Constraining modifications of gravity with synergies between radio and optical surveys

 

Santiago Casas,

with Isabella Carucci, Valeria Pettorino,

Stefano Camera, Matteo Martinelli, Martin Kunz

 

arXiv:2210.05705 Phys.Dark Univ. 39 (2023) 101151

     @santiagocasas                                                                                                        santicasas.xyz

Large Scale Structure of the Universe

Illustris Simulation: www.nature.com/articles/nature13316

The Standard \(\Lambda\)CDM model

  • \(\Lambda\)CDM is still best fit to observations.
  • Some questions remain:
  • \(\Lambda\) and CDM.
  • Cosmological Constant Problem:

O(100) orders of magnitude wrong
(Zeldovich 1967, Weinberg 1989, Martin 2012).
 Composed of naturalness and coincidence
sub-problems, among others.

Quantum Gravity?

G_{\mu \nu} + \Lambda g_{\mu \nu} = 8\pi G T_{\mu \nu}

String Theory Swampland?

Tensions in the \(\Lambda\)CDM model

  • \(\Lambda\)CDM is still best fit to observations.
  • Some questions remain:
  • H0 tension, now ~5\(\sigma\)

L.Verde, et al 2019. arXiv:1907.10625

Lange et al. arXiv: 2301.08692

  • \( S_8 = \sigma_8 \sqrt{\Omega_{m,0}/0.3} \)
  • So called "lensing is low" problem or S8 problem.
  • At the moment just a discrepancy (no tension) at 2-3 \(\sigma\)

DES DRY3 arxiv:2207.05766

Alternatives to \(\Lambda\)CDM

Ezquiaga, Zumalacárregui, Front. Astron. Space Sci., 2018

Alternatives to \(\Lambda\)CDM

Gregory Horndeski
https://www.horndeskicontemporary.com/works

 

And in the Lorentz Institute seminar room!

Costa Rica - Arenal Volcano

  • Horndeski theory: most general theory for an extra scalar degree of freedom, with second order equations of motion in 4D and no ghosts
  • 4 Lagrangian terms, which have been largely ruled out by:
    • Late-ISW
    • GW170817
    • No self-acceleration -> uninteresting?

Gregory Horndeski
https://www.horndeskicontemporary.com/works

Can we test more general models?

 

Cosmology of surviving Horndeski theory: The road ahead, N.Frusciante, S. Peirone, S. Casas, N. Lima, arXiv:1810.10521

Gregory Horndeski
https://www.horndeskicontemporary.com/works

 

And in the Lorentz Institute seminar room!

Parametrized modified gravity

\rm{d}s^2 = -(1+2\Psi) \rm{d}t^2 + a^2(1-2\Phi) \rm{d}x^2

In \(\Lambda\)CDM the two linear gravitational potentials \(\Psi\) and \(\Phi\) are equal to each other

We can describe general modifications of gravity (of the metric) at the linear level with 2 functions of scale (\(k\)) and time (\(a\))

Only two independent functions

\Sigma(a,k) = \frac{1}{2}\mu(a,k)(1+\eta(a,k))

Late-time parametrization: Planck constraints

  • Using Planck satellite data in 2015 and 2018, constraints were obtained on these two functions \(\mu\) and \(\eta\).
  • Late-time parametrization: dependent on Dark Energy fraction
  • \(\mathcal{O}(100\%)\) relative errors

Planck 2015 results XIV, arXiv:1502.01590

Planck 2018 results VI, arXiv:1807.06209

Late-time parametrization: Forecasts

2017 Forecasts for Stage-IV : Euclid, DESI, SKA1, SKA2, only GC and WL no cross-correlation

  • Study more general case of free \(\mu\), \(\eta\) functions at each bin
  • Non-linearities crucial for constraints
  • Z-PCA decorrelation
  • Constraints on \(\mu\), \(\eta\) of O(10%)
  • For late-time and early-time scenario:
    Constraints on \(\mu\), \(\eta\) of O(3%)
  • When combining GC+WL+Planck priors

Casas et al (2017), arXiv:1703.01271

The Evolution of the Universe and the Dark Ages

Complementarity of probes

21cm Intensity Mapping

Image credit: Sunayana Bhargava

SKAO Probes

Image credit: Isabella Carucci

  • Continuum emission:  Allows detection of position and shapes of galaxies.

