4/5 KE4: Materiaalit ja teknologia

Polymeerit

Polymeerit

= suuria, pitkäketjuisia orgaanisia molekyylejä, jotka muodostuvat monomeereistä polymeroitumisreaktiolla

  • kutsutaan makromolekyyleiksi
  • luokitellaan
    • valmistustavan perusteella
      • synteettiset polymeerit
      • luonnon polymeerit / biopolymeerit
  • reaktiotyypin mukaan
    • additiopolymeerit
    • kondensaatiopolymeerit

Bio- ja synteettiset polymeerit

  • Biopolymeerit
    • DNA, RNA
    • Hiilihydraatit, proteiinit (aminohappojen ketju)
  • Synteettiset polymeerit
    • Monomeerejä liittyy yhteen        polymeeri
    • Muovit
    • Öljynjalostuksen tuotteita
    • Additiopolymeerit - Additioreaktion tuotteita
    • Kondensaatiopolymeerit - Kondensaatioreaktion tuotteita)

Additiopolymeerit

  • Polyeteeni PE
  • Polypropeeni
  • PVC, Polyvinyylikloridi
  • Polystyreeni
  • Teflon, polytetrafluorieteeni
  • muodostuvat monomeereistä, jotka sisältävät ainakin yhden kaksoissidoksen
  • yksittäiset kaksoissidokset aukeavat, jolloin sidoselektronit voivat muodostaa uusia sidoksia toisten monomeerien kanssa

Kondensaatiopolymeerit

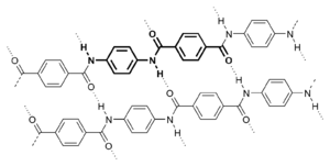
  • Polyamidit – peptidisidoksen syntyminen
    • Nailon, Nylon (-6-6) – polyamidi
    • Kevlar
  • Polyesterit
    • Dikarboksyylihappo + Dioli
  • muodostuvat monomeereista, joiden funktionaaliset ryhmät reagoivat keskenään muodostaen välilleen uuden sidoksen
    • ​kummallakin monomeerilla pitää olla vähintään 2 funktionaalista ryhmää
  • usein vapautuu vettä

Muovit

  • koostuvat yleensä peruspolymeeristä ja joistakin lisäaineista
  • luokitellaan
    • kestomuovit
      • voidaan muovailla uudelleen useita kertoja lämmittämällä (amorfisia aineita)
      • kierrätys!
    • kertamuovit
      • uudelleen muokkaaminen ei onnistu
      • hävitetään polttamalla

molekyyliketjut liittyneet toisiinsa dispersiovoimilla

molekyyliketjut liittyneet toisiinsa kovalenttisilla sidoksilla

Soveltuu poltettavaksi jätteiden polttolaitoksissa. Nokeaa liikaa kotipoltossa ja vapauttaa haitallisia yhdisteitä.

Ei sovellu poltettavaksi.

Soveltuu poltettavaksi kotona ja jätteiden polttolaitoksissa.

Synteettiset kumit ja kuidut

Synteettiset kumit

  • vulkanoitu kumi
    • vulkanointi = luonnon kumia käsitellään rikillä
      • isopreeniyksiköiden välille rikkisiltoja
      • rakenteesta verkkomainen
      • kimmoisuus laajalla lämpötila-alueella
  • neopreeni
    • täysin synteettinen kumi
    • saadaan polymeroimalla 2-kloori-1,3-butadieeniä

Synteettiset kuidut eli tekokuidut

  • ohuita, lankamaisia polymeerejä
  • vetolujuus ja kestävyys
  • polyamidit ja polyesterit

Biopolymeerit

  • luonnosta saatavia, kasveissa ja eläimissä esiintyviä polymeerejä
  1. polysakkaridit eli hiilihydraatit
  2. polypeptidit eli proteiinit
  3. polynukleotidit eli nukleiinihapot

