Santiago Casas, Dr. rer. nat.

Illuminating the dark sector:

Disentangling Neutrinos and Dark Energy with Euclid & Beyond

 

CNAP Audition

@Institut d'Astrophysique de Paris

  santiagocasas                               www.santicasas.xyz        

2006-2010

B.Sc. Physics

Universidad de Costa Rica

2011-2013

M.Sc. Physics

University of Heidelberg

2013-2017

PhD Physics, University of Heidelberg, Institute of Theoretical Physics

2018-2021

Postdoctoral Researcher,

CosmoStat, CEA Paris-Saclay

2024

Postdoctoral Researcher,

Institute of Cosmology and Gravitation, U. Portsmouth

3 Months Internship

Laboratorio Nacional de Luz Sincrotron,

Campinas, Brazil

Tonale Winter School of Cosmology Organizer 2016-2021

Postdoctoral Researcher, Theoretische Teilchenphysik und Kosmologie,

RWTH Aachen U.

2021-2024

Postdoctoral Researcher,
RWTH Aachen,

University of Heidelberg

2025

Mon Parcours

  • MICIT scholarship, Universidad de Costa Rica
  • LNLS Brazil scholarship, U. Campinas
  • STAR prize winner 2019
  • Summa cum laude
  • More than 40 seminar talks
  • 5 invited speakers and plenary talks in last 2 years
  • 91 peer-reviewed articles with the Euclid Collaboration, 2 as first author, 25 papers as lead author.
  • 24 papers outside of collaboration
  • Referee for 5 different journals
  • 2 published reviews in cosmology

Euclidean Timeline

Joined Interscience Taskforce on Forecasting

2015

STAR prize co-winner, plenary talk

2019

2019

2019

Core member, developer and reviewer of Interscience Taskforce on Nonlinearities and Likelihood

2019

Coordinator of pre-launch Key-Project on beyond standard models

2021

2 Key-papers co-lead

2022

Become Euclid Consortium (EC) member, Theory Science Working Group

2014

Joined EC Internal Communication Management

2023

EC Copenhagen: Achieved Builder Status

2023

EC Rome: Plenary Speaker

STAR prize for EC-Communication

2024

Theory-Likelihood package co-lead

2024

2025+
More leadership positions

Theory Work Package Forecasting co-lead

nomination STAR prize PhD

2018

EC
social media manager

2025

CLOE-org Maintainer

Euclid

ESA class M2, 6 years nominal mission

Credits: www.esa.int/Science_Exploration/Space_Science/Euclid, www.euclid-ec.org, ESA/NASA/SpaceX, Euclid Consortium, ThalesAlenia Space

Sun-Earth Lagrange point 2, 1.5 million km from Earth

EC scientist visits Cannes

The EC fingertip galaxy, credits: Lisa Pettibone

The instruments

Launched 1st July 2023 with a SpaceX Falcon9 rocket

More than ~2500 members

Euclid Instruments

NISP
Near-Infrared Spectrometer and Photometer

VIS Instrument
Visible Camera

https://www.esa.int/Science_Exploration/Space_Science/Euclid/Euclid_test_images_tease_of_riches_to_come

Galaxy Clustering

Express the excess probabilty of finding another galaxy as a function of scale

Euclid: Fast two-point correlation function covariance through linear construction, Keihänen et al. (2022)

Measured galaxy power spectrum multipoles from mocks. Pezzotta et al. 2024. Compared to a EFToLSS model.

Weak Lensing

angular space power spectrum of the auto-correlation of galaxy ellipticities

Euclid. I. Overview of the Euclid mission, Euclid collaboration, Mellier et al., 2405.13491.

Weak Lensing

tomography: multiple redshift bins and their cross-correlations

\(z\)

Euclid. I. Overview of the Euclid mission, Euclid collaboration, Mellier et al., 2405.13491

Projet de Recherche

Theory

Observables

Simulations

The four pillars of cosmology

Statistics

Credits: Yun Ling

CONCEPT N-body simulation, in red Dark Matter, in green-blue neutrinos. Ling, Casas, Dakin, in prep.