  • Line emission of neutral Hydrogen (HI, 21cm):

  1. Using redshifted HI line -> spectroscopic galaxy survey

2. Intensity Mapping: Large scale correlations in HI brightness temperature -> very good redshift resolution,
good probe of structures

SKAO Probes

Image credit: Isabella Carucci

  • Continuum emission:  Allows detection of position and shapes of galaxies.

  • Line emission of neutral Hydrogen (HI, 21cm):

  1. Using redshifted HI line -> spectroscopic galaxy survey

2. Intensity Mapping: Large scale correlations in HI brightness temperature -> very good redshift resolution,
good probe of structures

SKAO GC Surveys

HI galaxies spectroscopic survey

  1. GCsp: HI galaxy spec. redshift survey: \(0.0 < z < 0.5\)
    probes 3D matter power spectrum in Fourier space.

SKA1 Redbook 2018, arXiv:1811.02743

SKA1 Medium Deep Band 2:  \(5000 \, \rm{deg}^2\)

SKAO Angular Surveys

  1. GCsp: HI galaxy spec. redshift survey: \(0.0 < z < 0.5\)
    probes 3D matter power spectrum in Fourier space
  2. GCco + WL + XCco (Continuum): \(0.0 < z < 3.0 \)
    probes angular clustering of galaxies, Weak Lensing (Weyl potential) and galaxy-galaxy-lensing.
    Angular number density:
    \( n \approx 3.2 \rm{arcmin}^{-2}\)

     

SKA1 Redbook 2018, arXiv:1811.02743

Continuum galaxy survey

SKA1 Medium Deep Band 2:  \(5000 \, \rm{deg}^2\)

SKAO Angular Surveys

  1. GCsp: HI galaxy spec. redshift survey: \(0.0 < z < 0.5\)
    probes 3D matter power spectrum in Fourier space
  2. GCco + WL + XCco (Continuum): \(0.0 < z < 3.0 \)
    probes angular clustering of galaxies, Weak Lensing (Weyl potential) and galaxy-galaxy-lensing.
    Angular number density:
    \( n \approx 3.2 \rm{arcmin}^{-2}\)
  3. For comparison: Stage-IV:
    \( n \approx 30 \rm{arcmin}^{-2}\)

*kindly provided by Stefano Camera

Continuum galaxy survey

SKA1 Medium Deep Band 2:  \(5000 \, \rm{deg}^2\)

Galaxy Clustering Recipe

BAO

Clustering

RSD

Spec-z

Euclid Collaboration, IST:Forecasts, arXiv: 1910.09273

3x2pt recipe

Euclid preparation: VII. Forecast validation for Euclid cosmological probes.  arXiv:1910.09273

Directly constrains MG function \(\Sigma\) through Weyl potential

-k^2(\Phi(a,k)+\Psi(a,k)) \equiv 8\pi G a^2 \Sigma(a,k)\rho(a)\delta(a,k)
P_{\delta \delta} \rightarrow \Sigma^2 P_{m}

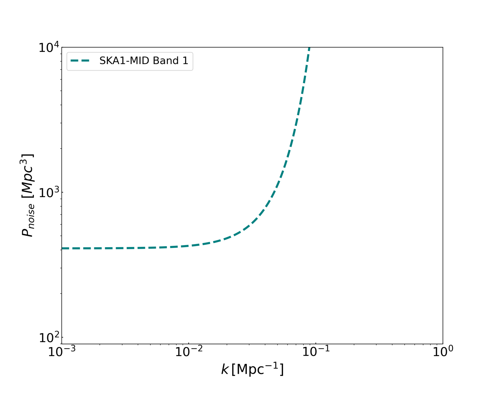
SKAO IM Surveys

  • IM: Intensity mapping survey
    \(0.4 < z < 2.5\)
  • Very good redshift resolution:  \(\Delta z \approx \mathcal{O}(10^{-3}) \)
  • We use: 11 redshift bins
  • Single dish mode:
    \(N_d = 197\)
    \(t_{obs} = 10000 \, \rm{hr} \)
    We limit to the scales
    \(0.001 < k < 0.25 \, [h/\rm{Mpc}] \)

     

 

SKA1 Medium Deep Band 1:  \(20000 \,\rm{deg}^2\)

Intensity Mapping

  • IM probes the underlying matter power spectrum.
  • Density bias given by the HI mass contained in dark matter halos.
  • 21cm brightness temperature depends on cosmological background & the energy fraction of neutral Hydrogen in the Universe \(\Omega_{HI}\).
  • \(P_{\delta\delta,zs}(z,k) \) is the redshift space matter power spectrum

