- Reflection:
- Hot Massive WD
- Porb = 26.7 min
- Compare to TCP J21040470+4631129
- EMT (Hameury+'20)
- Helium "SU UMa"
- EMT+TTI (Kotko+'12)
SO
rebrightening
SO
rebrightening
- Color Evolution

PTF1 J0719+4858
Pichardo Marcano et al. (2021)
ZTF
SO
NO
SO
NO
rebrightening
rebrightening
Color Evolution

PTF1 J0719+4858
-
Similar to Dwarf Novae
-
Hameury et al. (2020)
-
-
Similar SDSS J1411+4812
- Rivera Sandoval et al. (2021)
-
Compare to SDSS 1137
- Rivera Sandoval et al. (2021)
Pichardo Marcano et al. (2021)
rebrightening

SDSS J113732+405458
Enhanced mass transfer
Rivera Sandoval et al. (2021)
Porb = 26.7 min
Porb ~ 60 min
Superoutburst duration vs Porb


Pichardo Marcano et al. (2021)
Cataclysmic Variables
-
White dwarf primary
-
"Main-sequence" donor
-
Roche-lobe overflow
-
Accretion disk (non-magnetic)
-
Highly Variables:
-
Dwarf novae
-
2-8 mag outburst
-
10-100 increase in L
-
-
Looking of CVs in GCs
NASA, ESA, H. Richer and J. Heyl (University of British Columbia), and J. Anderson and J. Kalirai (STScI)

Binaries in Globular Clusters
-
Globular Clusters
- The binary population drives the dynamical evolution of GCs
-
Cataclysmic Variables:
- Large (predicted) sample at known distance
- Potentially very different from field CVs
- A lot of open questions
-
Gravitational Waves:.
- White dwarf degenerate sources for LISA
Finding CVs in X-rays and UV
-
Advantages of X-ray Searches:
- Avoid crowding
-
Disadvantages:
- Small FoV (FUV)
- Lx ≥ 1029 ergs/s
Significant X-ray bias

X-ray: NASA/CXC/CfA/J.Grindlay & C.Heinke; Optical: ESO/Danish 1.54-m/W.Keel et al.
Summary CVs in GCs
-
Few of CVs per cluster
-
X-ray biased sample:
-
Lx > 1029ergs/s
-
-
Dearth of DNe:
-
Only 17 confirmed
-
-
Core-collapsed:
-
Bimodal population
-
-
Non core-collapsed:
-
1 faint population
-
-
Period distribution?
-
16 known periods
-
Need more detections. Need more Periods


All Magnetics ?
- HST Archive
- 7 Globular Clusters
- Many Exposures
- Different properties
- Metallicity
- Core-collapsed
- Non core-collapsed

SCOVaS: Survey for Compact Objects and Variables
Preliminary Results
NGC 6397
- Closest Core Collapse
- Second Closest
- 2.4 kpc
- 15 CV candidates
- 2 Pulsars

Preliminary Results
NGC 6397

Where are all the CVs?

We haven't found new
X-ray faint CVs
Spoiler Alert!
Other Binaries
Credits: NASA/Rivera Sandoval


Main et al 2018 (Nature)
Redback 'spider' Pulsar
Redback Pulsar
A new candidate Redback MSP
Pichardo Marcano et. al (2021a)
- Porb 1.96 days
- Longest Porb for Redback in GCs
- Missed MSP in Pulsar Searchers
- Confirmed by Zhang et al. (2022)
Magnetic He WD Candidate
- Vrad > 150 km/s (MUSE)
- Not Detected in X-rays
- Lx < 1028 ergs/s
- Roche-lobe filling stripped star?
- M~ 2 x 10-4 ☉

-
18.4 hours
Rotational Period

ESO/L. Calçada
Please talk to me about:
(Things I want to learn more about)
-
Compact Binaries/Binary Evolution:
- White Dwarfs Binaries and LISA
- Common Envelope
- Stripped Stars (e.g. sdB, WR, ...)
- Products of Binary Evolution (e.g. Barium Stars, R CrB, ELMs ...)
- Halo vs Thick Disk Population (Gaia):
- Star Clusters (GCs ):
- LISA background
- WD binaries in GCs (Binary Evolution)
- Time-Series Analysis:
- Methods:
- Gaussian Process
- Flickering/QPOs/Magnetism in Symbiotics
- Classification (unsupervised):
- Dynamic time warping/The information bottleneck method
- Where are all the AM CVns?
- Gaussian Process
- Methods:




