Rumor has it:

Identifying Misinformation in Microblogs

Vahed Qazvinian
Emily Rosengren
Dragomir R. Radev
Qiaozhu Mei


University of Michigan
Ann Arbor, MI


{vahed,emirose,radev,qmei}@umich.edu

Abstract

  • Rumor
    • A statement whose true value is unverifiable.

Rumor

  • Misinformation
    • False information
  • Disinformation
    • Deliberately false informaion

Feature

  • Content-Based
  • Network-Based
  • Indentifying Rumors
    • From microblog-specific memes.
  • Indentifying Disinformers

Introduction

  • Ambiguous Context Rumor
    • Ex: Office renovation in a company.
  • Potential Threating Rumor
    • Ex: Underarm deodorants cause breast cancer.

Definition

  • Rumor is defined as a statement whose truth-value is unverifiable or deliberately false.

Work

  • Retrieving a complete set of tweets that discuss a specific rumor.
  • Retrieving online microblogs that are rumor-related.
  • Identifing tweets in which rumor is endorsed.

Related Work

  • Analyzing rumors
  • Mining Microblogs
  • Sentiment Analysis
  • Subjectivity Detection

Rumor Indentification & Analysis

  • How rumors are manifested and spread.

Leskovec et al., 2009

  • Using the evolution of quotes reproduced online to identify memes and track their spread overtime.

Ratkiewicz et al., 2010

  • They created the "Truthy" system.
  • Identifying misleading political memes on Twitter.
  • Using hashtags, links, and mentions.

Ennals et al., 2010

  • Focus on highlighting disputed claims on the Internet
  • Using pattern matching techniques.

Mendoza et al., 

  • Analyzing the 2010 earthquake in Chile.
  • The behavior of Twitter users under the emergency.
  • Tthe patterns of propagation in rumors differ from news.

Sentiment Analysis

  • The automated detection of rumors is similar to traditional NLP sentiment analysis tasks.

Pang et al., 2002

  • Using machine learnging techniques.
  • To identify positive and negative movie reviews.

Hassan et al., 2010

  • Using a supervised Markov model, part of speech, and dependency patterns.
  • To identify attitudinal polarities in threads posted to Usenet discussion posts.

Godbole et al., 2007

  • Using algorithmically generated lexicons of positive and negative words.
  • To design sentiment scores for news stories and blog post.

Pang and Lee, 2008

  • Setiment analysis
  • Opinion mining

Rumor Classification

  • Closely related to opinion mining and sentiment analysis.
  • But with whether the statements is controversial.

Mining Twitter Data

  • Twitter API

Disadvantage

  • Posts are limited to 140 characters.
  • Containing information in an unusually compressed form.
  • Grammar used may be unconventional.

Problem Definition

  • Rumor Retrieval
  • Belief Classification

Retrieval Task

  • Non-Rumor
    • "As Obama bow to Muslim leaders Americans are less safe not only at home but also overseas. ..."
  • Rumor
    • "RT @johnnyA99 Ann Coulter Tells Larry King Why People Think Obama Ia A Muslim ..."

Belief Classification

  • Confirm
    • "RT @moronwatch: Obama's a Muslim. Or if he's not, he sure looks like one #whyimvotingrepublican."
  • Deny
    • "Barack Obama is a Christian man who had a Christian wedding with 2 kids baptised in Jesus name. Tea Party clowns call that muslim #p2 #gop"
  • Doubtful
    • "President Barack Obama’s Religion: Christian, Muslim, or Agnostic? - The News of Today (Google): Share With Friend... http://bit.ly/bk42ZQ"

Data

  • Tweets that are written about a rumor.
  • Using Twitter search API.
  • Matching a given regular expression.
  • Collecting matching tweets once per hour.

Annotation

  • Two annotators
  • "1" if it is about a rumor.
    • "Sarah and Todd Palin to divorce, according to local Alaska paper. http://ow.ly/iNxF"
  • "0" otherwise.
    • "McCain Divorces Palin over her ‘untruths and out right lies’ in the book written for her. McCain’s team says Palin is a petty liar and phony"

Annotation

  • "11" if the tweet poster endorses the rumor.
    • "Todd and Sarah Palin to divorce"
  • "12" if the user refutes the rumor.
    • "Sarah Palin Divorce Rumor Debunked on Facebook"

Datasets

  • More than 10400 tweets.
  • 35% are not rumor-related.
  • 43% of the poster believe the rumor.

Inter-Judge Agreement

  • Annotated 500 instances twice.
  • Calculate the Kappa ceofficient

Approach

  • Whether it is a rumor-related statement.
  • Whether the user believes the rumor.

Classifiers

  • Building different Bayes classifiers.
  • Calculate the likelihood ratio for a given tweet \(t\).

Classifiers

  • To avoid dealing with very small numbers.
  • Using the log likelihood.