\(P^{\rm IM}(z,k) = \bar{T}_{IM}(z)^2 \rm{AP}(z) K_{\rm rsd}^2(z, \mu; b_{\rm HI}) \)
\(FoG(z,k,\mu_\theta) \\ \times P_{\delta\delta,dw}(z,k)  \)

\(\Omega_{HI}  = 4(1+z)^{0.6} \times 10^{-4} \)

\( \bar{T}_{\mathrm{IM}}(z)= 189h \frac{(1+z)^2 H_0}{H(z)}\Omega_{HI}(z) \,\,{\rm mK} \)

Jolicoeur et al (2020) arXiv:2009.06197

Carucci et al (2020) arXiv:2006.05996

\( K_{\rm rsd}(z, \mu; b_{\rm HI}) = [b_{\rm HI}(z)^2+f(z)\mu^2] \)

\( b_{\rm HI}(z) = 0.3(1+z) + 0.6 \)

Intensity Mapping x GCsp

  • Cross correlation combines  one term of brightness T with one K term for each "redshift sample".
  • Same underlying matter power spectrum for both probes.
  • A combined z-error (damping along the line of sight), where "sp" dominates, since the IM resolution is 1-2 orders of magnitude better.

\( b_{\rm g}(z) = \) fit to simulations for given galaxy sample

Jolicoeur et al (2020) arXiv:2009.06197

Wolz et al (2021) arXiv:2102.04946

\(\sigma_i(z) = \frac{c}{H(z)}(1+z) \delta_z\)

\(P^{{\rm IM} \times \rm{g}}(z,k) = \bar{T}_{\rm IM}(z) {\rm AP} (z) r_{\rm IM,opt}  K_{\rm rsd}(z, \mu; b_{\rm HI}) \)
\( \times K_{\rm rsd}(z, \mu; b_{\rm g}) FoG(z,k,\mu_\theta) P_{\delta\delta,dw}(z,k) \)

\( \times \exp[-\frac{1}{2} k^2 \mu^2 (\sigma_{\rm IM}(z)^2+\sigma_{\rm sp}(z)^2)]  \)

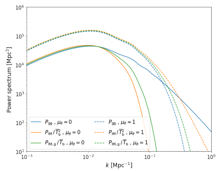
Intensity Mapping

  • \(P_{gg}\) underlying galaxy power spectrum.
  • \(P_{IM}/T_{b}^2\):  IM power spectrum.
  • \(P_{IM,g}/T_{b}^2\) cross-spectrum.
  • Angle-dependent beam effect is in the signal*, damps accross the l.o.s.
  • Along the l.o.s. damping due to FoG, but higher amplitude due to Kaiser.

Stage-IV surveys

  • 14 000 square degrees in the sky
  • 30 million accurate galaxy spectra
  • Redshifts: 0 < z < 2
  • 13245 square degrees in the sky
  • 20~30 million accurate galaxy spectra
  • 2 billion galaxy shapes
  • with ground-based photometry
  • Redshifts: 0 < z < 3

Euclid

DESI

Vera Rubin Obs. LSST

  • 18 000 square degrees in the sky
  • ~10 billion photo-z galaxies and shapes
  • 11 years observations
  • Redshifts: 0 < z < 3

Euclid Propaganda

#52weeks of Euclid in space

https://www.euclid-ec.org/euclid-anniversary/

instagram: @euclidconsortium

Exciting new science, but also too many new challenges!

Galaxy Clustering - IM Synergies

  • GCsp-IM Cross-correlation in overlapping bins
  • Addition in disjoint bins
  • No GCsp-GCsp cross-correlation

*No Euclid results today, political reason, paper in prep.

Fisher Matrix forecasts

F_{\alpha \beta} =-\frac{\partial^2 \ln L(\bm{\Theta})}{\partial \Theta_{\alpha}\,\partial \Theta_{\beta}}\bigg |_{\rm fid}

Given a likelihood function L, representing the probability of the data d, given the model parameters \( \Theta\) , the Fisher matrix is defined as the Hessian of the L:

F_{\alpha \beta} =\frac{\partial\bm t^{\sf T}}{\partial\Theta_\alpha}\,{\sf C}^{-1}\,\frac{\partial\bm t}{\partial\Theta_\beta}\;

Assuming that L is a multivariate Gaussian distribution with a covariance matrix C independent of \(\Theta\) :

