Logaritmi

Logaritmi taulukkokirjassa

Tehtäviä

A3/K2019

1) Määritä logaritmin määritelmän avulla x.

\log_5x=-3

2) Laske lausekkeen tarkka arvo.

\log_214-\log_27+\log_24

3) Ratkaise yhtälö.

\log_3(x+2)=1

Ratkaisuja:

1) Määritä logaritmin määritelmän avulla x.

\log_5x=-3
\Leftrightarrow 5^{-3}=x
x=\frac{1}{5^3}
=\frac{1}{125}

2) Laske lausekkeen tarkka arvo.

\log_214-\log_27+\log_24
=\log_2\frac{14}{7}+\log_24
=\log_22+\log_24
=\log_2(2\cdot4)
=\log_28
x=\log_28 \Leftrightarrow2^x=8
2^3=8
=3

3)

\log_3(x+2)=1
3^1=x+2

Logaritmin määritelmästä:

x+2=3
x=1
\ln(2x+1)-\ln(2x)
=\ln\frac{2x+1}{2x}
=\ln(1+\frac{1}{2x})
\ln(x+1)-\ln x
=\ln\frac{x+1}{x}
=\ln(1+\frac{1}{x})

Logaritmifunktio on kasvava funktio, joten

\ln(1+\frac{1}{2x})<\ln(1+\frac{1}{x}),\text{ kun }x>1.

B7/S2018

Ratkaisu:

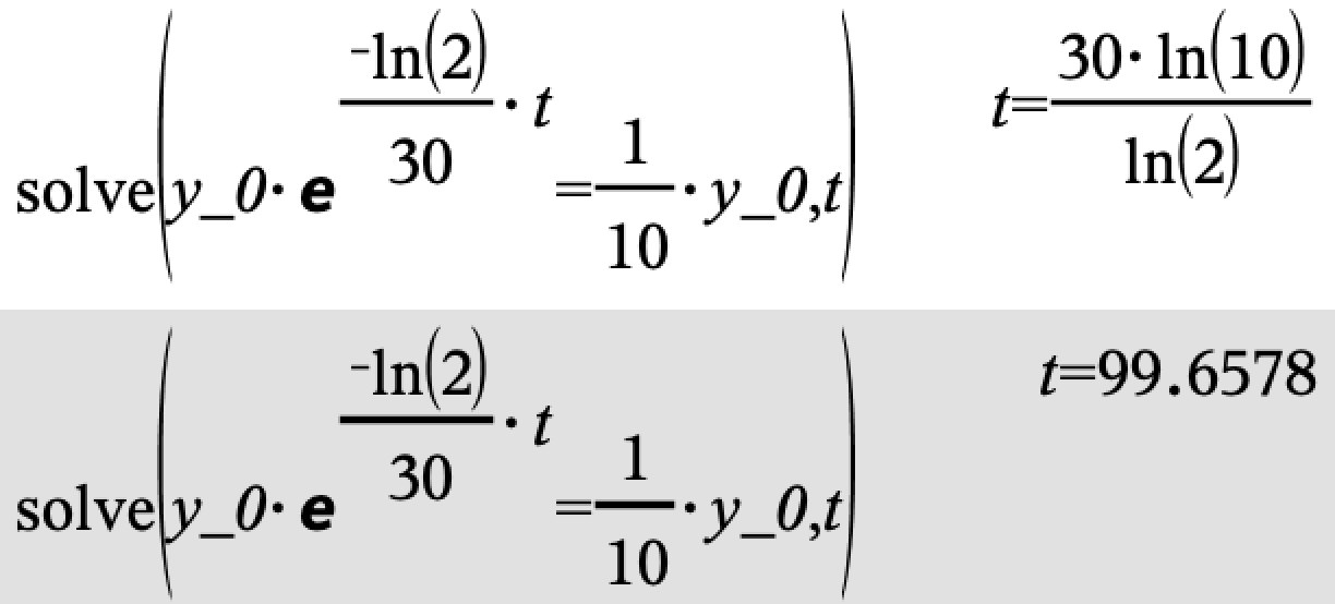
TI-nSpire: Jos haluat tarkan arvon, laita yhtälöön 0,5 paikalle 1/2 tarkkana arvona!

TI-nSpire: Saat likiarvon painamalla pc ctrl + enter / mac command + enter.

Derivoidaan funktio.

Lasketaan derivaattafunktion arvo sijoittamalla t:n paikalle 40.

Logaritmi

By Opetus.tv

Logaritmi

  • 1,125