Towards a robust exploration of the Dark Sector with Euclid and Stage-IV surveys

 

 

Santiago Casas

 

Postdoctoral Researcher

Institute of Cosmology and Gravitation
University of Portsmouth

 

     @santiagocasas                   www.santicasas.xyz                             @sant87casas

Planck 2018 CMB Temperature map (Commander) .  wiki.cosmos.esa.int/planck-legacy-archive/index.php/CMB_maps

Cosmic microwave background

Large Scale StructureS

Illustris Simulation: www.nature.com/articles/nature13316

However, the Universe is not as nice and simple. It is a non-linear mess:

Dark Matter

Baryons

What happened between z=1000 and z=0?

Cosmologists looked up:

What happened between z=1000 and z=0?

(Image credit: DESI Collaboration/KPNO/NOIRLab/NSF/AURA/P. Horálek/R. Proctor)

we Basically KNOW how to measure:

 

  • Positions of galaxies in the sky (angles)

  • Redshifts of galaxies (photo or Spectro)

  • Shapes (ellipticities of galaxies)

https://www.esa.int/Science_Exploration/Space_Science/Euclid/Euclid_test_images_tease_of_riches_to_come

Do galaxies just randomly spread out across the sky?

https://www.esa.int/Science_Exploration/Space_Science/Euclid/Euclid_test_images_tease_of_riches_to_come

No they do not, there is actually a 2-point correlation (and higher orders) among them

Expresses the excess probabilty of finding another galaxy as a function of scale

Strong hint that some physical mechanism is at play!!

https://www.esa.int/Science_Exploration/Space_Science/Euclid/Euclid_test_images_tease_of_riches_to_come

Shape and orientation of galaxies is also correlated -- due to Weak Gravitational Lensing -- and this tells us about the content of (dark) mass-energy in the Universe

Some successful (STAGE-III) missions exploring these two aspects so far:

DES (Dark Energy Survey) and KiDS (Kilo-degree survey): photometric WL and Galaxy Clustering (angular)

SDSS, BOSS, eBOSS:

spectroscopic galaxy clustering

DES Y3 + KIDS-1000: CONSISTENT COSMOLOGY COMBINING COSMIC SHEAR SURVEYS (2305.17173v2)

Beyond - ΛCDM constraints from the full shape clustering measurements
from BOSS and eBOSS (2210.07304)

Everything roughly so far so good....

The Standard \(\Lambda\)CDM model

G_{\mu \nu} + \Lambda g_{\mu \nu} = 8\pi G T_{\mu \nu}
  • \(\Lambda\)CDM is still best fit to observations.
  • Some questions remain:
  • \(\Lambda\) and CDM.
  • CDM hasn't been found directly
  • Cosmological Constant Problem:

Quantum Gravity?

O(100) orders of magnitude wrong
(Zeldovich 1967, Weinberg 1989, Martin 2012).
 Composed of fine-tuning, hierarchy and coincidence
sub-problems, among others.

String Theory Landscape?

68% Dark Energy
5% Baryons
27% Dark Matter

The expansion History

The expansion History

\(\phi\) ?

baryogenesis? \(_3^7\textrm{Li}\)?

H0 tension?

z_reio?

\(\Lambda\) ?

DM? PBH ?

Tensions IN \(\Lambda\)CDM

\(H_0\) tension at 5\(\sigma\)

  • Tensions between local and sound-horizon-based measurements

Freedman et al

SH0ES, Riess et al

Planck 2018, VI

Tension with Planck in the
\(\sigma8\) - \(\Omega_m\) plane

Lange et al. arXiv: 2301.08692

  • \( S_8 = \sigma_8 \sqrt{\Omega_{m,0}/0.3} \)
  • So called "lensing is low" problem or S8 problem.
  • At the moment just a discrepancy (no tension) at 2-3 \(\sigma\)
  • Blind comparisons among surveys can rule out usual systematics below z<0.54 (A. Leauthaud et al.)
  • Beyond \(\Lambda\)CDM modelling does not help with current nonlinear analysis

Planck 2018, VI

DES DRY3 arxiv:2207.05766

Tensions IN \(\Lambda\)CDM

Stage-IV surveys to the rescue?

By LSST Project Office - http://www.lsst.org/gallery/telescope-rendering-2013, CC BY-SA 4.0, https://commons.wikimedia.org/w/index.php?curid=42054166

Tucson, Arizona, in the Schuk Toak District on the Tohono O’odham Nation

DESI

Vera Rubin Observatory LSST

https://www.esa.int/Science_Exploration/Space_Science/Euclid/Euclid_test_images_tease_of_riches_to_come

With Stage-IV surveys we will have \(\approx 10^9\) galaxy shapes with photometric (approximate) and \(\approx 10^6\) (precise) redshifts and positions

Only 1/64th of the complete Euclid field of view is represented here, which in turn is equivalent to a mere quarter of the apparent size of the Moon. Consider the vast expanse of 15,000 square degrees, encompassing one-third of the entire sky!