Evolutiocn Estrlar

Evolutiocn Estrlar
https://youtu.be/CouFXgUNK-M
https://pages.uoregon.edu/jimbrau/astr122-2015/Notes/Chapter20.html#lowm
Low Mass Star
Ciclo de Vida del Sol
Tipo G
https://www.astronomy.ohio-state.edu/thompson.1847/1144/Lecture15.html

Low Mass Star
Ciclo de Vida del Sol
Mirror Principle
Low Mass Star
Ciclo de Vida del Sol
Red Giant Branch

Low Mass Star
Ciclo de Vida del Sol
AGB


Low Mass Star
Ciclo de Vida del Sol
Planetary Nebula

Low Mass Star
Ciclo de Vida del Sol
White Dwarf

Low Mass Star
Ciclo de Vida del Sol
White Dwarf

Low Mass Star
Ciclo de Vida del Sol
White Dwarf


Low Mass Star
Clusters
https://youtu.be/wbvgjzW3Xz0
Manuel Pichardo Marcano (he/him)
Things I Love
Things I Hate
- Dominican Republic
- Astronomy
- Chess, Xiangqi, Shogi, Go
- Time-series/Light-Curves
- Globular Clusters
- Binary Evolution
- White Dwarfs
- Super Conservative Country
- No Dominican Astronomers
- Cooking (but love eating)
- TESS data systematics
- Crowded photometry (Dolphot)
- I love all Astro
- I love all Compact Objects

Caltech
AM CVn

Cataclysmic Variables
White Dwarf
White Dwarf
White Dwarf
Main Seq.


Accreting White Dwarf Binaries

Cataclysmic Variables

AM CVn
- Main Sequence Star
- Porb ~ 80 min - 10 hours
- Outbursts:
- 2-20 days
- Disk instability model+ (DIM)
- >1000 in the galactic field
- Predicted large # in old Star Clusters
- White Dwarf/Helium Star
- Porb ~ 5 - 70 min
- Outburts:
- weeks?
- DIM?
- ~70 in the galactic field
Mark A. Garlick
Caltech
AM Canum Venaticorum AM CVn
-
White dwarf + White dwarf
-
White dwarf + He Star
-
Orbital Period: 5-70 minutes
-
Rare: 70 Galactic field
Caltech
Transiting Exoplanet Survey Satellite TESS
TESS Cadence and Coverage

- Primary mission:
- 2-min selected targets
- 30-min full-frame images (FFI).
- Extended:
- 20 sec selected targets
- 10-min FFI
- Second extended mission
- 200-second FFI
Disk AM CVns


Luminosity
Period (min)
High state (high Ṁ)
- Hot ionized disk
Outbursting System
~20
~10
~40-60 (?)
Low state (low Ṁ)
- Cold stable disk
Caltech
Outbursts

Pichardo Marcano et al. (2021)
SO duration
-
Precursor
- TESS (Duffy et al. 2021)
-
5/6 have Precursor
- Except ASASSN-14cc

PTF1 J0719+4858
Pichardo Marcano et al. (2021)
ZTF
TESS
Precursor
Type of Super Outbursts
Osaki et al. (2005)


High Mass Ratio
DIM
Cataclysmic Variables

See also Duffy et al. (2021)
High Mass Ratio
High Mass Ratio
High Mass Ratio
eccentric disc develops rapidly
Type of Echo Outbursts


SDSS J1043+5632
PTF1 J0719+4858
- Porb = 28.5 min
- WZ Sge like
- Precursors
- EMT (Hameury+'20)
- Reflection:
- Hot Massive WD
- Porb = 26.7 min
- Compare to TCP J21040470+4631129
- EMT (Hameury+'20)
- Helium "SU UMa"
- EMT+TTI (Kotko+'12)
SO
rebrightening
SO
rebrightening
- Color Evolution

PTF1 J0719+4858
Pichardo Marcano et al. (2021)
ZTF
SO
NO
SO
NO
rebrightening
rebrightening
Color Evolution

PTF1 J0719+4858
-
Similar to Dwarf Novae
-
Hameury et al. (2020)
-
-
Similar SDSS J1411+4812
- Rivera Sandoval et al. (2021)
-
Compare to SDSS 1137
- Rivera Sandoval et al. (2021)
Pichardo Marcano et al. (2021)
rebrightening

