La misión Euclid:

Cartografiando el Universo para entender el misterioso cosmos oscuro

 

 

 

Santiago Casas, Dr. rer. nat.

 

 

 

@santiagocasas

www.santicasas.xyz

Outline

  • La cosmología de concordancia: CMB, SNIa y LSS
  • Cómo llegamos a LCDM?
  • Tensiones en los datos (Hubble y DE)
  • Clustering de galaxias y lentes gravitacionales débiles
  • La misión Euclid en concreto
  • Pruebas futuras y correlaciones

 

Algunas slides están en inglés, disculpas por adelantado

https://www.pablocarlosbudassi.com/2021/02/the-infographic-and-artistic-work-named.html

Vista logarítmica del Universo

Estrellas cercanas y la Vía Láctea

Grupo Local y estructuras de gran escala

https://medium.com/starts-with-a-bang

El fondo cósmico de microondas: "Una foto del Big Bang"

 

Planck 2018 CMB Temperature map (Commander) .  wiki.cosmos.esa.int/planck-legacy-archive/index.php/CMB_maps

Grandes Estructuras no-lineales: Materia Oscura y Bariones

Illustris Simulation: www.nature.com/articles/nature13316

Text

La evolución del Universo

  • Inflación
  • Bariogénesis
  • Recombinación
  • Hidrógeno Neutral
  • Estructuras de Materia Oscura
  • Galaxias
  • Expansión acelerada: Energía Oscura

 

Text

Qué sabemos hasta ahora?

Text

  • La composición del Universo al inicio:
  • ~60% Materia Oscura (DM)
  • ~ 12% Atomos normales (bariones)
  • ~ 10% Luz (fotones)
  • 10% Neutrinos
  • La composición del Universo ahora:
  • ~70% Energía Oscura (DE)
  • ~ 25% Materia Oscura
  • ~ 5% Bariones

Santiago Casas @ NineHubCR, 17.04.21

La composición del Universo

  • Del 5% de materia normal en el Universo hoy en día:
  • 99% es Hídrogeno y Helio creados en el Big Bang
  • La mayoría (>70%) de los átomos están en el espacio intergaláctico, no en estrellas o planetas
  • Elementos pesados fueron creados en supernovas

 

Text

Santiago Casas @ NineHubCR, 17.04.21

La composición del Universo

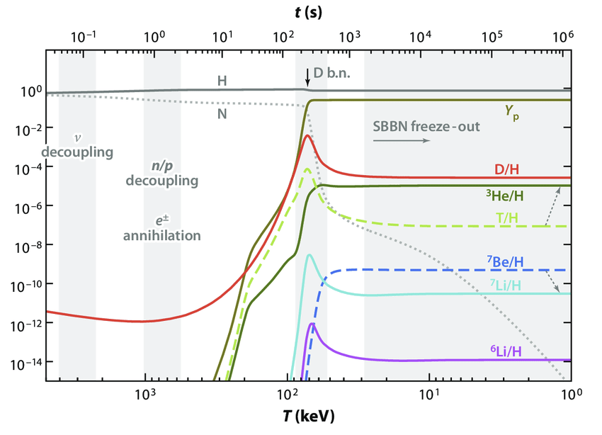
  • Como sabemos que la materia oscura no está hecha de bariones?
  • Física nuclear de partículas: Big Bang Nucleosynthesis
  • Sistema de O.D.E acopladas  que podemos resolver sabiendo las constantes fundamentales hoy día.

 

Text

Problema del Litio?

Los primeros 3min del Universo

Santiago Casas @ NineHubCR, 17.04.21

Fondo Cósmico de Microondas

Confirmado con observaciones del fondo de luz microondas emitidas ~380.000 años después del Big Bang

Text

Vemos su polarización

Vemos su temperatura

Con fluctuaciones de 1 parte en 100.000 sobre (2.7 Kelvin)

Santiago Casas @ NineHubCR, 17.04.21

Los inicios históricos de la cosmología

  • Einstein (1915) desarrolla la Teoría General de la Relatividad (TRG).
  • El universo se creía estático y eterno (Einstein introduce la constante cosmológica Lambda)
  • Se descubre que muchas nebulosas en realidad son galaxias muy lejanas
  • Hubble (con datos de Leavitt y Slipher) descubren que las galaxias se alejan
  • Lemaître desarrolla teoría del Big Bang a partir de una solución exacta a la TGR.
G_{\mu \nu} + \Lambda g_{\mu \nu} = 8\pi G T_{\mu \nu}

Henrietta Swan Leavitt

Text

Santiago Casas @ NineHubCR, 17.04.21

Las Ecuaciones de Einstein

G_{\mu \nu} + \Lambda g_{\mu \nu} = 8\pi G T_{\mu \nu}

Geometría y curvatura del espacio-tiempo

(funciones y derivadas de la métrica)

 

Contenido de energía y masa (momento) del Universo

 

métrica

Constante cosmológica

(energía del vacío?)

Text

Santiago Casas @ NineHubCR, 17.04.21

La escalera de distancias

  • Leavitt mide la distancia a las Cefeidas usando periodicidades.
     
  • Slipher usa espectroscopía para medir  redshifts y velocidades de galaxias.
     
  • Hubble asocia velocidades a distancias para crear "la ley de Hubble"

 

v = H \cdot d

Text

Santiago Casas @ NineHubCR, 17.04.21

Big Bang Theory y las ecuaciones de  Friedmann

  • Lemaître extrapola la expansión hacia atrás y propone un "hot Big Bang".
  • Friedmann, Robertson y Walker desarrollan solución exacta a la TRG de Einstein.
  • Métrica conocida como FLRW, es máximamente simétrica, homógenea e isotrópica.
     