Euclid Early Release Observations

VIS cosmic shear map

VIS cosmic shear map

Euclid Early Release Observations

VIS cosmic shear map

VIS cosmic shear map

Euclid Early Release Observations

VIS cosmic shear map

VIS cosmic shear map

Euclid Space Satellite

ESA class M2 space mission, Launched 1st July 2023 with a SpaceX Falcon9 rocket

 

Credits: www.esa.int/Science_Exploration/Space_Science/Euclid, www.euclid-ec.org, ESA/NASA/SpaceX, Euclid Consortium

Sun-Earth Lagrange point 2, 1.5 million km from Earth

Euclid consortium scientist visits Cannes. Credits: ThalesAlenia Space

The Euclid Consortium fingertip galaxy,  thanks to the contribution of many scientists within the EC, courtesy of Lisa Pettibone, Tom Kitching and ESA

Euclid Space Satellite

Euclid Space Satellite

Euclid Space Satellite

Euclid Space Satellite

Euclid Space Satellite

Euclid Space Satellite

Euclid Space Satellite

  • Two instruments:
  •  VIS (visible photometer): shape and orientation of  ~1 billion galaxies!
  •  NISP (near infrared spectrograph): ~25 million galaxy spectra !
  • 6 years nominal mission
  • ~14 000 sq. degrees in the sky
  •  16 countries, ~1500 members
  •  ~170 Petabyte of data!

VIS cosmic shear map

https://www.euclid-ec.org

  • Euclid preparation: I. The Euclid Wide Survey, 2108.01201
  • Euclid. I. Overview of the Euclid mission, 2405.13491

VIS cosmic shear map

Euclid Mission

#52weeks of Euclid in space

VIS cosmic shear map

https://www.euclid-ec.org/euclid-anniversary/

VIS cosmic shear map

Exciting new science, but also too many new challenges!

Vera Rubin LSST

DESI Baryon Acoustic Oscillations

In a nutshell: Measure a geometric scale that was imprinted on LSS at recombination

https://data.desi.lbl.gov/doc/papers/

Another tension we need to explain?

Vera Rubin LSST

Square kilometer array (SKAO)

  • SKA Phase 1: SKA1-Low and SKA1-Mid
  • SKA1-Low: 130,000 dipole antennas, 65km max. baseline (Australia)
  • SKA1-Mid: ~200 dishes of ~15m diameter, max. baseline 150km (South Africa)
  • Precursors: ASKAP, MEERKAT, HERA...
     
  • €1.3 Billion, 16 countries, 710 Petabytes, 8 years construction

https://www.skao.int/

Other Large Scale Structure Probes I WOn't MENTION IN THIS TALK:

  • CMB LEnSING and ITS Cross-Correlation with LSS

  • Cosmic VOIDS

  • NON-Gaussian and HIGHER ORDER STatistics

  • CLUSTERS of GALAXIES

  • ....

We have many problems/Mysteries in cosmology

 

BUT let's focus on a "classical" one

 

why is the universe accelerating?

 


(assuming we don't like \(\Lambda\))

First Step: Modify Gravity

Ezquiaga, Zumalacárregui, Front. Astron. Space Sci., 2018

Dynamical Dark Energy

  • Dark Energy: Any dynamical cause for the accelerated expansion.

 Euclid was commissioned to test with observations the most common parametrization (CPL):

And possible deviations of the growth of structures

M. Chevallier and D. Polarski (2001), and E. Linder (2003),
Cosmology and Fundamental Physics with the Euclid Satellite (Amendola et al , Living Reviews in Relativity, 2018)

Dynamical Dark Energy

  • Current bounds from CMB and LSS alone
  •  \(\mathcal{O}(1)\) for \(w_0\) combining Planck+GC+WL+SNIa
  • \(\mathcal{O}(0.01)\) with Euclid
  • Here: Flat \(w_0 w_a\mathrm{CDM}\)
  • GCsp+WL+GCph+XC
  • Figure of Merit (~inverse area of ellipse):
    1257 (flat)
  • Non-flat FoM:
    500
  • Optimistic flat:
    \(\sigma_{w_0}=0.025\)
    \(\sigma_{w_a}=0.092\)

Euclid preparation: VII. Forecast validation for Euclid cosmological probes, Blanchard et al. arXiv:1910.09273

Awardees of the Euclid STAR Prize Team 2019

Dynamical Dark Energy

  • Current bounds from CMB and LSS alone
  •  \(\mathcal{O}(1)\) for \(w_0\) combining Planck+GC+WL+SNIa
  • \(\mathcal{O}(0.01)\) with Euclid
  • Here: Flat \(w_0 w_a\mathrm{CDM}\)
  • GCsp+WL+GCph+XC
  • Figure of Merit (~inverse area of ellipse):
    1257 (flat)
  • Non-flat FoM:
    500
  • Optimistic flat:
    \(\sigma_{w_0}=0.025\)
    \(\sigma_{w_a}=0.092\)

Awardees of the Euclid STAR Prize Team 2019

Euclid preparation: VII. Forecast validation for Euclid cosmological probes, Blanchard et al. arXiv:1910.09273

Dynamical Dark Energy

Wolf, Ferreira 2310.07482

Problems with Dynamical DE CPL parametrization:

  • It is just a first order Taylor expansion around \(a=1\)
  • It is underdetermined, prior- and data-dependent
  • parts of \( w_0 - w_a \) space do not match any meaningful model
  • Many physical Quintessence models can recover same parameters even if we find \( w_0 \neq -1 ,  w_a \neq 0 \)

Raveri et al, 2107.12990

how dID we do these forecasts?

spectroscopic probe

BAO / AP-effect

Clustering

RSD

Spec-z

Euclid will also measure the 2pt corr-func of spectroscopic galaxies in redshift space

Euclid preparation: VII. Forecast validation for Euclid cosmological probes, Blanchard et al. arXiv:1910.09273

FoG

BAO-damping / IR-resummation

photometric primary probe

Euclid preparation: VII. Forecast validation for Euclid cosmological probes, Blanchard et al. arXiv:1910.09273

photometric primary probe

  • Photometric galaxy density distribution.
  • Bins convolved with photometric redshift PDF
  • 10-13 bins in future Stage-IV surveys
  • Window functions (Kernels projecting correlations into angular space) -> Limber
  •  Cosmic Shear Kernels are "delocalized" in z -> k
  • Localization techniques such as "BNT" to allow for clear cuts

