Nikita Zhiltsov
Research fellow at Kazan Federal University (Russia)
Semantic Representations and Methods
Nikita Zhiltsov, Kazan Federal University




Founded in 1804, the Kazan University is the 3rd oldest university in Russia.

Breakthrough inventions and discoveries:
1 professor, 1 PhD, 2 PhD candidates, 2 research fellows





based on KDD'14 tutorial by A. Bordes and E. Gabrilovich
based on KDD'14 tutorial by A. Bordes and E. Gabrilovich
☑in this talk!
☑in this talk!
☑in this talk!
This is a hard task due to:


with O. Nevzorova, A. Kirillovich, E. Lipachev (KESW'14)

with O. Nevzorova, D. Zaikin, O. Zhibrik, A. Kirillovich, V. Nevzorov, E. Birialtsev (ISWC'13)
http://cll.niimm.ksu.ru:8890/sparql
ontomathpro.org





The tensor X is very sparse

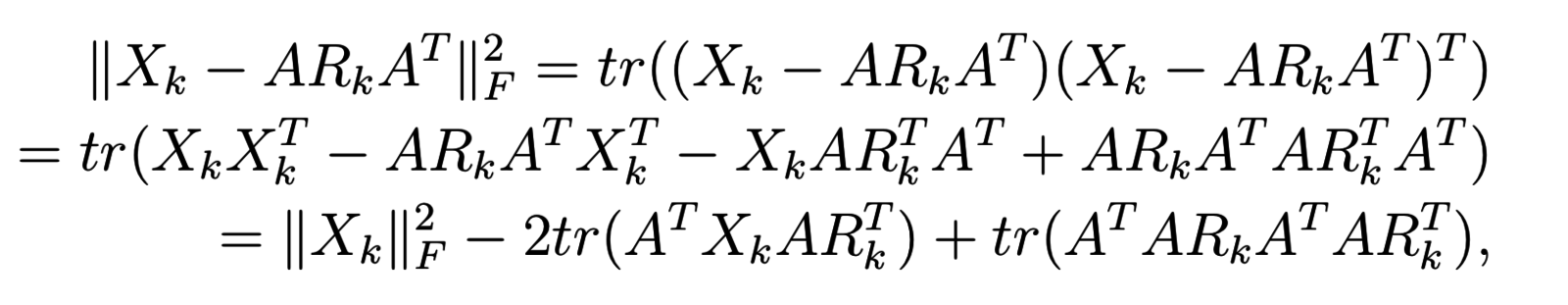
Approximation under least-squares loss with regularization

Thus, we can store dense matrices of r x n size at maximum instead of n x n
3. Keep updating until converges










with E. Agichtein (CIKM'13)
=> +7.1% NDCG@10, +6.4% MAP@10


http://cll.niimm.ksu.ru/mathsearch
(> 600 downloads on mloss.org)

{firstname}.{lastname}@gmail.com
@nzhiltsov
Thanks for your attention!
Spasibo!

By Nikita Zhiltsov
Research fellow at Kazan Federal University (Russia)