Digitaalinen ylioppilaskoe matematiikassa

K2019

 

 

 

Lauri Hellsten
Espoon yhteislyseon lukio

"Arviointi ohjaa opiskelua ja oppimista enemmän kuin mikään muu tekijä oppimistilanteessa"

- Entwistle & Entwistle, 1992; Hodgson & Pang, 2012;
Segers & Dochy, 2006; Struyven, Dochy & Janssens, 2005

 

ARvioinnista

Opiskelijaa

  • kannustetaan kehittämään luovia ratkaisuja matemaattisiin ongelmiin.
  • harjaannutetaan käyttämään tietokoneohjelmistoja matematiikan oppimisen ja tutkimisen sekä ongelmanratkaisun apuvälineinä.

 

Opiskelussa hyödynnetään mm.

  • dynaamisen matematiikan ohjelmistoja
  • symbolisen laskennan ohjelmistoja
  • tilasto-ohjelmistoja
  • taulukkolaskentaa
  • tekstinkäsittelyä sekä
  • mahdollisuuksien mukaan digitaalisia tiedonlähteitä.

Tärkeää on myös arvioida apuvälineiden hyödyllisyyttä ja käytön rajallisuutta.

LOPS 2015 - poimintoja

lähde: LOPS2015

 

1. Valinta- ja yhdistelytehtävät, joissa vastaamiseen tarvittava kirjoittaminen on minimoitu.

2. Yksinkertaiset tuottamistehtävät.

3. Monipuolisempaa matemaattisen ongelman ratkaisua sekä tiedon yhdistämistä ja analysointia vaativat tehtävät, joissa saatetaan tarvita usean eri kurssin tietoja.

A-osassa 48 p, B1-osassa 36 ja B2-osassa 36 p eli yht. 120 p

Tehtävätyypit

Matematiikan yo-kokeen a-osa

sähköinen matematiikan koe

EI KÄYTÖSSÄ

LibreOffice Calc, wxMaxima, Texas Instruments TI-Nspire CAS, Casio ClassPad Manager, Geogebra.

Matematiikan yo-kokeen b-osa

sähköinen matematiikan koe

  • Monipuolisempaa matemaattisten ongelmien ratkaisua aineistolla sekä tiedon yhdistämistä ja analysointia vaativat tehtävät, joissa saatetaan tarvita usean eri kurssin tietoja.

    • Ohjelmistot vastaamisessa

    • Taustamateriaalia: tilastoja, videoita, sovelluksia, animaatioita tai muuta materiaalia.

Sähköinen yo-koe

ja MAOL-taulukkokirja

digi vai printti?

Kurssikokeessa ja sähköisessä ylioppilaskokeessa

  • A-osa ilman ohjelmistoja
  • B-osa ohjelmistojen
  • kanssa

 

Taulukkokirja sallittu molemmissa osissa.

 

MAOL-digitaulukot mukana kokeessa, Ei toistaiseksi Abittissa…

1. Kuinka paljon digitaalisuus vaikuttaa siihen, mitä taitoja testataan?

 

”matematiikan opiskelussa hyödynnetään muun muassa dynaamisen matematiikan ohjelmistoja, symbolisen laskennan ohjelmistoja, tilastoohjelmistoja, taulukkolaskentaa, tekstinkäsittelyä sekä mahdollisuuksien mukaan digitaalisia tiedonlähteitä”.

 

Kokeiden digitaalisuus vaikuttaa mm. käytettävien aineistojen määrään ja laatuun. Kokeiden digitaalisuus vaikuttaa myös koekysymyksiin. Esimerkiksi käytettävät ohjelmat tekevät tiettyjen matematiikan tehtävätyyppien asettamisesta epämielekästä. CAS-laskinten salliminen on jo vaikuttanut tehtävien laatimiseen tässä suhteessa."

1. Kuinka paljon digitaalisuus vaikuttaa siihen, mitä taitoja testataan?

 

”matematiikan opiskelussa hyödynnetään muun muassa dynaamisen matematiikan ohjelmistoja, symbolisen laskennan ohjelmistoja, tilastoohjelmistoja, taulukkolaskentaa, tekstinkäsittelyä sekä mahdollisuuksien mukaan digitaalisia tiedonlähteitä”.

 

Kokeiden digitaalisuus vaikuttaa mm. käytettävien aineistojen määrään ja laatuun. Kokeiden digitaalisuus vaikuttaa myös koekysymyksiin. Esimerkiksi käytettävät ohjelmat tekevät tiettyjen matematiikan tehtävätyyppien asettamisesta epämielekästä. CAS-laskinten salliminen on jo vaikuttanut tehtävien laatimiseen tässä suhteessa."