The explicit form of F, depends on the given observational probe and the physical model assumption, for example for GCsp:

F^{AB}_{\alpha\beta}=\sum_{m,n=1}^{N_{\rm b}}\sum_{a,b,c,d,n}\frac{\partial P_{AB}(\bar z_m,k_a,\mu_b)}{\partial \Theta_{\alpha}} \times\frac{\partial P_{AB}(\bar z_n,k_c,\mu_d)}{\partial \Theta_{\beta}}\, \left[{\sf C}^{AB}(\bar z_m,\bar z_n)\right]^{-1}_{abcd}\;

Fisher Matrix forecasts

What do we expect from the forecasts before doing them, just by looking at the formulas and the specs?

  • SKAO (Phase1) has more independent probes but less statistical power (n(z) and area) -> less constraining power than Stage-IV
  • WL and 3x2pt better at constraining \(\Sigma\)
  • GCsp and IM better at constraining \(\mu\)
  • GCsp x IM cross-corr. improves constraints on parameters?

Let's see the results !

SKAO  Results

 

  • GC-IM probes measure \(\mu\) at small \(z\), where \(\mu\) becomes important.

 

  • Continuum probes measure better \(\Sigma\) ; Weyl potential is important.

SKAO  Results

 

  • Blue: Combined GCsp+IM (3D)
     
  • Yellow: Combined continuum probes (2D: angular)
     
  • Purple: Combination of 3D and angular probes
     
  • Constraints on \(\mu\) are good in angular, due to the XC contribution from GCco clustering.

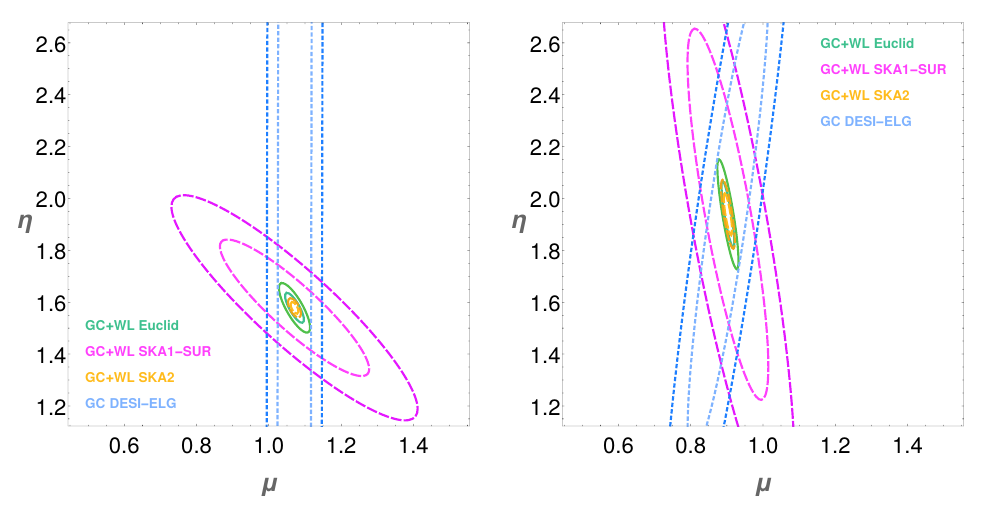
SKAO  Results

  • Combining all SKAO probes (optimistic), 2-3% errors on \(\mu\) and \(\Sigma\).
  • Minor improvement from Planck, mainly through ISW and CMB lensing.

SKAO  x DESI cross-correlation

  • GCxIM probes do not improve constraints on MG parameters,
    but improvement on \(h\) and \(\sigma_8\)

DESI_E : high-z Emission Line Galaxies

DESI_B: low-z Bright Galaxy Sample

SKAO GCsp: low-z HI Galaxies

SKAO  x DESI cross-correlation

 

  • However, when combined with angular probes, there is a larger gain.

SKAO  + optical

Proposals for the Science Book Chapter (and beyond)

 

  1. Have a unified open-source collaborative pipeline for forecasts and analysis
  2. Optical GCsp x SKAO IM +HI GC + SKAO continuum 3x2pt
  3. SKAO IM + HI GC + Optical 3x2photo + CMB XC?
  4. A set of minimal MG models (parametrized + binning/PCA) to explore
  5. Treatment of non-linear scales important!  (Are we sensitive here to baryonification?) 1-loop Pk, Bispectrum (Dyonisis talk)?
  6. Neutrino mass, DM (Marco Regis talk), N_effective?

