Santiago Casas, Dr. rer. nat.

Illuminating the dark sector:

Disentangling Neutrinos and Dark Energy with Euclid & Beyond

 

CNAP Audition

@Institut d'Astrophysique de Paris

  santiagocasas                                                          www.santicasas.xyz        

2006-2010

B.Sc. Physics

Universidad de Costa Rica

3 Months Internship

Laboratorio Nacional de Luz Sincrotron,

Campinas, Brazil

Mon Parcours

  • MICIT scholarship, Universidad de Costa Rica
  • LNLS Brazil scholarship, U. Campinas
  • STAR prize winner 2019
  • Summa cum laude
  • More than 40 seminar talks
  • 5 invited speakers and plenary talks in last 2 years
  • 91 peer-reviewed articles with the Euclid Collaboration, 2 as first author, 25 papers as lead author.
  • 24 papers outside of collaboration
  • Referee for 5 different journals
  • 2 published reviews in cosmology

2013-2017

PhD Physics, University of Heidelberg, Institute of Theoretical Physics

2011-2013

M.Sc. Physics

University of Heidelberg,

Institute of Theoretical Physics

2025

Postdoctoral Researcher,
RWTH Aachen,

University of Heidelberg

2024

Postdoctoral Researcher,

Institute of Cosmology and Gravitation, U. Portsmouth

2018-2021

Postdoctoral Researcher,

CosmoStat, CEA Paris-Saclay

Postdoctoral Researcher, TTK,

RWTH Aachen U.

2021-2024

02/21

Euclid

ESA class M2, 6 years nominal mission

Credits: www.esa.int/Science_Exploration/Space_Science/Euclid, www.euclid-ec.org, ESA/NASA/SpaceX, Euclid Consortium, ThalesAlenia Space

Sun-Earth Lagrange point 2, 1.5 million km from Earth

EC scientist visits Cannes

The EC fingertip galaxy, credits: Lisa Pettibone

The instruments

Launched 1st July 2023 with a SpaceX Falcon9 rocket

More than ~2500 members

03/21

Euclidean Timeline

Joined Interscience Taskforce on Forecasting

2015

STAR prize co-winner, plenary talk

2019

2019

2019

Core member, developer and reviewer of Interscience Taskforce on Nonlinearities and Likelihood

2019

Coordinator of pre-launch Key-Project on beyond standard models

2021

2 Key-papers co-lead

2022

Become Euclid Consortium (EC) member, Theory Science Working Group

2014

Joined EC Internal Communication Management

2023

EC Copenhagen: Achieved Builder Status

2023

EC Rome: Plenary Speaker

STAR prize for EC-Communication

2024

Theory-Likelihood package co-lead

2024

2025+
More leadership positions:

Key papers, Science Working Groups, Committees

Theory Work Package Forecasting co-lead

nomination STAR prize PhD

2018

EC
social media manager

2025

CLOE-org Maintainer

04/21

Euclid Instruments

NISP
Near-Infrared Spectrometer and Photometer

VIS Instrument
Visible Camera

https://www.esa.int/Science_Exploration/Space_Science/Euclid/Euclid_test_images_tease_of_riches_to_come

05/21

Galaxy Clustering

Express the excess probabilty of finding another galaxy as a function of scale

Two-point correlation function, excess probability at BAO scale ~100Mpc. Euclid Collaboration, Keihänen et al. (2022)

Fourier transform of the 2pt-corr-func as a function of wavemode compared against theory

Euclid Collaboration, Pezzotta et al. 2024.

Gives us information about matter content and growth of large structures in the Universe

06/21

Weak Lensing

angular space power spectrum of the auto-correlation of galaxy ellipticities

Euclid. I. Overview of the Euclid mission, Euclid collaboration, Mellier et al., 2405.13491.