SDSS J113732+405458
Enhanced mass transfer
Rivera Sandoval et al. (2021)
Porb = 26.7 min
Porb ~ 60 min
Superoutburst duration vs Porb


Pichardo Marcano et al. (2021)
Cataclysmic Variables
-
White dwarf primary
-
"Main-sequence" donor
-
Roche-lobe overflow
-
Accretion disk (non-magnetic)
-
Highly Variables:
-
Dwarf novae
-
2-8 mag outburst
-
10-100 increase in L
-
-
Looking of CVs in GCs
NASA, ESA, H. Richer and J. Heyl (University of British Columbia), and J. Anderson and J. Kalirai (STScI)

Binaries in Globular Clusters
-
Globular Clusters
- The binary population drives the dynamical evolution of GCs
-
Cataclysmic Variables:
- Large (predicted) sample at known distance
- Potentially very different from field CVs
- A lot of open questions
-
Gravitational Waves:.
- White dwarf degenerate sources for LISA
Finding CVs in X-rays and UV
-
Advantages of X-ray Searches:
- Avoid crowding
-
Disadvantages:
- Small FoV (FUV)
- Lx ≥ 1029 ergs/s
Significant X-ray bias

X-ray: NASA/CXC/CfA/J.Grindlay & C.Heinke; Optical: ESO/Danish 1.54-m/W.Keel et al.
Summary CVs in GCs
-
Few of CVs per cluster
-
X-ray biased sample:
-
Lx > 1029ergs/s
-
-
Dearth of DNe:
-
Only 17 confirmed
-
-
Core-collapsed:
-
Bimodal population
-
-
Non core-collapsed:
-
1 faint population
-
-
Period distribution?
-
16 known periods
-
Need more detections. Need more Periods


All Magnetics ?
- HST Archive
- 7 Globular Clusters
- Many Exposures
- Different properties
- Metallicity
- Core-collapsed
- Non core-collapsed

SCOVaS: Survey for Compact Objects and Variables
Preliminary Results
NGC 6397
- Closest Core Collapse
- Second Closest
- 2.4 kpc
- 15 CV candidates
- 2 Pulsars

Preliminary Results
NGC 6397

Where are all the CVs?

We haven't found new
X-ray faint CVs
Spoiler Alert!
Other Binaries
Credits: NASA/Rivera Sandoval


Main et al 2018 (Nature)
Redback 'spider' Pulsar
Redback Pulsar
A new candidate Redback MSP
Pichardo Marcano et. al (2021a)
- Porb 1.96 days
- Longest Porb for Redback in GCs
- Missed MSP in Pulsar Searchers
- Confirmed by Zhang et al. (2022)
Magnetic He WD Candidate
- Vrad > 150 km/s (MUSE)
- Not Detected in X-rays
- Lx < 1028 ergs/s
- Roche-lobe filling stripped star?
- M~ 2 x 10-4 ☉

-
18.4 hours
Rotational Period

ESO/L. Calçada
Please talk to me about:
(Things I want to learn more about)
-
Compact Binaries/Binary Evolution:
- White Dwarfs Binaries and LISA
- Common Envelope
- Stripped Stars (e.g. sdB, WR, ...)
- Products of Binary Evolution (e.g. Barium Stars, R CrB, ELMs ...)
- Halo vs Thick Disk Population (Gaia):
- Star Clusters (GCs ):
- LISA background
- WD binaries in GCs (Binary Evolution)
- Time-Series Analysis:
- Methods:
- Gaussian Process
- Flickering/QPOs/Magnetism in Symbiotics
- Classification (unsupervised):
- Dynamic time warping/The information bottleneck method
- Where are all the AM CVns?
- Gaussian Process
- Methods:





Also interested in:
- TESS:
- Transients
- Crowding
- Symbiotics
- Halo vs Thick Disk:
- Halo CVs
- Halo AM CVns?

Data from Peters (2008)


Blue Variables


- Periodicity Search:
- Lomb-Scargle
- Phase Dispersion Minimization
- False Alarm Probability < 10-8
NGC 6397

- Pipeline to find interesting objects:
- CMD Position and Periodicity/Variability Searches
- We were able to recover all known CV Candidates
- Found Orbital Period Redback Pulsar
- Detached White Dwarf-Red Dwarf
- First Magnetic He Core WD in GCs
- Many more variables to analyze...
Where are all the CVs?