The Large Scale Structure of the Universe

  • Cosmic web, filaments, halos
  • Dark matter 
    clusters strongly, backbone of galaxy formation
  • Neutrinos 
    free stream below certain scales
  • Theory of gravity and physics predict this cosmic web
  • Need very expensive N-body simulations
  • Cannot compare 
    theory vs. observations point
    by point ->
    need
    summary!

The power spectrum: summary statistics

  • Fourier transform of 2-point correlation function
  • Linear scales predicted by Einstein-Boltzmann codes
  • Intermediate scales predicted by perturbation theory

Archidiacono, Lesgourgues, Casas et al., Euclid preparation - LIV. Sensitivity to neutrino parameters, 2405.06047

 

  • Dark energy and modify gravity can enhance growth
  • Neutrino suppresses growth
  • Baryonic feedback complicates small scales
  • The power spectrum can be obtained through Galaxy Clustering and Weak Lensing (Euclid probes)
  • Non-linear scales -> expensive simulations, Machine Learning emulators

Likelihoods: Or how to test a model against data

\color{green}{P(\theta|x)} = \frac{\color{darkblue}{L(x | \theta)} \color{orange}{p(\theta)}}{\color{black}{p(x)}}

Bayes Theorem:

\mathcal{L} \equiv -2 \ln L (\mathbf{x}|\theta) = (\mathbf{x} - \mathbf{\mu(\theta)})^{T} \mathbf{C}^{-1} (\mathbf{x} - \mathbf{\mu(\theta)})

Gaussian Likelihood:

In 1-dimension

Euclid: lnterscience Taskforce on Non-linearities, Key Paper, Carrilho, Casas, in prep.

  • Likelihood code needs to take all theoretical recipes: Boltzmann solvers, emulators, Correlation functions
  • Take into account systematic errors and nuisance
  • Read data efficiently
  • Compare data against theory!  -> Probability contours
  • Needs to be very fast, for sampling with Monte Carlo Methods
  • Exact derivatives are a plus -> JAX autodiff

simulation

wrong theory

My Public Likelihood Codes

Euclid: Validation of the MontePython forecasting tools, Casas, Lesgourgues, Schöneberg, et al.; 2303.09451 

G_{\mu \nu} + \Lambda g_{\mu \nu} = 8\pi G T_{\mu \nu}
  • What is \(\Lambda\) ?
  • What is CDM ?

Projet de Recherche: Disentangle neutrinos, modified gravity and nonlinearities using Euclid and cross-correlations with other surveys

DESI cosmological results (2024, 2025) -> Not a cosmological constant?

Casas et al., Euclid: Constraints on f(R) cosmologies from the spectroscopic and photometric primary probes, 2306.11053 

Archidiacono, Lesgourgues, Casas et al., Euclid preparation - LIV. Sensitivity to neutrino parameters, 2405.06047

  • Modified gravity -> increases growth, enhances power spectrum
  • Neutrinos -> suppress growth and power
  • Baryonic feedback -> dissipate clustering
  • Strong degeneracy

Future avenues of research

Reproducible research!

Short Term

  • Develop a modern likelihood pipeline that contains emulators for modified gravity, neutrinos and baryonic physics
  • Lead one of the Euclid Data Release 1 Key Project papers on modified gravity and dark energy
  • Thereby helping to understand current cosmological tensions

Medium term

  • Develop cross-correlation likelihoods for N-point statistics with different surveys such as SPT and CMB-Stage-IV (S. Galli, K. Benabed at IAP), 21cm Intensity Mapping with SKAO and Dark/Standard Sirens with Gravitational Waves using Einstein Telescope and LISA (French involvement also at IAP)
  • Make the likelihood pipeline fully automatically-differentiable
  • Investigate the interaction of baryonic physics with modified gravity and neutrinos
  • Go beyond 2-point statistics -> field level with Euclid, DESI and LSST (G. Lavaux, F. Leclerq at IAP)

Longer term

First forecast for MG using Radio x Optical: Constraining gravity with synergies between radio and optical cosmological surveys, Casas et al (2022), Phys.Dark.Univ. 2210.05705