Euclid: Forecasts for kk-cut 3×23×2 Point Statistics, P. Taylor, V. Cardone, ..., SC, et al.  2012.04672

Fisher Matrix Forecasts

Bayes Theorem:

Probability of the model parameters given the data

Fisher Information Matrix:

Curvature (Hessian) of the Likelihood

Gaussian Likelihood in data space:

-2\ln {L}({\bm x}|{\bm\theta})=\left({\bm x}-{\bm \mu}({\bm\theta})\right)^t{ C}^{-1}\left({\bm x}-{\bm \mu}({\bm\theta})\right)

How do we actually perform those forecasts?

J. Schaffmeister

Euclid preparation: VII. Forecast validation for Euclid cosmological probes, Blanchard et al. arXiv:1910.09273

Fisher Matrix Forecasts

Fisher Matrix for a Gaussian likelihood of angular power spectra:

Parameter covariance:

Defines an ellipse:

Euclid preparation: VII. Forecast validation for Euclid cosmological probes, Blanchard et al. arXiv:1910.09273

Fisher Matrix Forecasts

Euclid preparation: VII. Forecast validation for Euclid cosmological probes, Blanchard et al. arXiv:1910.09273

  • Here: Flat \(w_0 w_a\mathrm{CDM}\)
  • GCsp+WL+GCph+XC
  • Figure of Merit (~inverse area of ellipse):
    1257 (flat)
  • Non-flat FoM:
    500
  • Optimistic flat:
    \(\sigma_{w_0}=0.025\)
    \(\sigma_{w_a}=0.092\)

Can we trust Fisher constraints?

Euclid: Validation of the MontePython forecasting tools, 2303.09451 , SC, Lesgourgues, Schöneberg, et al.

  • Validated IST:F Fisher forecasts against MCMCs with MontePython -> Gaussian posteriors for \(w_0, w_a\)
  • It turns out Fisher approx. is good for a full 6yr data release of Euclid-like specs (optimistic and pessimistic).
     
  • We also validated CAMB and CLASS to each other, the main Einstein-Boltzmann-Solvers on the market.
  • We tested precise numerical accuracy of non-linear methods (Halofit and HMCode) and found differences in CAMB vs. CLASS.

Release of public Euclid likelihood in MontePython (spectroscopic and photometric)

https://github.com/brinckmann/montepython_public

version 3.6.1

(Lesgourgues, Casas, Pamuk, Sabarish +)

The effect of Neutrinos

Simulations and images by my bachelor student: Yun Ling (RWTH), using CoNCEPT, developed by  J. Dakin (Aarhus, U. Zürich)

Can we trust Fisher constraints also in this case?

The effect of Neutrinos

Euclid Preparation: Sensitivity to Neutrino parameters, 2405.06047,  Archidiacono, Lesgourgues, SC, Pamuk, et al.

  • Neutrinos free stream below a scale of \(k_{FS}\).
  • They do not cluster below that scale.
  • Suppression of the power spectrum.
  • The non-relativistic transition imposes a minimum in \(k_{FS}\)

Dynamical Dark Energy + Neutrinos

  • Use more "realistic" settings (HMcode, P_cb, no-fluid approx....) :
  • \(\sigma_{w_0} \approx 0.04\)
    \(\sigma_{w_a} \approx 0.13\)
  • \( m_{\nu} \lt 200 \rm{ meV}\)
  • Euclid + Planck
  • \(\sigma_{w_0} \approx 0.04\)
    \(\sigma_{w_a} \approx 0.12\),
  • \( m_{\nu} \approx 60 \pm 40 \, \rm{ meV}\)

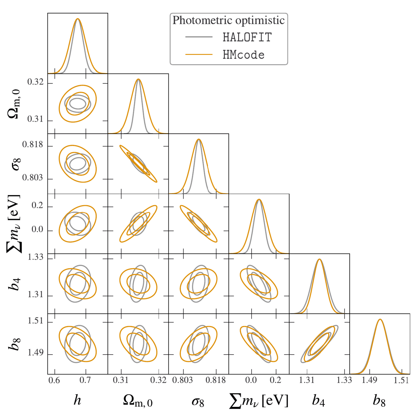
Fisher is not so reliable anymore, with 7, 8 or 9 free cosmological parameters!!

Euclid Preparation: Sensitivity to Neutrino parameters, 2405.06047,  Archidiacono, Lesgourgues, SC, Pamuk, et al.

  • GCsp alone is not very constraining!
  • 3x2ph helps to pin down \(\sigma_8\) and \( m_{\nu}\)

Dynamical Dark Energy + Neutrinos

Euclid Preparation: Sensitivity to Neutrino parameters, 2405.06047,  Archidiacono, Lesgourgues, SC, Pamuk, et al.

  • For a baseline model w0waCDM and baseline \( m_{\nu}\), Euclid+Planck a 1.5-\(\sigma\) detection of non-zero neutrino mass

Dynamical Dark Energy + Neutrinos

Euclid Preparation: Sensitivity to Neutrino parameters, 2405.06047,  Archidiacono, Lesgourgues, SC, Pamuk, et al.

