Polinomios Aritméticos
Los polinomios aritméticos con números racionales son expresiones que combinan las diferentes operaciones, signos como:
Los polinomios con números racionales son ejercicios donde se encuentran combinadas varias operaciones y a la vez pueden esta entre diferentes signos de agrupación.


Resolución de ejercicios
Para solucionar un polinomio aritmético en el que no hay signos de agrupación, se deben realizar las operaciones que lo integran en el orden que se muestra a continuación.
1. Se calculan las potencias y las raíces.
2. Se resuelven las multiplicaciones y las divisiones de izquierda a derecha.
3. Se efectúan las adiciones y las sustracciones de izquierda a derecha.

Resolución de ejercicios

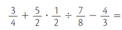
1.- Resuelve, no olvides tomar en cuenta el orden en la resolución de los ejercicios
2.- Resolvemos la multiplicación

3.- Luego resolvemos la división

4.- Por último, resolvemos las sumas y restas


Resolución de ejercicios
Si en un polinomio aritmético hay signos de agrupación, se realizan en primer lugar todas las operaciones indicadas dentro de dichos signos, comenzando por el más interno; luego, se procede como en el caso anterior.

Resolución de ejercicios
1.- Resuelve, no olvides tomar en cuenta los paréntesis:

2.- Destruimos los paréntesis, en el segundo como tenemos el signo menos delante tomamos el opuesto, es decir, que cambiamos todo de signo del segundo término.


3.- Resolvemos la resta entre los números enteros.

4.- Por último, resolvemos la operación con números racionales


Resolución de ejercicios
Operaciones Combinadas
By Patricia Chacha
Operaciones Combinadas
- 4,334