7. Tehokas CAS-ohjelmien käyttö nostaa abstraktiotasoa. Tuleeko kokeista tämän myötä liian vaikeita?

 

"Uudet työvälineet antavat monipuolisempia mahdollisuuksia arvioida kokelaiden osaamista. Tehtävänlaadinnassa pyritään siihen, että kukin ylioppilaskoe pystyisi erottelemaan kokelaat heidän osaamisensa mukaan. CAS-laskimet ovat olleet käytössä kokeissa jo muutaman vuoden, joten digitaalisuus ei tässä suhteessa tuo lisätarvetta abstraktiotason nostoon."

10. Pitääkö jatkossa opettaa matematiikassa kaikki kahteen kertaan? Ensiksi A-osaa varten, ja sitten B-osaa varten?

 

"LOPS2015 mukaan ”matematiikan opetuksen tehtävänä on tutustuttaa opiskelija matemaattisen ajattelun malleihin sekä matematiikan perusideoihin ja rakenteisiin, opettaa käyttämään puhuttua ja kirjoitettua matematiikan kieltä sekä kehittää laskemisen, ilmiöiden mallintamisen ja ongelmien ratkaisemisen taitoja”.

Matematiikan opetuksen tavoite ei saisi supistua erilaisten reseptien opetteluksi, joita pitäisi ensin harjoitella käsin laskien ja sitten erikseen laskimella laskien. Matematiikan oppimisessa kannattaa hyödyntää monipuolisesti kaikkia mahdollisia digitaalisia ja analogisia välineitä, jotta yllä mainitut LOPS:n tavoitteet toteutuisivat."

11. Kuinka pitkälti voi matematiikan koekysymyksessä lukea ohjelman tuottamasta kuvasta? Esimerkiksi funktion kasvaminen väheneminen yms.

 

"Se, että näyttää siltä, että funktio on kasvava, ei tarkoita, että se on kasvava. Lukiossa on hyvä harjoitella, mitä tietoa kuvasta voi saada."

19. Milloin järjestelmään tulee matematiikan kaksiosaisuus ja miten se aiotaan toteuttaa?

 

"CAS-ohjelmat kieltävä ominaisuus on järkevä toteuttaa Abittiin, kun matemaattisen tekstin tuottamiseen liittyvät ongelmat on ratkaistu. Tämän jälkeen on mahdollista toteuttaa varsin nopeasti sellainen kaksiosainen matematiikan koe, jossa kokelas käynnistää uudelleen koneensa osioiden välissä.

 

Nykyisessä kaksiosaisessa matematiikan kokeessa kokelas voi heti kokeen alusta lähtien vastata kaikkiin kokeen tehtäviin. Vielä ei pystytä sanomaan, säilyykö tämä ominaisuus digitaalisessa kokeessa. "

20. Ovatko kaikki vastaukset eri työvälineillä samanarvoisia?

 

"Lautakunta ei arvostele työvälinettä, vaan kokelaan osoittamaa osaamista. Osaamisen osoittamisessa saa hyödyntää erilaisia välineitä. Kuten ennenkin, kokelas voi ilmaista osaamista monilla eri tavoilla.

 

Nykyisinkin kokelas saattaa valita työvälineen tai vastausstrategian, jonka avulla vastaaminen on hidasta tai jopa mahdotonta. Jos kokelas hyödyntää työvälinettä niin, että hän päätyy vääriin perusteluihin tai johtopäätöksiin, niin toki tämä vaikuttaa  arvosteluun"

23. Millaista notaatiota kokelaan on käytettävä matemaattisissa lausekkeissa? Sallitaanko esimerkiksi piste pilkun sijaan vastauksessa, jos käytettävä ohjelma käyttää pistettä desimaalierottimena? Entä miten vektorit pitää merkitä? Hyväksytäänkö ylä- ja alaindeksimerkinnät t^2 ja t_2?

 

"Vastauksessa pääpaino on osaamisen osoittamisessa. Vastauksen pitää olla riittävän selkeä, jotta opettajalle ja sensorille on selvää, mitä kokelas tarkoittaa ja että merkinnät eivät mene vastauksessa keskenään sekaisin. Valittua merkintätapaa voi tukea selityksillä. Kansallisten käytäntöjen mukaista notaatiota ei tarvitse erikseen selittää. Ohjelmia voi käyttää tehtävän ratkaisussa hyväksi niille luonteenomaisella tavalla ja niiden tuottamaa esitystä ei tarvitse kirjoittaa uudestaan, mikäli esitys on ymmärrettävä. "

24. Saako koko vastauksen kirjoittaa koejärjestelmän ohjelmassa? Eli kelpaavatko kuvankaappaukset ratkaisuksi?

 

"Pelkkä kuvankaappaus kelpaa, jos vastaus muuten täyttää sille asetetut vaatimukset luettavuuden,seurattavuuden ja ymmärrettävyyden osalta. Kuvankaappauksen käyttäminen ei kuitenkaan poista tarvetta perustella vastausta, minkä voi myös tehdä eri ohjelmien tuottamaa esitystä käyttäen. Tietty esitysmuoto ei ole itsetarkoitus ja tavoite, vaan työkalu jäsentyneen ja perustellun vastauksen esittämiseen."