Tâches de Service

Type and Nom du SNO : ANO 2-4, Euclid Survey
Nom de la tâche : Maintenance, Optimisation et Développement de CLOE
Laboratoire et OSU: Institut d'Astrophysique de Paris
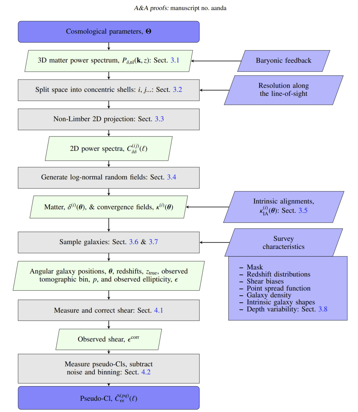
  • Euclid will revolutionize cosmology in the next decade --> to exploit these data, robust statistical and inference tools are required
  • CLOE (Cosmological Likelihood for Observables in Euclid) is at the heart of this effort
  • CLOE is one of the most complex likelihood codes in cosmology, integrating Einstein-Boltzmann solvers, nonlinear modeling, Bayesian statistics, efficient numerical solvers, and high-dimensional parameter sampling, while handling vast datasets and observational systematics

Tâches de Service

  • Facilitating community access and customization of CLOE
    • Managing, reviewing, resolving pull requests
    • Resolving conflicts between new contributions and functionality
    • User support via GitHub issue tracking, smooth transition for researchers
    • Develop interactive tutorials and Jupyter notebooks
    • Assisting installation on HPC clusters and ensuring architecture compatibility

Two main areas:

  • Ensuring long-term stability and optimization of CLOE
    • Developing and maintaining test suites continuous integration
    • Performing validation tests, verifying results remain consistent
    • Running profiling tests, identifying bottlenecks, improving efficiency
    • Updating CLOE to the latest versions of scientific libraries (NumPy, SciPy, Matplotlib)
    • Implementing JAX-autodifferentiability, making CLOE cutting-edge in the next decade

Tâches de Service

  • Euclid Consortium has committed to deliver a specific Figure of Merit to the European Space Agency.
  • The likelihood code directly impacts this metric.
  • By ensuring the optimization and maintenance of CLOE, I contribute directly to Euclid's obligations to ESA.
  • These efforts maximize CLOE's impact
  • Planck's Likelihood Plik was also developed at IAP (notably Karim Benabed et al.) -> one of the most downloaded codes in cosmology
  • Transition to JAX-based codes also for the SPT mission (Silvia Galli and co. at IAP)
  • At long-term, implementing field-level and Simulation Based Inference in a CLOE-compatible way (Guilhem Lavaux, Florent Leclerq and others at IAP)

Euclid. I. Overview of the Euclid mission, Euclid collaboration, Mellier et al., 2405.13491.

Enseignement

Mes expériences

  •   J'ai exercé une année en tant que Maître de Conférences á l'Université de Costa Rica
  •   J'ai accompli 360 heures de tutorat sur 12 semestres aux universités d'Heidelberg et d'Aix-La-Chapelle
  •   J'ai enseigné la Mécanique Classique, l'Électrodynamique, la Relativité Générale et la Cosmologie
  •  J'ai donné de cours de Python pour physiciens et astronomes
  •  J'ai superviseé 7 étudiants de Master et de Bachelor

Projet d'Enseignement à Sorbonne Université

Licence de Physique

  • Physique numérique
  • Mécanique et Relativité
  • Aprendissage automatique
  • Physique expérimentale

Master 1 - Paris Physics Master

  •   Numerical Methods for Physics
  •   Astrophysics and Cosmology

Objectifs

  •   Transmettre de solides compétences en physique et en calcul numérique
  •   Préparer les étudiants aux enjeux scientifiques des prochaines décennies

    Je pense que mes expériences me permettront d'enseigner aux nouvelles générations l'utilisation de la intelligence artificielle et l'apprentissage automatique en physique et astronomie

Vulgarisation scientifique

  • Je suis passionné par la vulgarisation et la diffusion des connaissances scientifiques
  • J'ai fais de nombreuses interventions : conférences grand public, ateliers pour étudiants, événements scolaires, Nuit de la Science, podcasts, blogs et réseaux sociaux

@euclidconsortium

Conclusions

Merci!