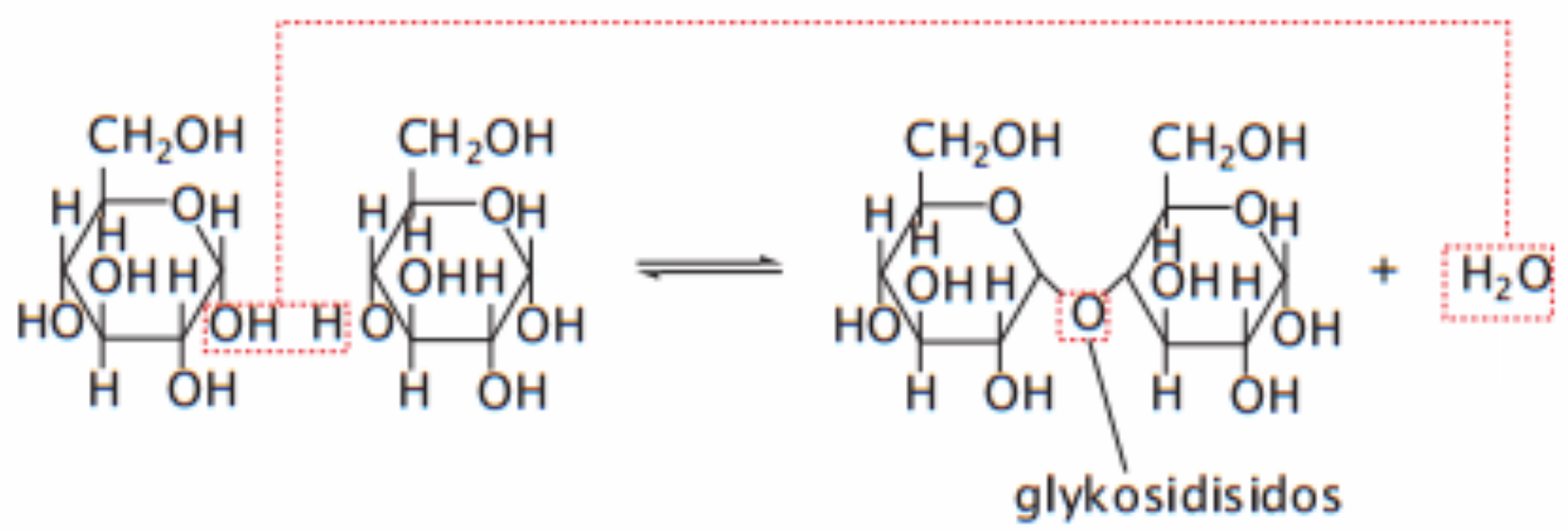
Hiilihydraatit

  • koostuvat monosakkarideista eli yksinkertaisista sokereista
  • muodostuvat polykondensaatioreaktiolla
    • toisena lopputuotteena vesi
C_6H_{12}O_6(aq)+6\ O_2(g)\rightarrow 6\ CO_2(g)+6\ H_2O(l)\qquad \Delta H=-2\ 870 \ kJ
C6H12O6(aq)+6 O2(g)6 CO2(g)+6 H2O(l)ΔH=2 870 kJC_6H_{12}O_6(aq)+6\ O_2(g)\rightarrow 6\ CO_2(g)+6\ H_2O(l)\qquad \Delta H=-2\ 870 \ kJ
  • jaetaan varasto- ja rakennepolysakkarideiksi
  • toimivat ihmisen energialähteinä
    • elimistö hyödyntää ainoastaan glukoosia
    • muut sokerit muunnetaan glukoosiksi
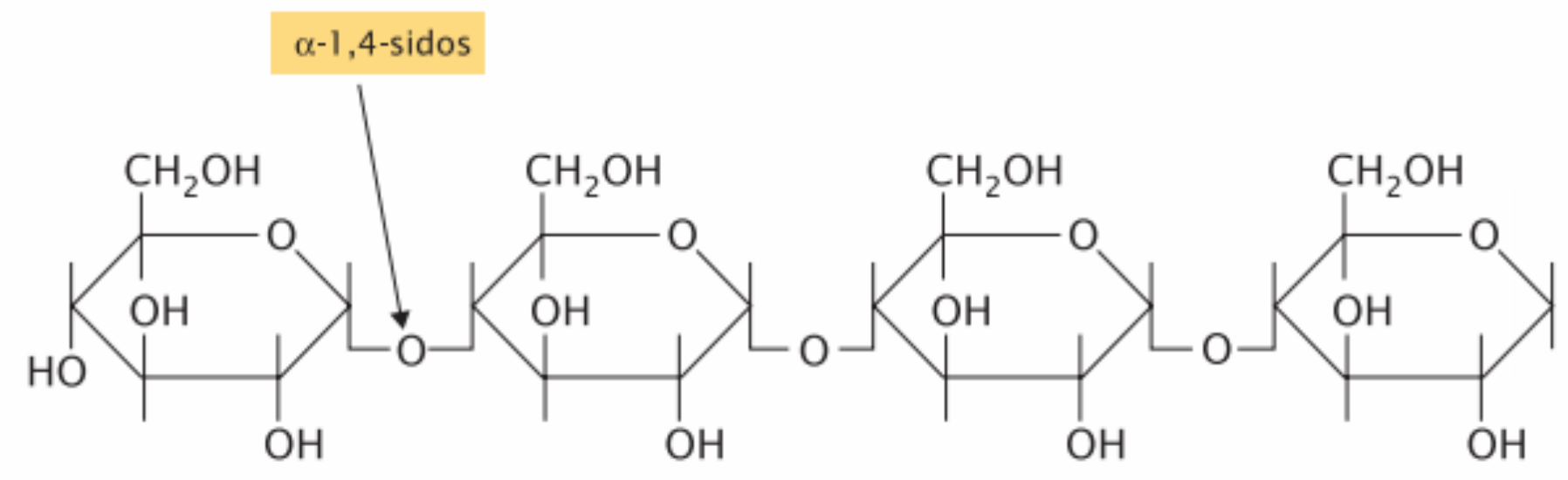
  • kasvien varastopolysakkaridi
  • varmistaa kasvien saannin, mikäli energiaa ei tule tarpeeksi kasvuympäristöstä
  • koostuu suoraketjuisesta amyloosista ja haarautuneesta amylopektiinistä

amyloosi

amylopektiini

Tärkkelys

Glykogeeni

  • ihmisen tärkein varastopolysakkaridi