30. Voiko matematiikan vastauksessa hyödyntää ohjelmien ominaisuuksia, kun ohjelma laskee automaattisesti kolmion kulmat?

 

"Kuten voimassa olevassa laskinohjeessa todetaan, matematiikan tehtävän vastaus koostuu väitteistä ja niiden perusteluista. Tulevassa digitaalisessa kokeessa ohjelmistoja saa käyttää minkä tahansa väitteen aikaansaamisessa, mutta pelkkä lasku ohjelmistossa ei muodosta koskaan väitteen perustelua. Se, mikä väite vaatii perustelun, riippuu asiayhteydestä. Jos tehtävässä pyydetään osoittamaan, todistamaan tai perustelemaan jotain, ei ohjelman antama laskutulos ole koskaan yksinään riittävä vastaus. Opetuksessa kannattaakin kiinnittää huomiota siihen, miten vastauksia perustellaan laskinohjelmistoja käytettäessä."

 

31. Kuinka laajasti pitää välivaiheiden näkyä matematiikan vastauksissa?

 

"Käsite välivaiheet on ongelmallinen ja sen sijasta kannattaisi puhua perusteluista. Kokelaan tulisi pystyä vastauksessaan tuottamaan päättelyketju, jonka perusteella hän vastaa tehtävänantoon. Jos koetta arvosteleva sensori joutuu arvaamaan, mitä kokelas yrittää päätellä, niin on mahdollista, että vastaus ei kelpaa. Digitaalisten ohjelmistojen oikeanlainen käyttö perusteluiden tuottamisessa edellyttää kokelaalta kypsyyttä matemaattisen vastauksen tuottajana."

Matematiikan esimerkkitehtävät julkaistiin 7/2017

Esimerkkitehtävä A tai B, 1

a) Videossa näyttäisi olevan kolme paksuudeltaan yhtä suurta neliöpohjaista särmiötä. Koska paksuus on sama, niin kappaleiden tilavuuden määrää pohjan pinta-alan suuruus, joten tästä eteenpäin käsitellään vain pohjaneliöitä neliöinä.

 

Neliöiden sivujen pituudet ovat samat kuin keskellä olevan suorakulmaisen kolmion sivujen pituudet, eli esimerkiksi suurimman neliön sivun pituus on suorakulmaisen kolmion hypotenuusan pituus.

 

Alkutilanteessa kaksi pienintä neliötä näyttävät olevan täynnä vettä. Näiden neliöiden pinta-alat ovat kateettien neliöitä, joten pinta-alojen summa on kateettien neliöiden summa. Kun pyörää pyöritetään, niin vesi valuu suurimpaan neliöön ja päädytään jossain kohtaa tilanteeseen, jossa ainoastaan suurimmassa neliössä on vettä ja se on täynnä.

 

Näin ollen suurimman neliön pinta-alan täytyy olla sama, eli kateettien neliöiden summa. Toisaalta neliön pinta-alasta seuraa suoraan, että suuren neliön pinta-ala on hypotenuusan neliö. Ollaan siis saatu, että kateettien neliöiden summa on hypotenuusan neliö, eli tulos, jonka Pythagoraan lause sanoo suorakulmaisille kolmioille.

 

b) Video ei muodosta matemaattista todistusta Pythagoraan todistukselle, koska kyseessä on ainoastaa yksi suorakulmainen kolmio ja matemaattisessa todistuksessa tarkastellaan kaikkia suorakulmaisia kolmioita.

 

Lisäksi empiirinen koe ei koskaan riitä todistukseksi, koska ei voida mitenkään sanoa varmaksi, etteikö tippa vettä olisi jäänyt pienempiin neliöihin tai pieni osa vedestä valunut huomaamattomasti pois.