Preliminary Results
M 92

- WFPC-2
- 2008-01-25 to 2008-01-30:
- 76 Exposures
- F555W
- Exp time: 10 s
Preliminary Results
NGC 6397

- WFPC-2
- March-April 2005:
- 126 orbits
- F814W, F606W and F336W
- Exp time: 500-700 s
He WD Candidate

Pichardo Marcano et al. (2023)
HACKS CMD
Data: Libralato et al. (2022)
Also interested in:
- Magnetic White Dwarfs:
- A Magnetic Extremely Low-Mass WD in a Globular Cluster?
- Magnetic WDs in Symbiotics from TESS:
- Spin-up?
- Spin-up?

Data from Peters (2008)

-
18.4 hours
- Halo vs Thick Disk:
- Halo CVs:
- Not Period Bouncers
- Halo AM CVns
- Halo CVs:
Pichardo Marcano et al. (2023)
Z And
28 min to 26.7 min in 20 Yr

BF Cyg (88 min)
He WD Candidate

Tracks from Althaus et al. (2009)
0.16 M☉
0.22 M⊙
0.52 M⊙

-
18.4 hours


He WD Candidate
Magnetic He WD Candidate
- Binary: Vrad > 150 km/s (MUSE)
- Not Detected in X-rays
- Lx < 1028 ergs/s
- Not an Roche-lobe filling stripped star
- M~ 2 x 10-4 ☉

-
18.4 hours
Rotational Period

ESO/L. Calçada
He WD Candidate
Pichardo Marcano et al. (2023)
MUSE spectrum
Data from Husser et al. (2016), Kamman et al. (2016)

-
5.3 hours
Variable and No Hα Excess

- Not Detected in X-rays
- 0.2 Δmag in F336W
- No Hα in Excess
- Periodicity
5.3 hours

Variable WD Candidate
Pichardo Marcano et al. (in prep.)
HUGS CMD
Data: Piotto et al.(2015)/ Nardiello et al. (2018)

Variable WD Candidate
Pichardo Marcano et al. (in prep.)
HUGS CMD
Data: Piotto et al.(2015)/ Nardiello et al. (2018)


AM CVn Donors
van Roestel et al. 2022
q = M2/M1
0.0125 < q < 0.18
M2 = Donor
AM CVn Donors
Coleman et al. 2018


0.0125 < q < 0.18
<Rd> ~1010cm
q = M2/M1
AM CVn Donors
Coleman et al. 2018

0.0125 < q < 0.18
<Rd> ~1010cm
q = M2/M1


Mass-transfer rates vs orbital period

Mass-transfer rates vs orbital period


Magnetic He WD Candidate

Pichardo Marcano et al. (2023)
-
18.4 hours
-
0.16 M☉
- 0.24 R☉
- 0.11 Gyr
- Teff 7586 K
- log g = 4.9
Other work with Accreting WDs
-
Follow-up eROSITA transient:
- TESS time series analysis
-
-
Atel: Pichardo Marcano (2020)
-
Paper: Schwope, [...], Pichardo Marcano, et al. (2021)
-
Caltech

Compact Binaries Surveys
2- SCOVaS: Survey for Compact Objects and Variables
Pichardo Marcano et al. (2021a)
Pichardo Marcano et al. (2023)
Pichardo Marcano et al. (in prep.)
1- TACOS: TESS AM CVn Outbursts Survey
Pichardo Marcano et al. (2021b)
Caltech
NASA




- Color Evolution

PTF1 J0719+4858
Pichardo Marcano et al. (2021)
ZTF
SO
NO
SO
NO
rebrightening
rebrightening
- Precursor
- Echo Outbursts
- DIM with Enhanced Mass Transfer (e.g. Hameury & Lasota 2021)
SDSS J1043+5632
ZTF
TESS

- Precursor
- Echo Outbursts
- DIM with Enhanced Mass Transfer (e.g. Hameury & Lasota 2021)
SDSS J1043+5632
ZTF
TESS

PTF1 J0719+4858:
-
Similar to Dwarf Novae:
- Hameury et al. (2020)
- Rivera Sandoval et al. (2021)
Color Evolution
Pichardo Marcano et al. (2021)

Accreting White Dwarf Binaries

Cataclysmic Variables

AM CVn
- Main Sequence Star
- Porb ~ 80 min - 10 hours
- Outbursts:
- 2-20 days
- Disk instability model+ (DIM)
- >1000 in the galactic field
- Predicted large # in old Star Clusters
- White Dwarf/Helium Star
- Porb ~ 5 - 70 min
- Outburts:
- weeks?
- DIM?
- ~70 in the galactic field
Mark A. Garlick
Caltech
Color Evolution