  • rakentuu glukoosiyksiköistä
    • rakenne muistuttaa tärkkelyksen rakennetta

Selluloosa

  • kasvien tärkein rakennepolysakkaridi
  • rakentuu glukoosiyksiköistä
\beta-1,4-\text{sidos}
β1,4sidos\beta-1,4-\text{sidos}

Proteiinit

  • aminohapoista muodostuneita polypeptidejä
    • peptidisidos: aminoryhmä + karboksyyliryhmä
  • proteiinit koostuvat 20 eri aminohaposta

GLY-ALA-SER

Piirrä Marvinsketchillä GLY-ALA-SER toisella tavalla.

Proteiinien rakenne

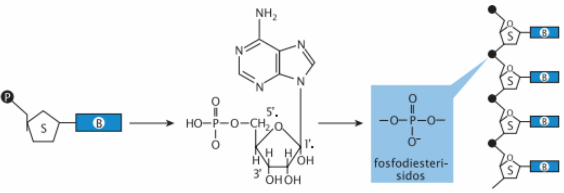
Nukleiinihapot

  • DNA ja RNA
  • polymeerejä, joiden monomeeri koostuu sokerimolekyylistä, fosfaattiosasta ja typpipitoisesta emäksestä
    = nukleotidi
  • DNA:ssa sokeri deoksiriboosi
    RNA:ssa riboosi
  • polynukleotidiketju muodostuu, kun nukleotidit liittyvät toisiinsa kovalenttisilla fosforiesterisidoksilla

DNA:n kaksoiskierre muodostuu vetysidoksilla
=
emäspariutuminen

KE4: Polymeerit

By Opetus.tv

KE4: Polymeerit

  • 2,407