  • Theoretical physicist and cosmologist, data scientist, broad background, deep interests:
    • computational physics, numerical methods, simulations
    • dark energy, dark matter and neutrinos
    • Bayesian statistics, Machine Learning and AI
       
  • Comprehensive and holistic understanding of the Euclid mission
    • 10 years at forefront of Inter-Science-Working-Groups
    • Competitive edge to exploit scientific content of the data and enable physical discoveries
    • CLOE maintainer, developer and expert
    • Extensive experience in supervision of research projects
    • Passion  for teaching about physics and computational methods

Backup slides

Future plans and support for future missions

https://www.skao.int/

  • Other surveys:
    • Many opportunities with SKAO, LOFAR, synergies with Radio and Optical cosmology (CEA, OCA, ENS).
    • 21cm IM, Line intensity mapping
    • CMB-S4 (French involvement)
    • LiteBird, SPT/ACT cross Euclid (k. Benabed, S. Galli at IAP)
    • Gravitational Waves, Bright and Dark Sirens cross Galaxy Clustering (Einstein Telescope, LISA).

First forecast for MG using Radio x Optical: Constraining gravity with synergies between radio and optical cosmological surveys, Casas et al (2022), Phys.Dark.Univ. 2210.05705

The power of combining Euclid + CMB-S4: Euclid preparation. Sensitivity to Neutrino parameters. Archidiacono, Lesgourgues, Casas, Pamuk, et al (2024) 2405.06047

Supervision of students

  • 1 PhD student in Heidelberg:
    • Ana Marta Pinho, gravitational slip
  • 2 internship students at CEA :
    • Senwen Deng, inflation-dark-energy
    • Raphael Baena, GP, OT, PCA, emulators.
  • 5 Master students at RWTH Aachen (12 months projects each) :
    • Sabarish V.M. + Sefa Pamuk on MontePython.
    • Dennis Linde + Christian Rademacher: CLASS-1loop.
    • Johanna Schafmeister: accuracy-aware emulators
  • 2 Bachelor students
    • Jakob Kramp: JAX-Variational inference.
    • Yun Ling: Neutrino N-body forecasts.
      Image credits: Yun Ling, Jeppe Dakin,
      CONCEPT code.

Much of this work has been thanks to excellent collaborators and students over the years!

Students moved on to excellent PhDs

Outreach

  • Member of the Euclid Consortium Internal Communications team (ECICOM):
  • EC Education and Public Outreach member (ECEPO):
    • Social media team, manager of @euclidconsortium instagram's account.
  • Funding member of alpha-Cen :  First Central-American association of astrophysics. Webinars, Remote-internships, mentoring, (Virtual) Summer Schools for underrepresented students .
  • Podcasts :  Podcastination (with CosmoStat members)

     
  • Big Think, Starts with a Bang
  • TV-appearances : Teleantioquia y Telemedellin
  • CNRS 80-years anniversary: Euclid stand at Gif-Sur-Yvette.
  • Science Communication Summer School: Alexander von Humboldt Foundation, Berlin, 2021.
    Declaration handed in to German Bundestag, including chapters on inclusion and diversity.

An example of the complexity in analyzing and constraining a cosmological model

Project led by K.Koyama, me and my student Sefa Pamuk

  • Fitting formulae not accurate enough against N-body simulations
  • Emulators / Halo-model strong differences among each other

We can describe general modifications of gravity (of the metric) at the linear perturbation level with 2 functions of scale (\(k\)) and time (\(a\))

Euclid primary observables

Casas, Kunz, Martinelli, Pettorino (2017); Phys.Dark Univ. 18 1703.01271

Updated forecasts for SKAO, LSST(Rubin), DESI : 
Casas
, Carucci, Pettorino,  Camera, Martinelli (2023); Phys. Dark Univ.,  2210.05705;  

\rm{d}s^2 = -(1+2\Psi) \rm{d}t^2 + a^2(t)(1-2\Phi) \rm{d}x^2

Lensing and Clustering

very complimentary probes

What makes Stage-IV galaxy surveys particularly well-suited for testing Modified Gravity?

The matter power spectrum

  • Stage-IV Forecasts for non-linear DE: Casas+1703.01271
  • Relativistic N-body, GNQ: Casas+
    1608.02358 
  • Fitting functions from f(R) Nbody: Winther, Casas+1903.08798 

I have expertise on all the different scales!