PTF1 J0719+4858
-
Similar to Dwarf Novae
-
Hameury et al. (2020)
-
-
Similar SDSS J1411+4812
- Rivera Sandoval et al. (2021)
-
Compare to SDSS 1137
- Rivera Sandoval et al. (2021)
Pichardo Marcano et al. (2021)
rebrightening

SDSS J113732+405458
Enhanced mass transfer
Rivera Sandoval et al. (2021)
Color Evolution

PTF1 J0719+4858
SDSS J113732+405458
Enhanced mass transfer
- Similar to Dwarf Novae
-
Hameury et al. (2020)
-
- Similar SDSS J1411+4812
- Rivera Sandoval et al. (2021)
- Compare to SDSS 1137/SDSS 0807
- Rivera Sandoval et al. (2021)
Pichardo Marcano et al. (2021)

Rivera Sandoval et al. (2021)
AM CVns
- Helium Rich and Know to go into outburts

Kupfer et. al (2013)

Duffy et. al (2021)
Normal Outbursts

V803 Cen
- WZ Sge like ?
- Precursors
- EMT (Hameury+'20)
- Massive WD?
- Compare to TCP J21040470+4631129
- EMT (Hameury+'20)
- Helium "SU UMa"
- EMT+TTI (Kotko+'12)

AM Canum Venaticorum AM CVn
-
White dwarf + White dwarf
-
White dwarf + He Star
-
Orbital Period: 5-70 minutes
-
Rare: 70 Galactic field
Caltech

Caltech
-
Porb 20 to ~ 60 minutes (?)
-
Superoutburts (SO) and "Normal" outbursts (NO)
-
Disk instability model (DIM)
-
Constant Mass transfer rate
-
Tidal-thermal disk instability model
-
SO: Superhumps (periodic brightness variation )
-
-
Outbursting Systems
AM CVns
- Helium Rich and (some) known to go into outbursts

Kupfer et. al (2013)

Duffy et. al (2021)
Color Evolution


PTF1 J0719+4858
SS Cyg
Cataclysmic Variable
Hameury et al. (2020)
- Similar to Dwarf Novae
-
Hameury et al. (2020)
-
- Similar SDSS J1411+4812
- Rivera Sandoval et al. (2021)
- Compare to SDSS 1137/SDSS 0807
- Rivera Sandoval et al. (2021)
Pichardo Marcano et al. (2021)
rebrightening
Type of Super Outbursts
Osaki et al. (2005)


High Mass Ratio
DIM
Cataclysmic Variables
- Evolution Superhump
Pichardo Marcano et al. (2021)

Caltech
-
Porb 20 to ~ 60 minutes (?)
-
Superoutburts (SO) and "Normal" outbursts (NO)
-
SO: Superhumps (periodic brightness variation )
-
-
Disk instability model (DIM)
-
Constant Mass transfer rate
-
Tidal-thermal disk instability model
-
Outbursting Systems

Caltech
-
Porb 20 to ~ 60 minutes (?)
-
Superoutburts (SO) and "Normal" outbursts (NO)
-
Disk instability model (DIM)
-
Constant Mass transfer rate
-
Tidal-thermal disk instability model
-
SO: Superhumps (periodic brightness variation )
-
-
Outbursting Systems
Place Constraints
Constraint Empirical Relationships
- Trec ∝ Porb7.35
- Tdur ∝ Porb4.54
- Δ mag ∝ Porb
- Ground-Based:
- PTF/CRTS
- ZTF
- LINEAR

Levitan et al. 2015
See also Duffy et al. 2021

- Trec ∝ Porb7.35
- Tdur ∝ Porb4.54
- Δ mag ∝ Porb
- Ground-Based:
- PTF/CRTS
- ZTF
- LINEAR

Levitan et al. 2015
See also Duffy et al. 2021

Need detailed short-term variability
Constraint Empirical Relationships
Long-term monitoring


Pichardo Marcano et al. (2021)
- Orbital Periods:
- 2-minute cadence
- Limits on Recurrence Time
- "Normal Outburts"
Gaia16all
Type of Super Outbursts
Osaki et al. (2005)


High Mass Ratio
DIM
Cataclysmic Variables
Pichardo Marcano et al. (2021)

See also Duffy et al. (2021)
Evolucion Estelar
By mmarcano22
Evolucion Estelar
- 293