Content-Based Features

  • Lexical patterns
    • Tokenized using the space.
  • Part-of-speech patterns
    • Treatign hashtag as a word and labeling "TAG/"
    • URLs labeled as "URL/"
  • Unigrams and bigrams of each representation.
    • Each tweet will extract 2 x 2 = 4 features.

Content-Based Feature

  • Tweet \(t\) of length \(n\).
  • Lexically as \((w_1w_2...w_n)\)
  • POS tags as \((p_1p_2...p_n)\)

Unigram-Lexical Features (TXT1)

Bigram-Based Lexical Features (TXT2)

Content-Based Feature

  • Unigram-Lexical Features (TXT1)
  • Bigram-Based Lexical Features (TXT2)
  • Unigram POS Features (POS1)
  • Bigram POS Features (POS2)

Network-Based Feature

  • Focus on user behavior on Twitter.
  • User \(u_i\) re-tweet a message \(t\) from the user \(u_j\)
    • (\(u_i\): "RT @\(u_j\) t")
  • \(t\) is more likely to be a rumor if 
    • \(u_j\) has posted or re-tweeted rumors.
    • \(u_i \) has posted or re-tweeted rumors.

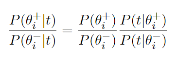
User Model

  • \(\theta^+\): Users who have interacted in a positive instance.
    • First feature is the log-likelihood ratio that \(u_i\) is. (USR1)
  • \(\theta^-\): Users who have interacted in a negative instance.
    • Second feature is the log-likelihood ratio that \(u_j\) is under \(\theta^+\) than \(\theta^-\). (USR2)

Twitter Specific Memes

  • Hashtags
  • URLs

Hashtags

  • Whether hashtags used in rumor-related tweets are different from other tweets.
  • Whether people who believe and spread rumors use hashtags that are different from those who are not.

Hashtags Feature

  • For a given tweet \(t\)
  • A set of \(m\) hashtags \((\#h_1\#h_2...\#h_m)\)
  • Hashtag feature (TAG)

Title Text

  • Bullet One
  • Bullet Two
  • Bullet Three

URLs

  • Refer to external sources.
  • Overcome the length limit of tweet.

URLs

  • If a tweet is a positive instance
    • Will be similar to the content of URLs shared by other positive tweets.
  • If a tweet is a negative instance
    • Should be more similar to the web pages shared by other negative instances.

Models

  • Build the \(\theta^+\) and \(\theta^-\) for unigrams and bigrams.
  • Calculate the log-likelihood ratio
    • for unigrams (URL1)
    • and bigrams (URL2)

Feature Summarizes

  • To build these language models
    • Use the CMU Language Modeling toolkit.

Experiments

  • 2 sets of experiments
    • IR framework for rumor retrieval.
    • Detect users's beliefs in rumors.

Rumor Retrieval

  • 5-fold cross-validation
  • Single query \((Q)\)
  • The set of relevant documents \(\{d_1, ... , d_m\}\)
  • \(R_k\) is the set of ranked retrieval results from the top result to the \(k^{th}\) relevant documents, \(d_k\)

Baselines

  • Random method (Random)
    • Ranked by random number.
  • Uniform method (Uniform)
    • Ranked by the majority vote from the training set.
  • Regexp method (regexp)
    • The regexp that was submitted to Twitter.

KL Divergence

  • Using the Lemur Toolkit to employ a KL divergence retrieval model with Dirichlet smoothing (KL).
  • Query Language Model \(\theta_Q\)
  • Document Language Model \(\theta_D\)
  • Documents are ranked by \(D(\theta_Q||\theta_D)\)

Using Bayesian smoothing with Dirichlet priors

KL Divergence

  • Default parameter value in Lemur \((\mu = 2000)\)
  • Tuned based on the data \((\mu = 10\))

Feature Analysis

  • Content-Based (TXT1+TXT2+POS1+POS2)
  • Network-Based (USR1+USR2)
  • Twitter Specific Memes (TAG+URL1+URL2)

Domain Training Data

  • Extract 400 randomly selected tweets.
  • Gradually add the rest of the obama tweets.
  • Exhibit a fast growth and reach 80% at 2000 data.

Belief Classification

  • 6774 tweets in total
    • 2971 belief
    • 3803 not

Conclusion

  • Propose a general framework to retrieve rumorous tweets that match a more general query.
  • Capturing tweets that show user endorsement.
  • A manually annotated datasets of 10000 tweets.

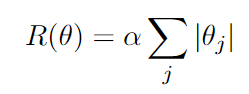
Optimization

  • \(L_1\)-regularized log-linear model
  • A set of input \(x\)
  • \(\Phi: X \times Y \to \Reals^D \) maps each \((x, y)\) to a vector of feature values.
  • \(\theta \in \Reals^D\) assign a real-valued weight to each feature.
  • Choose \(\theta\) to minimize the sum of least squares and a regularization term \(R\).

\(\alpha\) is a parameter that controls the amount of regularization.

Paper Presentation: Rumor has it

By Penut Chen (PenutChen)