Esimerkkitehtävä A tai B, 2

a) Tehtävässä oletetaan, että  \( n \) on pariton ja siitä pitää päätellä, että \( n^2 \)  on pariton. Käytetään parittomuuden määritelmää  \( n=2m+1 \) jollakin kokonaisluvulla \( m \) ja tarkastellaan, miltä näyttää \( n^2=(2m+1)^2 \) ja sieventämällä saadaan \( 4m^2+4m+1 \),  josta ottamalla yhteinen tekijä 2 saadaan \( 2(2m^2+2m)+1 \). Merkitsemällä \( k=2m^2+2m=2m(m+1) \) saadaan \( n^2=2k+1 \) eli \( n^2 \)  on pariton. Näin ollen oikea järjestys on seuraava.

1. Jos \(n \) on pariton

3. \( 2n=2m+1\), jollekin kokonaisluvulle m

5.\( (2m+1)^2=4m^2+4m+1 \)

12. \( =2k+1 \), missä \( k=m(m+1) \)

8. Joten \( n^2 \) on pariton.

 

b) Nyt todistus perustuu vastaoletukseen, eli siihen, että \( n \)

 olisikin parillinen. Tästä tiedosta yritetään päätellä ristiriita alkuperäisen oletuksen \( n^2=2m+1 \) kanssa, eli että \( n^2 \) ei olisikaan pariton. Todistuksen järjestys on seuraava.

9. Jos \( n \) on parillinen

10. \( n=2m\), jollekin kokonaisluvulle m

7. \( (2m)^2=4m^2 \)

4. \( =2k\), missä \( k=2m^2 \)

11. Joten \( n^2 \) on parillinen

6. Mutta \( n^2 \) on pariton alkuperäisen oletuksen mukaan

 

Esimerkkitehtävä A1

Ylemmässä kuvassa oleva funktio on muotoa \( \dfrac{ax+b}{x+d} \), koska funktio ei ole määritelty kohdassa \( x=-d \). Toisaalta tiedämme, että sinifunktion kuvaaja on jaksollinen.

 

Funktio ei ole määritelty kohdassa \( x=4 \), joten \( d=-4 \).

 

Luetaan kuvaajalta kaksi kokonaislukupistettä, esm. \( (-2,2) \) ja \( (10,4 ) \). Pisteiden pitää toteuttaa funktion lauseke, joten saadaan

\[ \dfrac{-2a+b}{-6}=2 \text{ ja } \dfrac{10a+b}{6}=4 \]

Kerrotaan molemmat yhtälöt luvulla 6, jolloin yhtäpitäviksi yhtälöiksi saadaan

\[-2a+b=-12 \text{ ja } 10a+b=24 \]

Yhteenlaskumenetelmällä saadaan yhtälö \( 12a=36 \), josta edelleen saadaan \( a=3 \). Vakio b saadaan sijoittamalla \( a=3 \) esimerkiksi yhtälöön \( 2a-b=12\), josta saadaan \( b=-6 \).

 

Alemmassa kuvaajassa vakio \( B \) on nostanut kuvaajaa kolmen ruudun verran, joten \( B=3 \).

 

Kuvaajasta nähdään, että funktion arvot ovat välillä \( [-4,10] \) ja sinifunktion arvot ovat välillä \( [-1,1] \), joten \( A=7 \).

 

Tiedetään, että sinifunktion jakson pituus on \( 2 \pi \), jolloin funktion \( \sin (\pi x) \) jakson pituus on 2. Kuvaajasta nähdään, että funktiolla jakson pituus on 8, joka selviää katsomalla esimerkiksi kahden minimikohdan välistä etäisyyttä, joten luvun C on oltava \( \frac{1}{4} \).

 

Vastaus:

\( a=3, \ b=-6, \ d=-4, \ A=7, \ B=3, \ C=\dfrac{1}{4} \)

Esimerkkitehtävä A2

a) 

\[(a+b)^3+(a-b)^3=(a+b)(a^2+2ab+b^2) +(a-b)(a-b)^2\]

\[=a^3+3a^2b+3ab^2+b^3+a^3-3a^2b+3ab^2-b^3 \]

\[=2a^3+6ab^2 \]

b) 

\[D(\sin(x^2))=\cos(x^2)\cdot 2x = 2x \cos (x^2)\]

c) 

\[ \int_0^1 e^x dx=e^1-e^0=e-1 \]

Esimerkkitehtävä A3

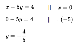
a) Suora leikkaa y-akselin pisteessä, jossa \( x\)-koordinaatti on 0. 

 

Vastaus: Pisteessä \( (0,-\frac{4}{5} )\)

b)

c)

Esimerkkitehtävä A4

Esimerkkitehtävä B1

Esimerkkitehtävä B2

Esimerkkitehtävä B3

Esimerkkitehtävä B4

MAA esimerkkitehtävät

By Opetus.tv

MAA esimerkkitehtävät

  • 1,317