Graph-Based Light Field Super-Resolution

主要想法

  • 每張圖抽第一行 pixel 出來,相同顏色的地方基本上會連成一條直線

主要想法

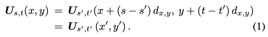
  • 投影點:同樣物體在不同 view 所對應的 pixel,會遵守這個式子

$$U_{s,t}(x,y) $$

$$U_{s',t'}$$

$$d_(x,y)$$

主 pixel

投影點

和左邊那張圖做的 disparity map

主要想法

  • 譜分群:將樣本看作圖上的點,樣本間的相似度作為邊的權重;找出一種分割方法使得連接不同群的邊權重最低(目標損失函數最小
  • 高解析度圖中的每個 pixel 都是一個 vertex,edge 連接到相鄰 8 個 view 的投影點,最後會形成一張有權無向圖;但因為投影點不會是特定的點、也可能不是整數,所以會連接到一整個 window

數學式

  • 找到 F(u) 的最小值

平衡係數

0.0055

0.2

數學式

  • 確保同一 view 中高、低解析度的 consistency

  • data fidelity term

Sampling Matrix

Blurring Matrix

low-res

pixel value

high-res

pixel value

平方再取

2-norm

數學式

  • A圖 down sample 去掉的資訊可能會在 B 圖

  • 強迫讓高解析度 uk 可以產生所有 vk'

warping matrix

數學式

  • regularizer

  • 譜分群

  • leads to an adaptive smoothing, ideally along the EPI lines

  • 圖上每條邊的權重的加總

數學式 - 權重計算

  • weight - similarity between vertices

7*7 patch

Frobenius norm

可調整的常數

0.7229

數學式 - 權重計算

  • Edge pruning

  • 上下左右只保留兩條權重最大的邊

  • 斜角保留四條

數學式 - 權重計算

  • 要做出 symmetric adjacency matrix

  • left-right disparity check

  • WB (i, j) > 0 且 WB (j, i) > 0 (此式成立時兩者會自動相等)

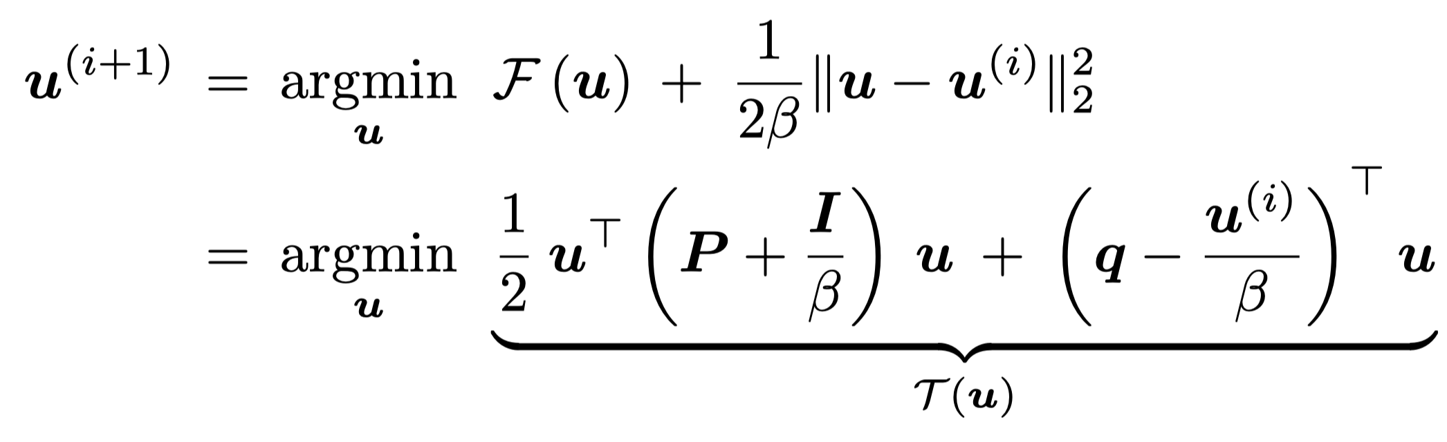
最佳化演算法

  • 我們可以觀察出這其實是一個 quadratic problem(二次規劃)

最佳化演算法

  • Proximal Point Algorithm

  • Conjugate gradient meth 共軛梯度法求

結果比較 - 2倍

結果比較 - 3倍

Graph-Based Light Field Super-Resolution

By Petingo

Graph-Based Light Field Super-Resolution

  • 292