Previously ...
The world of physics

Physical quantities
defined operationally or through relationships.
Relationships
principles, laws, models, etc...
The world of physics

The world of physics
Starring
Physical Quantities and Relationships


The world of physics
Starring
Physical Quantities
Physical
Re: nature
Numeric representation
+
Precision
+
Unit
Quantity

The world of physics
Starring
Physical Quantities: Numeric representation
- Decimal system (humans)
- Binary system (human made computing machines)

The world of physics
Starring
Physical Quantities: Precision
- Significant figures.
- Uncertainty.
- Accuracy vs. precision.

The world of physics
Starring
Physical Quantities: SI Units
History of the SI system, from inception to 2018.


The world of physics
Starring
Physical Quantities: SI Units

Pre and post 2018 (most recent change.)

The world of physics
Starring
Physical Quantities: SI Units

Current SI base units

The world of physics
Starring
Physical Quantities: SI units


The world of physics
Starring
Physical Relations and the Role of Mathematics

The world of physics
Season 1: Newtonian Mechanics
.
Season 1:
Newtonian Mechanics
Space and time
Motion: Displacement, velocity, acceleration
Forces and mass
Work and Energy
Momentum and Impulse


The world of physics
Season 1: Newtonian Mechanics
Space and Time
Background (stage, not actors).
Static.
Same for all observers.


The world of physics
Season 1: Newtonian Mechanics
Motion & other stories
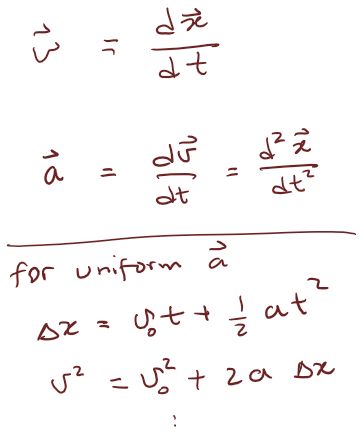
Displacement, Velocity, Acceleration, ....
Kinematics:
Description of motion



The world of physics
Season 1: Newtonian Mechanics
Motion & other stories
Force, Mass, Acceleration, ....
Dynamics:
Cause of motion



The world of physics
Season 1: Newtonian Mechanics
Motion & other stories
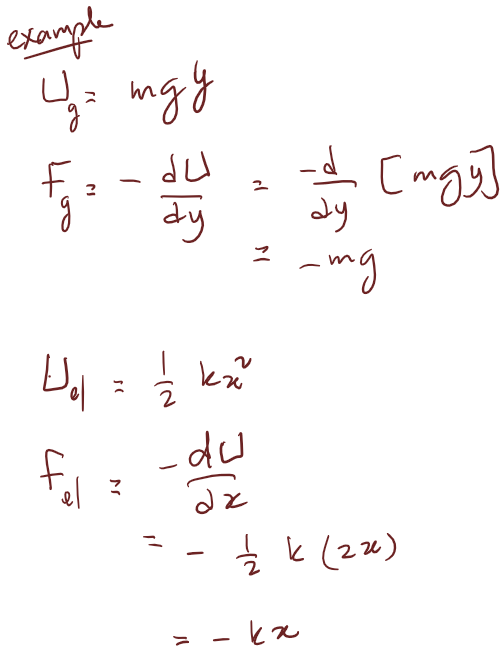
Work & Energy
Relating motion to other stories
Mechanical work, Kinetic Energies, Potential Energies, ...





The world of physics
Season 1: Newtonian Mechanics
Motion & other stories
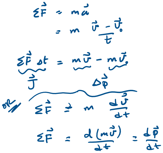
Momentum & Impulse
Motion of Systems of objects
Linear momentum, angular momentum, System ..


The world of physics
Season 1: Newtonian Mechanics
Motion & other stories
Summary
To build Newtonian mechanics
- Motion of any object is the change in its relative position in absolute time.
- Acceleration of any object (the change in its state of motion) is caused by the net force, and resisted by mass.
- Define some derived quantities that turn out to be useful in some conditions:
- Mechanical work, Kinetic and Potential energies: particularly useful in situations where the work done by non-conservative forces is known or negligible.
- Momentum and Impulse: particularly useful to analyze the motion of isolated systems.

The world of physics
Season 2: Electromagnetism
..
Season 2:
Electro-Magnetism
Electric charges, forces, and fields
Magnetic poles, forces, and fields
Electromagnetism


The world of physics
Season 2: Electromagnetism
..
Still classical, but with a new character...
Electric Charge
We also got introduced to these two ideas
- Fields
- Potential
... and, subsequently, electricity and magnetism.

The world of physics
Season 2: Electromagnetism
..



The world of physics
Season 2: Electromagnetism
..

The world of physics
Season 2: Electromagnetism
..

The world of physics
By omoussa
The world of physics
- 394