Lisp

"It's 2002, and programming languages

have almost caught up with 1958"

Paul Graham - Revenge of the Nerds

Ronie Uliana

Lambda Calculus*

*não contém cálculo

1930

Alan Turing

Alonzo Church

Modelo universal de "computação"

Máquina de Turing

Lambda Calculus

<=equivalentes=>

Máquina de Turing

Lambda Calculus

Menos "charmoso", mais simples

(λa.ab) c = cb

  • Uma expressão é:
    • Uma letra
    • Uma função
  • A função substitui a letra
  • Só...

Não tem...

  • Não tem contas
  • Não tem números
  • Não tem operadores
  • Não tem nada...

 

Só "variáveis" e funções

Exemplos

(λa.a) x = x

(λab.ba) xz = zx

(λab.b) x = (λb.b)

(λab.ba) (yz) = (λb.b(yz))

x = x

x (λa.b) z = xb

Números com Lambda

  • 0 = (λab.b)
  • 1 = (λab.a(b))
  • 2 = (λab.a(a(b)))
  • 3 = (λab.a(a(a(b))))
  • ...

Operações aritméticas

  • Sucessor = (λabc.b(abc))
  • Adição = número sucessor número (1 + 2)
  • Multiplicação = (λab.a(bc))

Sucessor: (λabc.b(abc))

abc.b( abc)) (λab.b)

(λbc.b((λ ab. b)bc))

(λbc.b(c))

abc.b( abc)) (λbc.b(c))

(λbc.b((λ bc. b( c))bc))

(λbc.b(b(c)))

  • 0 = (λab.b)
  • 1 = (λab.a(b))
  • 2 = (λab.a(a(b)))
  • 3 = (λab.a(a(a(b))))
  • ...

Adição: núm suc núm

2 + 3?

(λab.a (a (b ) ) )  (λabc.b(abc)) (λab.a(a(a(b))))

(λb. (λabc.b(abc)) ( (λabc.b(abc))  (b ) ) ) (λab.a(a(a(b))))

(λabc.b(abc)) ( (λabc.b(abc))  ((λab.a(a(a(b)))) ) )

(λabc.b(abc)) ( (λbc.b( ab.a(a(a(b))))bc))  )

(λabc.b(abc)) (λbc.b(b(b(b(c)))))

(λbc.b( (λbc.b(b(b(b(c))))) bc))

(λbc.b(b(b(b(b(c))))))

0 = (λab.b)

1 = (λab.a(b))

2 = (λab.a(a(b)))

3 = (λab.a(a(a(b))))

...

O básico

  • Sintaxe
  • Prefix notation
  • Declarações

Toda a sintaxe do Lisp

em uma linha:

(algo parâmetros ...)

Sério... essa é toda a sintaxe =/

Prefix notation

1 + 2 = (+ 1 2)

1 + 2 + 3 + 4= (+ 1 2 3 4)

 

1 < 2 = (< 1 2)

 x > 1 && x < 3 = (< 1 x 3)

Declarações

  • Variáveis:
    • x = 1 => (define x 1)
  • Funções:
    • function tipo_soma(a, b) ... => (define (tipo-soma a b) ...
    • tipo_soma(1, 2) => (tipo-soma 1 2)

Homoiconicidade

Código = Dados

Dados = Código

(AST)

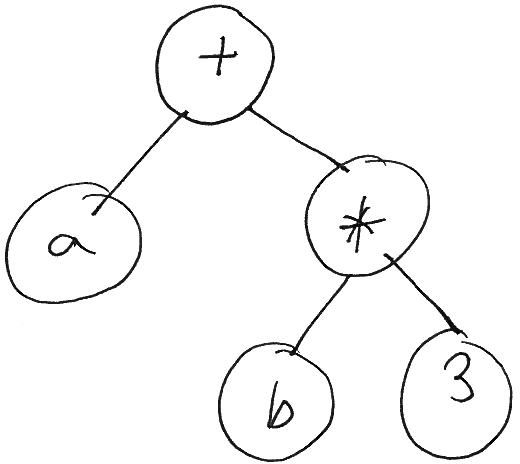
AST

Abstract Syntax Tree é com um programa é representado depois do "parsing".

 

É como o computador sabe o que fazer primeiro.

a + b * 3

O código em Lisp é uma AST

(+ a (* b 3))

(raiz nó

         (raiz nó nó))

O código é uma lista

Posso manipular listas

Posso manipular o código

#lang racket
(require (for-syntax syntax/parse))
(define-syntax (: stx)
  (syntax-parse stx #:datum-literals (+ - * / ^)
    [(_ l ... + r ...)  #'(+ (: l ...) (: r ...))]
    [(_ l ... - r ...)  #'(- (: l ...) (: r ...))]
    [(_ l ... * r ...)  #'(* (: l ...) (: r ...))]
    [(_ l ... / r ...)  #'(/ (: l ...) (: r ...))]
    [(_ l     ^ r ...)  #'(expt l      (: r ...))]
    [(_ x)              #'x]))

(: 1 + 4 ^ 2)

Exemplo de Macro

Lisp evoluiu

(1958) Lisp

(1970) Scheme

(1984) Common Lisp

(1994) Racket

(2007) Clojure

Common Lisp

Lisp "padrão"

  • Padrão ANSI
  • Extenso (+)
  • Comandos arcanos (-)
  • CLOS c/ Multimétodos (+)

Racket

Uma linguagem

para criar linguagens

  • 1994 (PLT-Scheme)
  • 2010 Racket
  • Macros (+)
  • Design by Contract (+)
  • Coleções (-)

Clojure

Um Lisp moderno

(foco em imutabilidade)

  • 2007
  • Concorrência (+)
  • Coleções (+)
  • JVM (+)
  • Sem tail call optimization (-)
  • Macros (-) (no hyg, no readr)

Racket

  • Uncharted 2, 2009
  • The Last of US, 2013
  • ... (não há muito mais)

Clojure

  • Datomic, 2012 (Datalog distribuído)
  • WallMart, Black Friday 2014
  • PuppetLabs, 2014
  • NuBank, 2015
  • ... (existe muito mais)

Embedded Scheme

  • Script-fu, GIMP
  • Nyquist, Audacity
  • EmacsLisp, Emacs
  • AutoLisp, Autocad
  • rep, Sawfish

Novos Lisps?

Novos dialetos de Lisp nos últimos 10 anos

Influência => Macros!

  • Elixir
  • Julia
  • Rust
  • ... outros!

(fim)

Lisp/Racket para IA

By Ronie Uliana

Lisp/Racket para IA

Introdução ao Lisp usando Racket com ênfase em Inteligência Artificial

  • 2,882