07/21

Weak Lensing

tomography: multiple redshift bins and their cross-correlations

\(z\)

Euclid. I. Overview of the Euclid mission, Euclid collaboration, Mellier et al., 2405.13491

Give us information about matter content and evolution of the Universe

08/21

Projet de Recherche

Higgs-Dilaton inflation: early-late Universe connection, Casas, Rubio, Pauly et al., 1712.04956 

Casas, Carucci, Pettorino et al 2210.05705,

Synergies between radio 21cm Intensity mapping and optical galaxy surveys

Casas, Amendola, Baldi, Pettorino et al., 1508.07208,

Dark Matter - Dark Energy coupled quintessence

09/21

Theory

Observables

Simulations

The four pillars of cosmology

Statistics

10/21

Credits: Yun Ling

CONCEPT N-body simulation, in red Dark Matter, in green-blue neutrinos. Ling, Casas, Dakin, in prep.

The Large Scale Structure of the Universe

  • Cosmic web, filaments, halos
  • Dark matter 
    clusters strongly, backbone of galaxy formation
  • Neutrinos 
    free stream below certain scales
  • Theory of gravity and physics predict this cosmic web
  • Need very expensive N-body simulations
  • Cannot compare 
    theory vs. observations point by point
    -> need summary!
11/21

The power spectrum: summary statistics

  • Fourier transform of 2-point correlation function
  • Linear scales predicted by Einstein-Boltzmann codes
  • Intermediate scales predicted by perturbation theory

Archidiacono, Lesgourgues, Casas et al., Euclid preparation - LIV. Sensitivity to neutrino parameters, 2405.06047

 

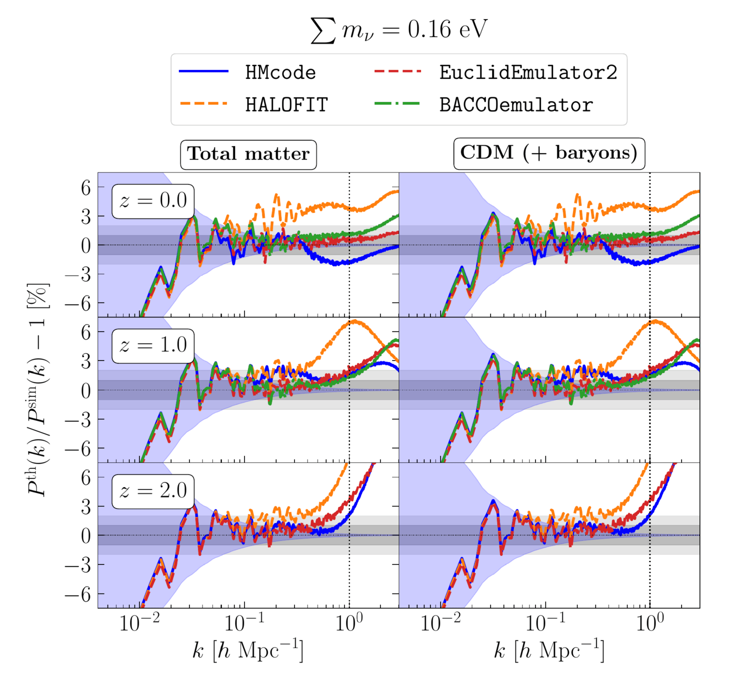
  • Dark energy and modify gravity can enhance growth
  • Neutrino suppresses growth
  • Baryonic feedback complicates small scales
  • The power spectrum can be obtained through Galaxy Clustering and Weak Lensing (Euclid probes)
  • Non-linear scales -> expensive simulations, Machine Learning emulators
  • Emulators have intrinsic errors which can be larger than observational error bars

Ratio of power spectra to standard recipe

12/21

wavevector scale k in h/Mpc

Likelihoods: Or how to test a model against data

\mathcal{L} \equiv -2 \ln L (\mathbf{x}|\theta) = (\mathbf{x} - \mathbf{\mu(\theta)})^{T} \mathbf{C}^{-1} (\mathbf{x} - \mathbf{\mu(\theta)})

Gaussian Likelihood:

In 1-dimension:

Euclid: lnterscience Taskforce on Non-linearities, Key Paper, Carrilho, Casas, in prep.