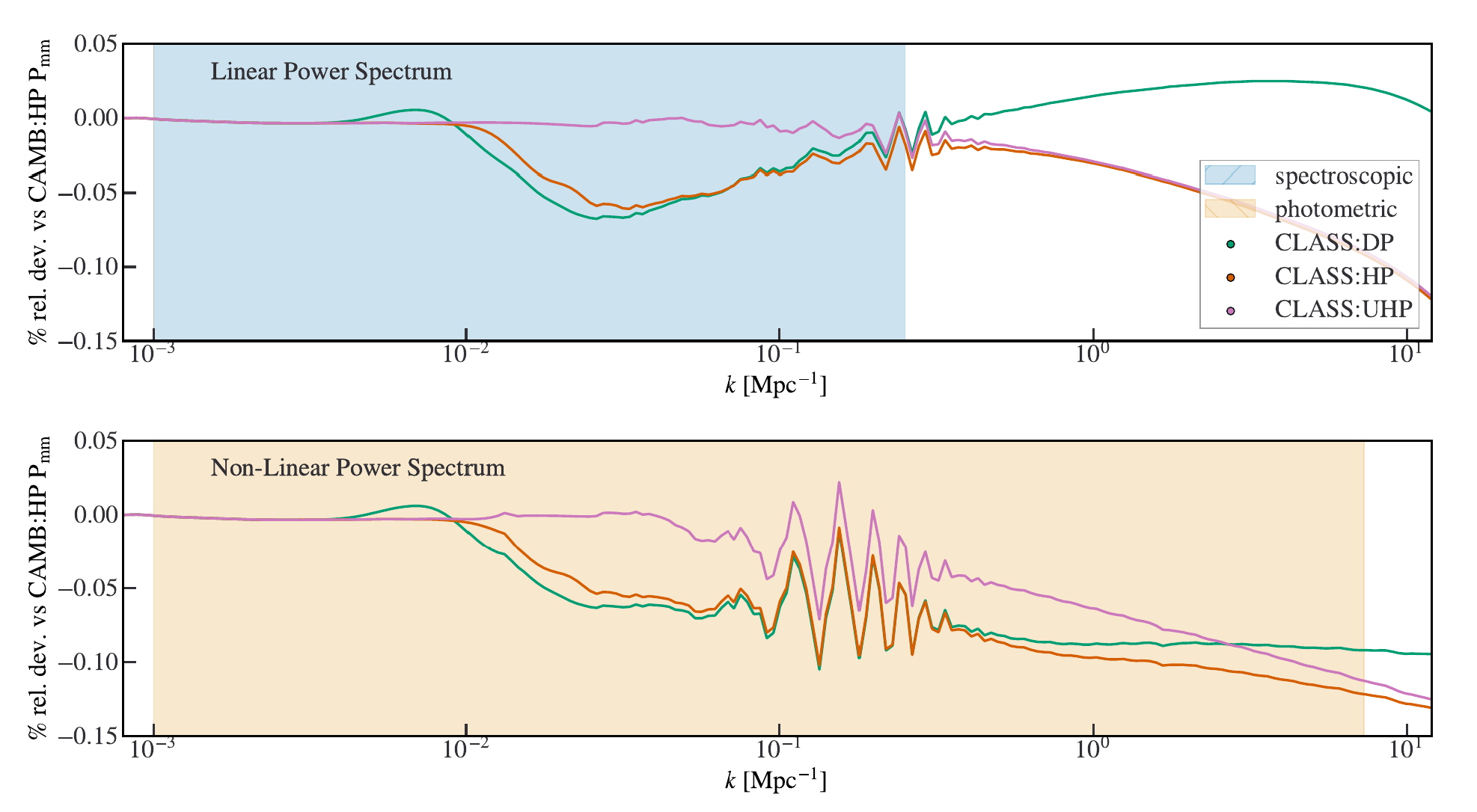
This paper explores in the appendix many "theoretical" modeling systematics

Necessary settings for CAMB/CLASS precision agreement

Differences in non-linear modeling

Historical Halofit forecasts?

Dynamical Dark Energy + Neutrinos

Euclid Preparation: Sensitivity to Neutrino parameters, 2405.06047,  Archidiacono, Lesgourgues, SC, Pamuk, et al.

Dynamical Dark Energy + Neutrinos

Euclid Preparation: Sensitivity to Neutrino parameters, 2405.06047,  Archidiacono, Lesgourgues, SC, Pamuk, et al.

Euclid alone, for \(\Delta N_{eff}\)  not better than Planck alone

Euclid Preparation: Euclid preparation. Sensitivity to non-standard particle dark matter model, 2406.18274, Lesgourgues, Schwagereit,..., SC, et al.

Using MontePython likelihood and DM-emulators

Slides taking from my EC plenary talk: S.Casas, Cosmological Theory Science Working Group, Rome, June 2024

Slides taking from my EC plenary talk: S.Casas, Cosmological Theory Science Working Group, Rome, June 2024

Slides taking from my EC plenary talk: S.Casas, Cosmological Theory Science Working Group, Rome, June 2024

CosmicFish Code

Code: CosmicFish

S.Casas, M.Martinelli and M.Raveri, S. Pamuk

Soon to be released!

https://github.com/santiagocasas/cosmicfishpie

All these forecasts performed or validated against CosmicFish!

Let's go to even more realistic settings

 

Euclid Cosmological Likelihood efforts over 5 years!