Galaxy Clustering and Weak Lensing ultimately probe the matter power spectrum

  • Good agreement between Fisher Matrix (Casas+2023) and MCMCs with MontePython,  synthetic data == model
     
  • Synthetic data is FORGE (MG-Arepo) : observe parameter bias in the estimation.

Weak Lensing, 6years Euclid data,

IST:F validated MontePython likelihoods: github.com/Sefa76/photometric_fofR/ 

Weak Lensing, optimistic, with BCEmu as baryonic-feedback model

  • When baryonic feedback parameters are left free, the situation degrades!
     
  • When estimating lower bound on \(\log f_{R0}\) we quickly hit the prior. Contours are far from Gaussian.
  • Use Bayes ratios to compute prior-independent bounds.
     
  • Large degeneracy in parameter space between cosmology and baryonic parameters, causes projection-effects.
     
  • Used the PROSPECT (Holm+2023) profiling tool to find the profile likelihood: github.com/AarhusCosmology/prospect_public

We included theoretical errors (Audren+2012) to mitigate biases

github.com/Sefa76/photometric_fofR/

B(x_1, x_2) = \frac{b(x_1 \mid d, p)}{b(x_2 \mid d, p)} = \frac{\mathcal{L}(d \mid x_1)}{\mathcal{L}(d \mid x_2)}

Reproducible research!

Forecasting the constraining power of Euclid and other Stage-IV surveys

Code: CosmicFishPie 

S. Casas, M. Martinelli and M. Raveri

S. Pamuk, Sabarish V.M. and friends

github.com/santiagocasas/cosmicfishpie

New pythonic version: I have been main developer on forecasts for:

SKAO (21cm IM), DESI (GCsp), Vera Rubin LSST (3x2photo), Euclid (GCsp+3x2photo), CMB (TT+TE+EE)

F_{\alpha \beta} = \frac{1}{2} f_{\text{sky}} \sum_{\ell} (2\ell + 1) \text{Tr} \left\{ \left[ \mathbf{C}^{\text{fid}}(\ell) \right]^{-1} \left[ \partial_\alpha \mathbf{C}^{\text{th}}(\ell) \big|_{\text{fid}} \right] \left[ \mathbf{C}^{\text{fid}}(\ell) \right]^{-1} \left[ \partial_\beta \mathbf{C}^{\text{th}}(\ell) \big|_{\text{fid}} \right] \right\}

Fisher matrix for the photometric 3x2pt observable in angular space

Recurring Challenge: Modified Gravity in the nonlinear regime

Credit: CoDECS simulations

Simulations of MG are

expensive, need for fitting functions or Emulators.

Baldi (2011);
Casas+(2015) 1508.07208; Winther, Casas+ (2019)1903.08798

Credits: Yun Ling

CONCEPT forecasts,

Ling, Casas, Dakin, in prep.

 

Are neutrino suppressions degenerate with MG enhancements?

Peel+(2018)

What about baryons??

Euclid standard project: f(R)+Mnu
Casas, Parimbelli in prep.

Is the fifth force screened at Halo, Clusters and galaxy level?

G_{\rm eff}=\left(1+ \frac{2\beta^2(\phi_0)}{Z(\phi_0)}e^{-m(\phi_0)r}\right) G_N

Different types of screening:

Chameleon, Damour-Polyakov, K-mouflage, Vainshtein

Review: Testing Screened Modified Gravity; Brax, Casas, Desmond, Elder (2021), 2201.10817.

Can we compute very nonlinear dynamics that backreacts into the Friedmann equation?