Pipelines

Code: CosmicFishPie

S.Casas, M.Martinelli and M.Raveri, S. Pamuk and more!

Soon to be released with MCMC support!

Contains:

Euclid (spectro+photo), Planck, LSST, DESI, SKAO IM, HI and continuum

https://github.com/santiagocasas/cosmicfishpie

Campagne, Lanusse, Zuntz, SC, et al, 2302.05163

We still need to develop many parts of a differentiable pipeline!

TOPO-COBAYA: https://github.com/santiagocasas/topo-cobaya

SKAO  + optical

Credit: Guadalupe Cañas, Pedro Carrilho, Santiago Casas, for IST:NL/L, KPs, CLOE papers

Neglecting baryons -> bias!!

Linde, Moradinezhad, Rademacher, SC, Lesgourgues (2402.09778)

CLASS 1-loop Code in development in Aachen, RWTH

Validated against CLASS-PT, Velocileptors

Implemented in MontePython, soon in CosmicFishPie for GCsp and IM

in Fourier and "Legendre"

SKAO  + optical + CMB

Euclid Preparation: Sensitivity to Neutrino parameters, 2405.06047,  Archidiacono, Lesgourgues, SC, Pamuk, et al.

Can SKAO contribute to these constraints?

Text

Conclusions

  • \(\Lambda\)CDM is still the best fit to observations, however certain theoretical uncertainties and tensions in data are still of concern.
  • Constraining modifications of gravity at the level of perturbations -> hints for alternative models.
  • SKAO will be able to probe weak lensing and matter density perturbations in novel and independent ways compared to optical surveys.
  • Synergies with optical surveys, like Euclid, DESI and Rubin, including cross-correlations are promising to remove systematics and break degeneracies.
  • Using the good z-resolution of SKAO HI IM could place tight constraints on redshift-binned parametrizations.

Backup slide

Santiago Casas

SKA1  vs Euclid

SKA1:

GC+WL+XC (Continuum) +
IM (HI 21cm) + GCsp(HI)

vs

Euclid

(Gcsp+GCph+WL+XCph)

vs

Euclid

(Gcsp+GCph+WL+XCph)+SKA1 Pk-probes.

Unfortunately, the \(\mu\) constraints from Euclid alone dominate over the improvement that SKA1 "Pk-probes" add

 

 

PRELIMINARY

Backup slide

Testing at higher H0 value

Santiago Casas, 06.12.22

Late-time: Old SKA1, Euclid forecasts

Casas et al (2017), arXiv:1703.01271

  • Old SKA1 forecasts contain only WL continuum and GCsp from HI galaxies
  • Linear GCsp formalism and no IA params in WL

Santiago Casas, 06.12.22

Late-time: Old SKA1, Euclid forecasts

Casas et al (2017), arXiv:1703.01271

  • However, we do roughly recover the same contour orientations and constraints with the new WL SKA1 forecasts.
  • Deeply non-linear Pk recipe is the same, using an interpolation to recover GR at small scales.

Santiago Casas, 02.11.21

The Square Kilometer Array Obs. (SKAO)

  • Next-generation Radioastronomy observatory
  • Largest radiotelescope in the world: eventually 1km^2 area.
  • 15 countries + partners
  • Australia + South Africa installations
  • ~2 billion Euros up to 2030.
  • 5Tbps data rate and 250 Pflops needed for computation

Santiago Casas, 06.12.22

The Square Kilometer Array Obs. (SKAO)

  • 15,000-20,000 square degrees in the sky
  • Precursors: 10^7, SKA-phase1: 10^8, SKA-phase2: 10^9 galaxies
  • SKA1-MID: 0 < z  < 3
  • SKA1-Low: 3 < z < ~ 20
  • Cosmology is just one small area, Exoplanets, Craddle of Life, Reionization, Cosmic Magnetism....

Santiago Casas, 06.12.22

Intensity Mapping Noise Terms

Number of dishes

Effective beam

\(\beta_{SD} = \exp[-\frac{k_\perp r(z)^2 \theta_b (z)^2}{8 \ln 2}] \)

\( \alpha_{SD}  = \frac{1}{N_d} \)

Jolicoeur et al (2020) arXiv:2009.06197

Backup slide

Backup slide

Backup slide

Backup slide

Nice SKAO SWG

By Santiago Casas

Nice SKAO SWG

Constraining modified gravity with synergies between radio and optical cosmological surveys

  • 530