Euclid: Likelihood and Nonlinear Challenges

 

  • GCspectro: EFT 1-loop RSD in multipoles
  • 3x2pt photo:
    • Covariance, nonlinear Super-Sample
    • Bias expansion
    • Emulators for nonlinear, HMCode, Halofit, Bacco, EuclidEmu
    • Baryonic Feedback
  • Different emulators with systematic offsets
  • Euclid error bars can distinguish among them
  • Biases in parameter estimation to be resolved

EUCLID PRELIMINARY

Credit: P. Carrilho

Credit: SC, for IST:NL

Cosmological Likelihood for Observables in Euclid

Euclid: Likelihood and Nonlinear Challenges

EUCLID PRELIMINARY

Credit: SC, for IST:L

Cosmological Likelihood for Observables in Euclid

Weak Lensing

(Cosmic Shear)

+ Baryonic feedback

+ Intrinsic alignment

+ multiplicative bias

+ dnz uncertainties

 = 34 parameters

for LCDM flat

 

6x8 cores x 6 days

Euclid: Likelihood and Nonlinear Challenges

EUCLID PRELIMINARY

Credit: Guadalupe Cañas, Pedro Carrilho, Santiago Casas, for IST:NL/L, KPs

50 cores

3x2ph analysis: Using Nautilus and Emulators: 1day15h

Using CAMB and Polychord: 10days!

Text

https://nautilus-sampler.readthedocs.io/en/latest/

Machine Learning to the rescue!!

Euclid: Likelihood and Nonlinear Challenges

EUCLID PRELIMINARY

Credit: Guadalupe Cañas, Pedro Carrilho, Santiago Casas, for IST:NL/L, KPs

Parameter biases still very strong, when comparing emulators!
Especially in presence of baryonification!

Euclid: Likelihood and Nonlinear Challenges

PRELIMINARY

In collaboration with Harry Desmond (ICG), Pedro Ferreira, Deaglan Bartlett, Kazuya Koyama (ICG)

Symbolic regression implemented into CosmicFish,

soon SyrenHalofit into Euclid-pipelines

https://github.com/DeaglanBartlett/symbolic_pofk

spectroscopic probe: Full Shape

Linde, Moradinezhad, Rademacher, SC, Lesgourgues (2402.09778)

The more-realistic GCspectro model, based on Senatore, Ivanov, Simonovic, Vlah, et al

CLASS 1-loop Code in development in Aachen, RWTH

Validated against CLASS-PT, Velocileptors

1-loop PT of density and velocity in redshift space

4 counterterms, 4 shot-noise, 4 higher-order biases

  • Trade-off: larger error bars, more accuracy, less biasing
  • Compared against IST:F model at different scales
  • Comparison against PBJ (CLOE) ongoing
  • Many free parameters, good fit to ABACUS simulations
  • Analytic marginalization -> speed!!
  • Soon: Class Oneloop Release and MontePython Likelihood!

Let's go Back to modified gravity

Too many models to test!

Too many Degeneracies!

Too many models to test!

f(R) with the full spectroscopic recipe (EFToLSS) not ready yet!

a SCALAR-tensor theory

Gregory Horndeski
https://www.horndeskicontemporary.com/works

 

And in the Lorentz Institute seminar room!

Costa Rica - Arenal Volcano

  • Horndeski theory: most general theory for an extra scalar degree of freedom, with second order equations of motion in 4D and no ghosts
  • 4 Lagrangian terms, which have been largely ruled out by:
    • Late-ISW
    • GW170817
    • No self-acceleration -> uninteresting?

Gregory Horndeski
https://www.horndeskicontemporary.com/works

Can we test more general models?

Parametrized modified gravity

\rm{d}s^2 = -(1+2\Psi) \rm{d}t^2 + a^2(1-2\Phi) \rm{d}x^2

Beyond \(\Lambda\)CDM the two linear gravitational potentials \(\Psi\) and \(\Phi\) are not equal to each other

We can describe general modifications of gravity (of the metric) at the linear perturbation level with 2 functions of scale (\(k\)) and time (\(a\))

\Sigma(a,k) = \frac{1}{2}\mu(a,k)(1+\eta(a,k))

Only two independent functions!

Parametrized approach for perturbations:

Parametrized modified gravity

Forecasts for Stage-IV : Euclid, DESI, SKA1, SKA2, only GC and WL

SC, Kunz, Martinelli, Pettorino, Phys.Dark Univ. 18 1703.01271

  • Study more general case of free \(\mu\), \(\eta\) functions at each bin
  • Non-linearities crucial for constraints
  • Z-PCA decorrelation
  • Constraints on \(\mu\), \(\eta\) of O(10%)
  • For late-time and early-time scenario:
    Constraints on \(\mu\), \(\eta\) of O(3%)
  • When combining GC+WL+Planck priors

Vera Rubin LSST

Radio x Optical Cosmology

SC, Carucci, Pettorino et al (2022) 2210.05705

  • WL is better at measuring \(\Sigma\) (40% relative error)
  • GC is better at measuring \(\mu\) (20% relative error)
  • SKAO-all-probes constrains at 3-5% relative error
  • At Planck best fits
  • DESI(GCsp)xSKAO(IM) helps in \(h, \sigma_8\) but not in MG parameters
  • Combination of SKAO + one Stage-IV probe is as good as two Stage-IV
  • Different noise and systematics -> break degeneracies

Take Home message:

We need to test Gravity!

We have too many models!

We have too few simulations!

For generic parametrizations we have even less tools!

The tools we have are still relatively slow!

machine Learning and variational methods

  • In era of Big Data (billions of raw data points) and hundreds of possible models and simulations:
    • Important to be as computationally efficient as possible
       
  • Likelihood codes for Euclid 2-3s per evaluation, Einstein-Boltzmann codes 1-100 seconds (depending on model -> too slow!!