  • Likelihood code needs to take all theoretical recipes: Boltzmann solvers, emulators, correlation functions, matrix transforms
  • Take into account systematic errors and nuisance parameters
  • Read data efficiently
  • Compare data against theory!  -> Probability contours
  • Needs to be very fast, for sampling with Monte Carlo Methods
  • Exact derivatives accelerate sampling -> JAX autodiff

simulation

wrong theory

In 2-dimensions:

wrong systematics

13/21

My Public Likelihood Codes

Reproducible research!

14/21
G_{\mu \nu} + \Lambda g_{\mu \nu} = 8\pi G T_{\mu \nu}
  • What is \(\Lambda\) ?
  • What is CDM ?

Illuminating the dark sector:

Disentangling Neutrinos and Dark Energy with Euclid & Beyond

DESI cosmological results (2024, 2025) -> Not a cosmological constant?

Casas et al., Euclid: Constraints on f(R) cosmologies from the spectroscopic and photometric primary probes, 2306.11053 

Archidiacono, Lesgourgues, Casas et al., Euclid preparation - LIV. Sensitivity to neutrino parameters, 2405.06047

  • Modified gravity -> increases growth, enhances power spectrum
  • Neutrinos -> suppress growth and power
  • Baryonic feedback -> dissipate clustering
  • Strong degeneracies
  • Hundreds of nuisance parameters
  • Goal: Make a robust detection with Stage-IV surveys

Koyama, Pamuk, Casas et al., Euclid preparation. Constraints on f(R)f(R) models from the photometric primary probes, 2409.03524

15/21

Future avenues of research

Short Term

  • Develop a modern likelihood pipeline that contains emulators for modified gravity, neutrinos and baryonic physics
  • Lead one of the Euclid Data Release 1 Key Project papers on modified gravity and dark energy
  • Thereby helping to understand current cosmological tensions

Medium term

  • Develop cross-correlation likelihoods for N-point statistics with different surveys such as SPT and CMB-Stage-IV (S. Galli, K. Benabed at IAP), 21cm Intensity Mapping with SKAO
  • Make the likelihood pipeline fully automatically-differentiable
  • Investigate the interaction of baryonic physics with modified gravity and neutrinos
  • Go beyond 2-point statistics -> field level with Euclid, DESI and LSST (G. Lavaux, F. Leclerq at IAP)

Longer term

  • Run a fully differentiable and modern cosmological analysis with Stage-IV data in cross-correlated N-point statistics
  • Dark/Standard Sirens with Gravitational Waves and correlations to LSS using Einstein Telescope and LISA (French involvement also at IAP)
  • Develop automatic and agentic AI systems for cosmological discovery: github.com/santiagocasas/clapp

First forecast for MG using Radio x Optical: Constraining gravity with synergies between radio and optical cosmological surveys, Casas et al (2022), Phys.Dark.Univ. 2210.05705

Einstein-Boltzmann Solver : CLASS LLM Agent for Pair Programming:

classclapp.streamlit.app

SKAO: Largest radioastronomy observatory in the world ~2030

 

Einstein Telescope: Large-scale interferometer for Gravitational Waves ~2035

 

16/21

Tâches de Service

Type and Nom du SNO : ANO 2-4, Euclid Survey
Nom de la tâche : Maintenance, Optimisation et Développement de CLOE
Laboratoire et OSU: Institut d'Astrophysique de Paris
  • Euclid will provide unprecedented volumes of data for cosmology in the next decade --> to exploit these data, robust statistical and inference tools are required
     
  • CLOE (Cosmological Likelihood for Observables in Euclid) is at the heart of this effort
  • CLOE is one of the most complex likelihood codes in cosmology, integrating Einstein-Boltzmann solvers, nonlinear modeling, Bayesian statistics, efficient numerical solvers, and high-dimensional parameter sampling, while handling vast datasets and observational systematics
17/21

Tâches de Service

  • Facilitating community access and customization of CLOE
    • Managing, reviewing, resolving pull requests
    • Resolving conflicts between new contributions and functionality
    • User support via GitHub issue tracking, smooth transition for researchers
    • Develop interactive tutorials and Jupyter notebooks
    • Assisting installation on HPC clusters and ensuring architecture compatibility

Two main areas:

