目标情感分析

Effective LSTMs for Target-Dependent Sentiment Classification

Recurrent Attention Network on Memory for Aspect Sentiment Analysis

&

问题定义

情感分析是分析文本中的情感分类

最简单的情感分类就是文本、文档、短文本的分类

目标情感分析定义

摄像头效果很,但是电池

如何分开定义摄像头电池的情感

TD-LSTM

TC-LSTM

After calculating the hidden vector of each position, we regard the last hidden vector as the sentence
representation (Li et al., 2015a; Tang et al., 2015)

Averaging the vectors
of words it contains, which has been proven to be simple and effective in representing named entities
(Socher et al., 2013a; Sun et al., 2015).

RAM-NET尝试解决的问题

  • 单独LSTM的长程依赖还是不够
    • 因为LSTM一个一个词一个词输出,并且由门控制,那么可能太长句子会丢失之前词的一些信息
  • 单层LSTM或单层Attention对一些依赖类型的信息提取不足
    • 除了摄像头,其他的都一无是处
    • 这种情况下很难分辨出摄像头的的情感

RAM-NET 结构

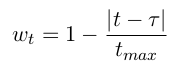
RAM-NET 位置公式

按照具体对象词距离判断权重

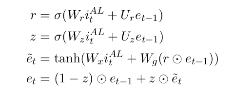
RAM-NET 记忆更新

经过Attention的上下文

上一轮记忆

i_t^{AL}
itALi_t^{AL}
e_{t-1}
et1e_{t-1}

RAM-NET 多层Attention

第一层关注,第二层关注比较级的信息

Target Sentiment Analysis

By qhduan

Target Sentiment Analysis

  • 550