     
  •  Automatic-Differentiable (AD) codes: Leverage variational methods, such as Hamilton MC, AD-Variational Inference, Exact Fisher and beyond

Campagne, Lanusse, Zuntz, SC, et al, 2302.05163

Time-ordered Provable ComputationsPro

TOPO-COBAYA: https://github.com/santiagocasas/topo-cobaya

  • Using hash functions and Merkle trees: Proof that a computation has been performed on a given code!
  • Opens possibilities for new blinding methods!!
  • Stay tuned for a release this week! (hopefully)

Text

Conclusions

  • \(\Lambda\)CDM paradigm still best fit to observations, but tensions, unknowns and discrepancies start to show cracks in the model.
  • Several avenues of research important: Modified Gravity, cosmological Neutrinos, Early-Late time interaction.
  • Stage-IV surveys, infrarred, optical and radio will improve error bars by one order of magnitude.
  • Theoretical modelling (especially at non-linear scales) has to keep up with accuracy.
     
  • Big Data challenge to be resolved with ML and AI
  • Unknown unknowns awaiting for us in the data !

Merci!!

BACKUP

Modified Gravity and Dark Energy

  • Add a scalar degree of freedom to the Einstein-Hilbert action
  • (Non-)Minimal coupling, Kinetic terms

Classifying by screening

  • Modified Gravity theories should recover GR at small scales, especially in dense regions, screening needed!

Brax, SC, Desmond, Elder 2201.10817Universe 8 (2021), Review: Testing Screened Modified Gravity

G_{\rm eff}=\left(1+ \frac{2\beta^2(\phi_0)}{Z(\phi_0)}e^{-m(\phi_0)r}\right) G_N
  • Perturbations of \(\phi\) and matter coupled in Jordan frame -> Yukawa-like fifth forces:

Different types of screening:

  • Chameleon: The mass \(m(\phi_0)\) increases sharply inside matter
  • Damour-Polyakov: The coupling \(\beta(\phi_0)\) vanishes inside matter
  • K-mouflage and Vainshtein: \(Z(\phi_0) \gg 1\)

 

Frusciante, Pace, Cardone, SC et al, Euclid: Constraining linearly scale-independent modifications of
gravity with the spectroscopic and photometric primary probes, 2306.12368

Text

SC et al, Euclid: Constraints on f(R) cosmologies from the spectroscopic and photometric primary probes, 2306.11053

f(R) Hu-Sawicki model

\newcommand{\sg}{\ensuremath{\sigma_{8}}} \newcommand{\de}{\mathrm{d}} S = \frac{c^4}{16\pi G} \int{\de^4 x \sqrt{-g} \left[R+f(R)\right]}
-k^2\Psi =\frac{4\pi\,G}{c^4} \,a^2\mu\bar\rho\Delta\,

Modification of the Einstein-Hilbert action

-k^2\left(\Phi+\Psi\right) = \frac{8\pi\,G}{c^4}\,a^2 \Sigma \bar\rho\Delta

Induces changes in the gravitational potentials *

\mu(a,k) = \frac{1}{1+f_R(a)}\frac {1+4k^2a^{-2}m_{f_R}^{-2}(a) }{1+3k^2a^{-2}m_{f_R}^{-2}(a)}

Scale-dependent growth of matter perturbations

Small changes in lensing potential

\Sigma(a)=\frac{1}{1+f_{R}(a)}\,

*for negligible matter anisotropic stress

Free parameter: \(f_{R0}\)

f(R) = - 6 \Omega_{\rm DE} H_0^2 + |f_{R0}| \frac{\bar R_0^2}{R}\,

\(\lambda_C =32 \rm{Mpc}\sqrt{|f_{R0}|/10^{-4}}\)

"Fifth-force" scale for cosmological densities

Hu, Sawicki (2007)

Text

f(R) Hu-Sawicki model

Codes used: for background and scale-dependent linear perturbations: MGCAMB and EFTCAMB

Non-linear matter power spectrum:

Winther et al (2019) fitting formula

Scale-dependent growth, change in forecasting pipeline

Current Euclid KP-JC6-SP paper in preparation (ledy by Kazuya), investigating biasing by Emulators/ReACT compared to simulations

SC et al, Euclid: Constraints on f(R) cosmologies from the spectroscopic and photometric primary probes, 2306.11053

Text

f(R) Hu-Sawicki model

 \(\sigma_{\log f_{R0}}=0.05\) (1%)

Current cosmological limits ~approx:

\( |f_{R0}|<10^{-6}\)

 

Full probe combination, optimistic Euclid constraints:

\(f_{R0}=(5.0^{+ 0.58}_{-0.52} \times 10^{-6})\)

Paper also contains impact of:

  • Non-linear scales
  • Cross-correlations
  • Pessimistic settings
  • LCDM-limit (numerical)

SC et al, Euclid: Constraints on f(R) cosmologies from the spectroscopic and photometric primary probes, 2306.11053

Text

f(R) Hu-Sawicki model

Euclid preparation: Simulations and nonlinearities beyond ΛCDM
 Constraints on f (R) models from the photometric primary probes, Kazuya, SC, Pamuk, Bose, et al, (in prep.)