Growing Neutrino Quintessence,

Casas, Pettorino, Wetterich (2016), Phys. Rev. D 1608.02358

Ongoing research

\newcommand{\sg}{\ensuremath{\sigma_{8}}} \newcommand{\de}{\mathrm{d}} S = \frac{c^4}{16\pi G} \int{\de^4 x \sqrt{-g} \left[R+f(R)\right]}

Induces changes in the gravitational potentials -> fifth force

Casas et al., Euclid: Constraints on f(R) cosmologies from the spectroscopic and photometric primary probes, 2306.11053 

"Fifth-force" scale for cosmological densities

\(f_{R0}=(5.0^{+ 0.58}_{-0.52} \times 10^{-6})\)

Emulator differences sometimes larger than Euclid error bars

f(R) Hu-Sawicki model

Koyama, Pamuk, Casas et al., Euclid preparation. Simulations and nonlinearities beyond ΛΛCDM. 4. Constraints on f(R)f(R) models from the photometric primary probes, 2409.03524

Archidiacono, Lesgourgues, Casas et al., Euclid preparation - LIV. Sensitivity to neutrino parameters, 2405.06047

Effect of neutrino mass on matter clustering

IST:Forecasting

Recipe, comparison and final Fisher matrices.
One of the few validated Galaxy Clustering + Weak Lensing codes

My main contributions:

Euclid preparation: VII. Forecast validation for Euclid cosmological probes, Blanchard et al. arXiv:1910.09273

Figure of Correlation (FoC), based on:

Casas et al,  (2017) Phys. Dark Univ. 1703.01271

Maintainer of public repository.

Plotting scripts for all the figures.

submission to the arXiv

Vera Rubin LSST

Square kilometer array (SKAO)

  • Modelling is very analogous to GCsp, with brightness temperature on top and different biases
  • GCsp-IM Cross-correlation in overlapping bins
  • DESI : Two galaxy samples
  • SKAO: HI Galaxies and 21cm-IM

\(P^{\rm IM}(z,k) = \bar{T}_{IM}(z)^2 \rm{AP}(z) K_{\rm rsd}^2(z, \mu; b_{\rm HI}) \)
\(FoG(z,k,\mu_\theta) \\ \times P_{\delta\delta,dw}(z,k)  \)

\( K_{\rm rsd}(z, \mu; b_{\rm HI}) = [b_{\rm HI}(z)^2+f(z)\mu^2] \)

\( b_{\rm HI}(z) = 0.3(1+z) + 0.6 \)

\( \bar{T}_{\mathrm{IM}}(z)= 189h \frac{(1+z)^2 H_0}{H(z)}\Omega_{HI}(z) \,\,{\rm mK} \)

\(\Omega_{HI}  = 4(1+z)^{0.6} \times 10^{-4} \)

Carucci et al (2020) 2006.05996

Jolicoeur et al (2020) 2009.06197

\(P^{{\rm IM} \times \rm{g}}(z,k) = \bar{T}_{\rm IM}(z) {\rm AP} (z) r_{\rm IM,opt}  K_{\rm rsd}(z, \mu; b_{\rm HI}) \)
\( \times K_{\rm rsd}(z, \mu; b_{\rm g}) FoG(z,k,\mu_\theta) P_{\delta\delta,dw}(z,k) \)

\( \times \exp[-\frac{1}{2} k^2 \mu^2 (\sigma_{\rm IM}(z)^2+\sigma_{\rm sp}(z)^2)]  \)

SC, Carucci, Pettorino et al (2022) 2210.05705

Brightness temperature of 21cm emission line

Fraction of neutral hydrogen in the Universe

CosmicFish in the beyond-\(\Lambda\)CDM sea

Casas, Rubio, Pauly et al., 1712.04956 

Higgs-Dilaton inflation: early-late Universe connection

Constraints on Hu-Sawicki \( f(R)\)

Casas, Amendola, Baldi, Pettorino et al., 1508.07208

Coupled Quintessence: DM-DE

Surviving Horndeski EFT

Frusciante, Peirone, Casas, Lima, 1810.10521

Modified Gravity with SKA 21cm-IM

Casas, Cardone, Sapone, et al., 2306.11053 

Casas, Carucci, Pettorino et al 2210.05705 

Atayde, Frusciante, Bose, Casas, Li, 2404.11471 

Forecasts for generalized Cubic Galileons

Important: Take decisions, is it worth analyzing with data?

MCMC sampling with MontePython

Are Fishers a good approximation to the posterior?

in presence of neutrinos

  • TTK Aachen group: developed Euclid photometric and spectroscopic likelihoods for MontePython.
  • Validated likelihoods against CosmicFish Fishers, 4 different settings: CAMB/CLASS.