  • Ensuring long-term stability and optimization of CLOE
    • Developing and maintaining test suites continuous integration
    • Performing validation tests, verifying results remain consistent
    • Running profiling tests, identifying bottlenecks, improving efficiency
    • Updating CLOE to the latest versions of scientific libraries (NumPy, SciPy, Matplotlib)
    • Implementing JAX-autodifferentiability, making CLOE cutting-edge in the next decade
18/21

Tâches de Service

  • Euclid Consortium has committed to deliver a specific Figure of Merit to the European Space Agency
     
  • The likelihood code directly impacts this metric.
  • By ensuring the optimization and maintenance of CLOE, I contribute directly to Euclid's obligations to ESA.
  • These efforts maximize CLOE's impact
  • Planck's Likelihood Plik was also developed at IAP (notably Karim Benabed et al.) -> one of the most downloaded codes in cosmology
  • Transition to JAX-based codes also for the SPT mission (Silvia Galli and co. at IAP)
  • At long-term, implementing field-level and Simulation Based Inference in a CLOE-compatible way (Guilhem Lavaux, Florent Leclerq and others at IAP)

Forecasted Figure of Merit for the Euclid primary probes: Euclid. I. Overview of the Euclid mission, Euclid collaboration, Mellier et al., 2405.13491.

19/21

Enseignement

Mes expériences

  • Une année en tant que Maître de Conférences à l'Université du Costa Rica
  • 360 heures de tutorat sur 12 semestres aux universités   d'Heidelberg et d'Aix-La-Chapelle
  • La Mécanique Classique, l'Électrodynamique, la Relativité Générale et la Cosmologie
  • Donné des cours de Python pour physiciens et astronomes
  • Supervisé 7 étudiants de Master et de Bachelor

Projet d'Enseignement à Sorbonne Université

En coordination avec Damien Le Borgne, coordinateur de l’enseignement à l’IAP et Benjamin Fuks, coordinateur de la Licence de Physique

Licence de Physique

  • Physique numérique
  • Mécanique et Relativité
  • Aprendissage automatique
  • Physique expérimentale

Master 1 - Paris Physics Master

  •   Numerical Methods for Physics
  •   Astrophysics and Cosmology

Objectifs

  • Transmettre de solides compétences en physique et en calcul numérique
  • Préparer les étudiants aux enjeux scientifiques des prochaines décennies
  • Enseigner aux nouvelles générations l'utilisation de l'intelligence artificielle et l'apprentissage automatique en physique et astronomie

Vulgarisation scientifique

  • J'accorde beaucoup d'importance à la vulgarisation et à la diffusion des connaissances scientifiques
  • J'ai fait de nombreuses interventions : conférences grand public, ateliers pour étudiants, événements scolaires, Nuit de la Science, podcasts, blogs et réseaux sociaux
  • Je m'intéresse particulièrement à l'inclusion et à l'encadrement des étudiants issus de milieux sous-représentés: astro.alphacen.org

@euclidconsortium

20/21

Conclusions

Merci!

Research & Technical Profile

  • Theoretical physicist, cosmologist, data scientist

  • Expertise in computational physics, numerical methods, simulations

  • Deep knowledge of dark energy, dark matter, neutrinos and their interactions

  • Advanced skills in Bayesian statistics, Machine Learning, Artificial Intelligence

Euclid Mission Leadership

  • 10 years at the forefront of key Science Working Groups

  • Comprehensive understanding of Euclid’s science and data

  • Proven record in maximizing scientific return, enabling discoveries

  • CLOE maintainer, developer, and expert with a collaborative, team-player approach

Teaching and Scientific Engagement

  • Extensive experience teaching physics and computational methods at all levels

  • Strong commitment to outreach, science communication, and mentoring

Backup slides

Supervision of students

  • 1 PhD student in Heidelberg:
    • Ana Marta Pinho, gravitational slip
  • 2 internship students at CEA :
    • Senwen Deng, inflation-dark-energy
    • Raphael Baena, GP, OT, PCA, emulators.
  • 5 Master students at RWTH Aachen (12 months projects each) :
    • Sabarish V.M. + Sefa Pamuk on MontePython.
    • Dennis Linde + Christian Rademacher: CLASS-1loop.
    • Johanna Schafmeister: accuracy-aware emulators
  • 2 Bachelor students
    • Jakob Kramp: JAX-Variational inference.
    • Yun Ling: Neutrino N-body forecasts.
      Image credits: Yun Ling, Jeppe Dakin,
      CONCEPT code.