  • What happens if we go to MCMC, can we trust our modelling?
  • Not only fitting formulae, but many emulators available in the community
  • Disagreements above the predicted Euclid error bars
  • Baryonic modelling still unsufficient (and too degenerate) for full-analysis

EUCLID PRELIMINARY

Vera Rubin LSST

Square kilometer array (SKAO)

  • Modelling is very analogous to GCsp, with brightness temperature on top and different biases
  • GCsp-IM Cross-correlation in overlapping bins
  • DESI : Two galaxy samples
  • SKAO: HI Galaxies and 21cm-IM

\(P^{\rm IM}(z,k) = \bar{T}_{IM}(z)^2 \rm{AP}(z) K_{\rm rsd}^2(z, \mu; b_{\rm HI}) \)
\(FoG(z,k,\mu_\theta) \\ \times P_{\delta\delta,dw}(z,k)  \)

\( K_{\rm rsd}(z, \mu; b_{\rm HI}) = [b_{\rm HI}(z)^2+f(z)\mu^2] \)

\( b_{\rm HI}(z) = 0.3(1+z) + 0.6 \)

\( \bar{T}_{\mathrm{IM}}(z)= 189h \frac{(1+z)^2 H_0}{H(z)}\Omega_{HI}(z) \,\,{\rm mK} \)

\(\Omega_{HI}  = 4(1+z)^{0.6} \times 10^{-4} \)

Carucci et al (2020) 2006.05996

Jolicoeur et al (2020) 2009.06197

\(P^{{\rm IM} \times \rm{g}}(z,k) = \bar{T}_{\rm IM}(z) {\rm AP} (z) r_{\rm IM,opt}  K_{\rm rsd}(z, \mu; b_{\rm HI}) \)
\( \times K_{\rm rsd}(z, \mu; b_{\rm g}) FoG(z,k,\mu_\theta) P_{\delta\delta,dw}(z,k) \)

\( \times \exp[-\frac{1}{2} k^2 \mu^2 (\sigma_{\rm IM}(z)^2+\sigma_{\rm sp}(z)^2)]  \)

SC, Carucci, Pettorino et al (2022) 2210.05705

Brightness temperature of 21cm emission line

Fraction of neutral hydrogen in the Universe

Classifying by screening

Screening mechanisms can be characterized by the inequality:

\nabla^k \Phi_N \gtrsim C
  • Chameleon: \(k=0\) (surface N. potential is large)
  • K-mouflage: \(k=1\) (N. acceleration is large)
  • Vainshtein: \(k=2\) (curvature is large)

 

  • \( f(R) \) Hu-Sawicki  (see later)
  • \(k\)-essence + univ. coupling
  • nDGP (3+1)d brane embedded in 5d

 

For DE applications and under some assumptions:

  • Chameleon screens everything above a certain potential threshold
  • K-mouflage does not screen galaxy clusters
  • Vainshtein screens all structures that turn non-linear

Brax, SC, Desmond, Elder 2201.10817Universe 8 (2021), Review: Testing Screened Modified Gravity

spectroscopic probe: Full Shape

  • DESI full shape forecasts for w0, wa
  • BGS and ELG
  • As a function of k_max

other models (To Be tested) with STAGE-IV

SC, Rubio, Pauly et al (2017) 1712.04956

Higgs-Dilaton inflation: early-late Universe connection

Model-independent anisotropic-stress \(\eta\)

Amendola, Pinho, SC 1805.00027

SC, Amendola, Baldi, Pettorino et al 1508.07208

Coupled Quintessence: DM-DE

Surviving Horndeski EFT

Frusciante, Peirone, SC, Lima, 1810.10521, Phys.Rev.D 99

Text

Growing Neutrino Quintessence

SC, Pettorino, Wetterich 1608.02358

Linder-Gamma and nDGP with baryons and WL

Tsedrik, Bose, Carrilho, Pourtsidou,S.
Pamuk, Casas, Lesgourgues, 2404.11508

Text

Scale-independent Modifications of GR

Forecasts for:

  • Jordan-Brans-Dicke  (no-screening)
  • nDGP (5D brane model)
  • k-Mouflage
  • We work mostly in QSA MGCAMB or hiclass and non-linear modelling: Halo model or fits to simulations

Fruciante, Pace, Cardone, SC et al, Euclid: Constraining linearly scale-independent modifications of
gravity with the spectroscopic and photometric primary probes, 2306.12368

Current cosmo bounds \(\omega_{BD} \gtrapprox 1000 \), GR: \(\omega_{BD} \rightarrow \infty \)

\(r_c = G_5 / 2G_N \, , \Omega_{rc} \equiv c^2 / (4 r_c^2 H_0^2 ) \)

Current cosmo bounds \(\Omega_{rc} \lessapprox 0.27 \), GR: \(r_{c} \rightarrow \infty \)

Vary just \(\epsilon_{2,0}\) which in the limit \(\epsilon_{2,0} \rightarrow 0 \) turns the Kinetic term into a cosmological constant

Current cosmo bounds \( −0.04 \lessapprox \epsilon_{2,0} \lessapprox 0\)

Perform forecasts for limits close-to and far-from LCDM

Text

Scale-independent Modifications of GR

Example of result for JBD \(\sigma(\log \omega_{BD}) \):

(other results see paper)

Fruciante, Pace, Cardone, SC et al, Euclid: Constraining linearly scale-independent modifications of
gravity with the spectroscopic and photometric primary probes, 2306.12368

 Full Euclid:

  • JBD1: \(\omega_{BD} = 800 ^{+200}_{-160}\)
  • JBD1: \(\omega_{BD} = 2500 ^{+1070}_{-750}\)

Planck 2018 Cosmological Results (1807.06209)

Planck 2018 measurements

SPT and ACT review: Staggs, Dunkley, Page (2018)

  • Data in Temperature and Polarization agree well with a \(\Lambda\)CDM model
  • Some 1\(\sigma\) anomalies have been reported, but they tend to go away, after accounting for i.e. look-elsewhere-effects