Euclid: Validation of the MontePython forecasting tools, Casas, Lesgourgues, Schöneberg, et al.; 2303.09451 

Euclid: Sensitivity to neutrino parameters , Archidiacono, Lesgourgues, Casas, et al.; 2405.06047

w0waCDM

MCMC sampling with MontePython

First up-to-date MCMC forecasts for Euclid+external probes in presence of neutrinos

  • TTK Aachen group:  developed Euclid photometric and spectroscopic likelihoods for MontePython.
  • Validated likelihoods against CosmicFish Fishers, 4 different settings: CAMB/CLASS.
  • MCMC Metropolis-Hastings forecasts to test neutrino sensitivity + CMB + clusters.
  • Careful consideration of neutrino effects in solvers.

Euclid: Validation of the MontePython forecasting tools, Casas, Lesgourgues, Schöneberg, et al.; 2303.09451 

Euclid: Sensitivity to neutrino parameters , Archidiacono, Lesgourgues, Casas, et al.; 2405.06047

Vera Rubin LSST

Radio x Optical Cosmology

SC, Carucci, Pettorino et al (2022) 2210.05705

  • WL is better at measuring \(\Sigma\) (40% relative error)
  • GC is better at measuring \(\mu\) (20% relative error)
  • SKAO-all-probes constrains at 3-5% relative error
  • At Planck best fits
  • DESI(GCsp)xSKAO(IM) helps in \(h, \sigma_8\) but not in MG parameters
  • Combination of SKAO + one Stage-IV probe is as good as two Stage-IV
  • Different noise and systematics -> break degeneracies

Neutrinos

Neutrinos

Neutrinos

Neutrinos

Neutrinos

DESI

In a nutshell: Measure a geometric scale that was imprinted on LSS at recombination

https://data.desi.lbl.gov/doc/papers/

Another tension we need to explain?

spectroscopic probe: Full Shape

Linde, Moradinezhad, Rademacher, SC, Lesgourgues (2402.09778)

  • Trade-off: larger error bars, more accuracy, less biasing
  • Compared against IST:F model at different scales
  • Many free parameters, good fit to ABACUS simulations

Tensions

Tensions IN \(\Lambda\)CDM

\(H_0\) tension at 5\(\sigma\)

  • Tensions between local and sound-horizon-based measurements

Freedman et al

SH0ES, Riess et al

Planck 2018, VI

Tension with Planck in the
\(\sigma8\) - \(\Omega_m\) plane

Lange et al. arXiv: 2301.08692

  • \( S_8 = \sigma_8 \sqrt{\Omega_{m,0}/0.3} \)
  • So called "lensing is low" problem or S8 problem.
  • At the moment just a discrepancy (no tension) at 2-3 \(\sigma\)
  • Blind comparisons among surveys can rule out usual systematics below z<0.54 (A. Leauthaud et al.)
  • Beyond \(\Lambda\)CDM modelling does not help with current nonlinear analysis

Planck 2018, VI

DES DRY3 arxiv:2207.05766

Tensions IN \(\Lambda\)CDM

Beyond Gaussian, non-Gaussianities

voids, filaments, walls, knots

 

Minkowski functionals

Bispectrum

Approximate Bayesian Compuation

Euclid's 3x2pt data vector:

~12200 entries long

30 ell-bins

13 n_z bins

GG, GL, LL

 

DELFI: Denisty estimation likelihood-free inference

Bayesian NN with Schafmeister

https://github.com/schafmeister/bayesian_nn

Stage V:

Outline of the talk

  • Theoretical physicist and cosmologist, broad background, deep interests:
    • computational physics, numerical methods, statistics, data analysis.
       
  • Comprehensive and holistic understanding of the Euclid mission
    • 10 years at forefront of Inter-Science-Working-Groups
    • Competitive edge to exploit scientific content of the data and enable physical discoveries
    • Extensive experience in supervision of research projects
       
  • My skillset aligns, complements and potentiates fields of research of CosmoStat
    • Can help CosmoStat/DAp lead and be at forefront of analysis of next generation cosmological experiments

Backup slides

Draft of CNAP-audition

By Santiago Casas

Draft of CNAP-audition

Santiago Casas, Cosmologist

  • 291