Much of this work has been thanks to excellent collaborators and students over the years!

Students moved on to excellent PhDs

We can describe general modifications of gravity (of the metric) at the linear perturbation level with 2 functions of scale (\(k\)) and time (\(a\))

Euclid primary observables

Casas, Kunz, Martinelli, Pettorino (2017); Phys.Dark Univ. 18 1703.01271

Updated forecasts for SKAO, LSST(Rubin), DESI : 
Casas
, Carucci, Pettorino,  Camera, Martinelli (2023); Phys. Dark Univ.,  2210.05705;  

\rm{d}s^2 = -(1+2\Psi) \rm{d}t^2 + a^2(t)(1-2\Phi) \rm{d}x^2

Lensing and Clustering

very complimentary probes

What makes Stage-IV galaxy surveys particularly well-suited for testing Modified Gravity?

Neutrinos

CosmicFish in the beyond-\(\Lambda\)CDM sea

Casas, Rubio, Pauly et al., 1712.04956 

Higgs-Dilaton inflation: early-late Universe connection

Constraints on Hu-Sawicki \( f(R)\)

Casas, Amendola, Baldi, Pettorino et al., 1508.07208

Coupled Quintessence: DM-DE

Surviving Horndeski EFT

Frusciante, Peirone, Casas, Lima, 1810.10521

Modified Gravity with SKA 21cm-IM

Casas, Cardone, Sapone, et al., 2306.11053 

Casas, Carucci, Pettorino et al 2210.05705 

Atayde, Frusciante, Bose, Casas, Li, 2404.11471 

Forecasts for generalized Cubic Galileons

Important: Take decisions, is it worth analyzing with data?

Vera Rubin LSST

Square kilometer array (SKAO)

  • Modelling is very analogous to GCsp, with brightness temperature on top and different biases
  • GCsp-IM Cross-correlation in overlapping bins
  • DESI : Two galaxy samples
  • SKAO: HI Galaxies and 21cm-IM

\(P^{\rm IM}(z,k) = \bar{T}_{IM}(z)^2 \rm{AP}(z) K_{\rm rsd}^2(z, \mu; b_{\rm HI}) \)
\(FoG(z,k,\mu_\theta) \\ \times P_{\delta\delta,dw}(z,k)  \)

\( K_{\rm rsd}(z, \mu; b_{\rm HI}) = [b_{\rm HI}(z)^2+f(z)\mu^2] \)

\( b_{\rm HI}(z) = 0.3(1+z) + 0.6 \)

\( \bar{T}_{\mathrm{IM}}(z)= 189h \frac{(1+z)^2 H_0}{H(z)}\Omega_{HI}(z) \,\,{\rm mK} \)

\(\Omega_{HI}  = 4(1+z)^{0.6} \times 10^{-4} \)

Carucci et al (2020) 2006.05996

Jolicoeur et al (2020) 2009.06197

\(P^{{\rm IM} \times \rm{g}}(z,k) = \bar{T}_{\rm IM}(z) {\rm AP} (z) r_{\rm IM,opt}  K_{\rm rsd}(z, \mu; b_{\rm HI}) \)
\( \times K_{\rm rsd}(z, \mu; b_{\rm g}) FoG(z,k,\mu_\theta) P_{\delta\delta,dw}(z,k) \)

\( \times \exp[-\frac{1}{2} k^2 \mu^2 (\sigma_{\rm IM}(z)^2+\sigma_{\rm sp}(z)^2)]  \)

SC, Carucci, Pettorino et al (2022) 2210.05705

Brightness temperature of 21cm emission line

Fraction of neutral hydrogen in the Universe

CNAP-audition

By Santiago Casas

CNAP-audition

Santiago Casas, Cosmologist

  • 338