CMB: A (Gaussian) Success story

Parametrized modified gravity

  • Using Planck satellite data in 2015 and 2018, constraints were obtained on these two functions \(\mu\) and \(\eta\).
  • Late-time parametrization: dependent on Dark Energy fraction

Planck 2018 results VI, arXiv:1807.06209

Planck 2015 results XIV, arXiv:1502.01590

Planck alone relatively unconstrained:  100-500% errors

Cosmic Microwave Background

Planck 2018 CMB Temperature map (Commander) .  wiki.cosmos.esa.int/planck-legacy-archive/index.php/CMB_maps

What happened in between, if in its infancy it was a fairly Gaussian, linearly perturbed, homogenous and isotropic Universe?

the road ahead of horndeski

The "surviving Horndeski" Lagrangian:

In the EFT formalism, FLRW, linear and
(unitary gauge time \(\rightarrow \phi\) ) :

Parametrize free functions and check for stability in solutions

We have shown that certain classes of models will not be distinguishable from LCDM, even with future surveys,  at 1\(\sigma\), while others will be measured with 10%-60% precision in their parameters

Frusciante, Peirone, SC, Lima, 1810.10521, Phys.Rev.D 99

photometric primary probe

Directly constrains MG function \(\Sigma\) through Weyl potential

-k^2(\Phi(a,k)+\Psi(a,k)) \equiv 8\pi G a^2 \Sigma(a,k)\rho(a)\delta(a,k)
P_{\delta \delta} \rightarrow \Sigma^2 P_{m}

In this 2-point correlation function we can see geometric features that are directly related to the expansion history of the Universe

Credits: Tobias Liaudat, CosmoStat

Euclid Shape Pipeline

Credits: Rodlophe Cledassou, CNES

Euclid

Big bang nucleosynthesis

doi: 10.1146/annurev.nucl.012809.104521

Age of the Universe

Temperature of the Universe

Cosmic microwave background

  • Planck measurements, essentially cosmic-variance limited in TT
  • Percent precision in cosmological parameters
  • Degeneracies in \(\Omega_k\), \(\Omega_m\) and \(H_0\) broken with BAO and lensing
  • \(H_0 = 67.37 \pm 0.54 \, \textrm{km/s/Mpc}\)

Planck 2018 results. VI. Cosmological parameters https://arxiv.org/abs/1807.06209

https://www.cosmos.esa.int/web/planck

Possible solutions and new directions

 

  • \(\Lambda\) ?
  • Inflation ?
     
  • \(m_{\nu}\) ?
     
  • LSS  ?

     
  • Big data?

Outline of working fields

  • Coupled Quintessence
  • Higgs-Dilaton
  • Modified Gravity
  • Horndeski/EFToDE
     
  • EFToLSS
  • Emulators
     
  • Machine Learning
  • Variational inference
  • Stage-IV surveys
    Radio and Optical

Galaxy Clustering and Cosmic Shear

Weak gravitational lensing

Galaxy Clustering

Orientation and ellipticities

Angles and redshifts

Supernovae Type Ia and Local H0

  • In general: confidence on the distance ladder
  • Concerns on calibration, anchors dust or
    metallicity, have basically
    faded out
  • Riess et al 2022*:
    \(H_0 = 73.30 \pm 1.04 \, \textrm{km/s/Mpc}\)

    using Cepheids and
    high-z SNIa

* The Astrophysical Journal Letters, 934:L7 (52pp), 2022 July 20

Neutrinos Masivos en Cosmologia

Neutrinos masivos: Free streaming

CMB angular spectrum and matter power spectrum are both dependent on neutrino mass, N_eff and ordering

Linear Perturbations

Vlasov-Poisson system is a set of diff.eqn. in which all matter-radiation species are coupled

Slides by: Dennis Linde

https://www.pablocarlosbudassi.com/2021/02/the-infographic-and-artistic-work-named.html

f(R) Hu-Sawicki model

Text

Modification of the Einstein-Hilbert action

\newcommand{\sg}{\ensuremath{\sigma_{8}}} \newcommand{\de}{\mathrm{d}} S = \frac{c^4}{16\pi G} \int{\de^4 x \sqrt{-g} \left[R+f(R)\right]}

Induces changes in the gravitational potentials *

*for negligible matter anisotropic stress

-k^2\Psi =\frac{4\pi\,G}{c^4} \,a^2\mu\bar\rho\Delta\,
-k^2\left(\Phi+\Psi\right) = \frac{8\pi\,G}{c^4}\,a^2 \Sigma \bar\rho\Delta

Scale-dependent growth of matter perturbations

Small changes in lensing potential

\mu(a,k) = \frac{1}{1+f_R(a)}\frac {1+4k^2a^{-2}m_{f_R}^{-2}(a) }{1+3k^2a^{-2}m_{f_R}^{-2}(a)}
\Sigma(a)=\frac{1}{1+f_{R}(a)}\,

Free parameter: \(f_{R0}\)

f(R) = - 6 \Omega_{\rm DE} H_0^2 + |f_{R0}| \frac{\bar R_0^2}{R}\,

Hu, Sawicki (2007)

"Fifth-force" scale for cosmological densities

\(\lambda_C =32 \rm{Mpc}\sqrt{|f_{R0}|/10^{-4}}\)

Euclid: Casas et al (2022) in preparation

f(R) Hu-Sawicki model

Text

Euclid: Casas et al (2022) in preparation

Codes used: for background and scale-dependent linear perturbations: MGCAMB and EFTCAMB

For non-linear power spectrum:

Winther et al (2019) fitting formula

Ghent Seminar

By Santiago Casas

Ghent Seminar

Cosmology Seminar

  • 329