Advancements in Tritium Breeding:
towards achieving self-sufficiency in
Fusion Power Plants through
Liquid Immersion Blanket Concept
Remi Delaporte-Mathurin, Nikola Goles, Collin Dunn, Emily Edwards, Samuele Meschini, Stefano Segantin, Sara Ferry, Ethan Peterson, Dennis Whyte, Edward Lamere, Colin Weaver, Kevin Woller and LIBRA collaborators







The tritium issue
Half-life: 12 years
☢
❓How ❓
Lithium is used to breed tritium


⚛️Breeding tritium
🛡️Shield from neutrons
🔥Extract heat
Liquid Immersion Blanket
FLiBe
ARC power plant
Sorbom et al, Fus Eng Design, Volume 100, November 2015, Pages 378-405
LIBRA: demonstrating the Liquid Immersion Blanket

What is the smallest blanket that can demonstrate a \(\mathrm{TBR} \geq 1\) ?
LIBRA
Liquid Immersion Blanket tritium Robust Accountancy
Objectives
🎯Lab demonstration of T self-sufficiency with DT neutrons
🎯Experience with molten salt handling
🎯Tritium extraction from molten salts
Ferry, S. E. et al. (2023), Fusion Science and Technology, 79(1), pp. 13–35. doi: 10.1080/15361055.2022.2078136.
The BABY experiment studies tritium breeding at a small scale
- \(14 \ \mathrm{MeV}\) neutrons generated
- tritium created from nuclear reactions
- tritium transport in the salt
- tritium released into the gas phase
- tritium collection and accountancy
Molten salt @ 700C
neutron generator
Tritium collection
reentrant heater




LIBRA was designed to achieve TBR ≈ 1

Neutronics simulations

500L FLiBe
14 MeV neutron source
Inconel
double wall
Li + n → T + He
Neutron multiplier
The LIBRA experiment

Tritium transport
Transport mechanisms:
- Diffusion
- Advection
Release pathways:
- Release gas/liquid interface
- Permeation through walls
The LIBRA experiment
The LIBRA experiment

He
Tritium detection
How to measure TBR?
We need to measure these two numbers!
Neutrons are detected with a combination of techniques

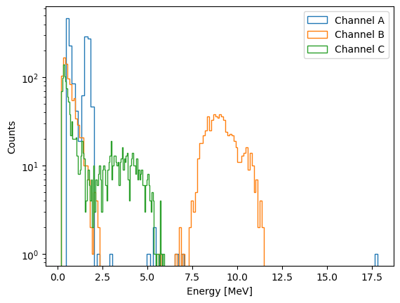
Niobium activation foils

Diamond detector

\( (n,\alpha)\) peak provides real-time data

Neutron detection
Neutrons are detected with a combination of techniques
A8 Diamond proton recoil telescope


supported by Cividec
DD peak
(2 MeV)
DT peak
(14 MeV)

Tritium was measured using
Liquid Scintillation Counting
HTO, TF and TCl
(soluble in water)
HT, T2
(insoluble)

Liquid Scintillation Counting

Counts between 0-18.6 keV for tritium detection
LIBRA set the world record for measured TBR 🥇
- \( \mathrm{TBR} = 4.71 \times 10^{-4} \) (from OpenMC)
- \( \Gamma_n = 3.88 \times 10^8 \) n/s (from measurement)
- Mass transport coeffs. \( k_i \) (fitted)
100 mL
salt
Top release
Wall release
A transient 0D model is used to simulate the tritium release
Cumulative release (Bq)
Neutron generators on
A transient 0D model is used to simulate the tritium release
\(k\) mass transport coefficient
\(A\) surface area
neutron rate
100 mL
salt
Top release
Wall release
Salt T inventory
T fluxes
Cumulative release


Varying the mass transfer coefficients only affects the dynamics

Reproducibility
What is the effect of salt chemistry?
Redox potential affects the tritium speciation
Total tritium release
Redox potential affects the release dynamics
Cumulative release (Bq)
OpenMC model
OpenMC model
Comparison of TBR calculations with different breeders
At the 100 mL scale

1 L of salt
Top release gas sweep
Outer-vessel for permeated tritium
The BABY 1L upgrade is currently running!

×5.3
New world record! 🥇
The previous record has been broken again!
Tritium Breeding Ratio
BABY can help validate FESTIM models
Delaporte-Mathurin et al, International Journal of Hydrogen Energy 63, 2024, 786-802
Temperature
(steady state)
Velocity
(steady state)
Tritium concentration
The FESTIM model highlights a qualitative discrepancy
- Very sensitive to diffusivity
- Wall release > Top release
Hypotheses
- Advection not correctly taken into account?
- Permeation barrier: oxide layer?
- Complex chemistry?
Top release
Wall release
The flux is computed from the concentration field

Diffusivities of FLiBe and FLiNaK
Where to go from here?




Road to \(\mathrm{TBR} \approx 1\) ...
Tritium Breeding Ratio
LIBRA


LIBRA Pi is being manufactured
100 L of salt
Re-entrant heaters
Inner vessel




Conclusions and next steps
So much more we can do
- Optimise neutron detection and tritium accountancy
- Reproduce speciation experiments
- Irradiate FLiBe
- Road to LIBRA
100 mL
1 L
100 L
500 L
BABY
LIBRA




- BABY is the first TBR measurement in molten salts
- Theoretical and technical knowledge on tritium breeding technologies
- Paper under review in Nuclear Fusion
- Data: github.com/LIBRA-project/insights-from-BABY-experiment-paper


Thank you!
Any question?
✉️ remidm@mit.edu

LIBRA
By Remi Delaporte-Mathurin
LIBRA
- 818