  • La llamada ecuación de Friedmann relaciona el parámetro de Hubble con los contenidos del Universo.
  • Así sabemos su composición al medir su geometría.

Text

Santiago Casas @ NineHubCR, 17.04.21

El descubrimiento del CMB

  • Penzias and Wilson descubren en 1964 accidentalmente radiación de todas las direcciones del cielo.
  • Había sido predicha por Gamow et al. en los 50's.
  • Ganan en 1978 el premio Nobel.
  • Confirma la teoría del "hot Big Bang" y marca el inicio de la cosmología como ciencia moderna.

Text

Santiago Casas @ NineHubCR, 17.04.21

El CMB y parámetros cosmológicos

  • Espectro de potencias de fluctuaciones
  • \(\ell\) decomponer parches del cielo en multipolos.
  • Montañas y valles del espectro son muy sensibles a los componentes del Universo

Text

Santiago Casas @ NineHubCR, 17.04.21

Parámetro de Hubble

  • Hubble mismo mide : 500 km/s/Mpc
  • Difícil determinar distancias y velocidades de galaxias lejanas.
  • Actualmente la medición en CMB está en tensión con las pruebas locales

Text

Santiago Casas @ NineHubCR, 17.04.21

Tensiones en el parámetro de Hubble

  • Tensiones en estimación del parámetro \(H_0\)
  • Mediciones de CMB y universo temprano:  \(67 \, \rm{km}/\rm{s}  \, \rm{Mpc}^{-1}\)
  • Mediciones de universo local y clustering de galaxias:  \(72 \, \rm{km}/\rm{s}  \, \rm{Mpc}^{-1}\)

Text

Santiago Casas @ NineHubCR, 17.04.21

Tensiones en el parámetro de Hubble

Text

Santiago Casas @ NineHubCR, 17.04.21

Supernovae Tipo Ia

  • 1998 dos equipos miden Supernovae Type Ia.
  • En una curva de velocidades vs. distancia se puede determinar la ley de Hubble.
  • Medición no calza con las creencias del momento, explicación: Universo con curvatura negativa o "Energía Oscura".
  • 2011: Perlmutter, Schmidt, Riess ganan premio Nobel por descubrimiento de la expansión acelerada.

Text

Santiago Casas @ NineHubCR, 17.04.21

Cosmología de Concordancia


Modelo cosmológico de concordancia juntando todas estas observaciones:

  • Universo es plano.
  • Materia oscura y visible representa sólo un 30% de la masa-energía.
  • El Universo se expande aceleradamente.

Text

Santiago Casas @ NineHubCR, 17.04.21

Modelo estándar \(\Lambda\)CDM

  • Modelo estándar del Universo: \(\Lambda\)CDM: Lambda-Cold-Dark-Matter
  • \(\Lambda\)CDM mejor fit a las observaciones actuales.
  • Modelo predictivo con pocos parámetros.
  • Lentes
  • CMB
  • Cúmulos
  • Supernovae
  • Clustering

Cosmología de Concordancia:

90 años después ->

Text

Planck 2015 measurements

La evolución del Universo

Text

Santiago Casas @ NineHubCR, 17.04.21

Como estudiamos la estructura a gran escala?

  • En LSS (Large Scale Structure) cada galaxia es sólo un vector, con velocidad, posición y orientación.

     
  • Con telescopios actuales, podemos ver cientos o miles de millones de galaxias a miles de millones de años luz.

Text

https://www.desi.lbl.gov/

Como estudiamos la estructura a gran escala?

Dark Energy Spectroscopic Instrument

Últimos resultados:

Abril 2024

 

5.7 millones de galaxias y quasares en esta imagen!

https://www.desi.lbl.gov/

Tensiones en los nuevos datos

Dark Energy Spectroscopic Instrument

Energía oscura en la parametrización CPL:

(w0-wa)

Ecuación de estado y su primera derivada

(Taylor)

Se distribuyen las galaxias aleatoriamente en el cielo?

https://www.esa.int/Science_Exploration/Space_Science/Euclid/Euclid_test_images_tease_of_riches_to_come

No, hay una función de correlación de dos puntos entre ellas!

https://www.esa.int/Science_Exploration/Space_Science/Euclid/Euclid_test_images_tease_of_riches_to_come

Expresa la probabilidad de encontrar una galaxia a una cierta distancia de la otra

Nos indica que si no es "random", hay algún mecanismo físico detrás

No, hay una función de correlación de dos puntos entre ellas!

https://www.esa.int/Science_Exploration/Space_Science/Euclid/Euclid_test_images_tease_of_riches_to_come

Santiago Casas @ NineHubCR, 17.04.21

Text

Función de correlación con DESI

Text

De las distancias cosmológicas como función del redshift, se puede inferir la expansión del Universo

Pico de Oscilaciones Acústicas Bariónicas

Las galaxias también tienen orientación y elipticidad

https://www.esa.int/Science_Exploration/Space_Science/Euclid/Euclid_test_images_tease_of_riches_to_come

La orientación y elipticidad de las galaxias no es aleatoria, está asociada a la cantidad de materia y energía en el Universo

Las galaxias también tienen orientación y elipticidad

Lentes Gravitacionales Débiles

\(z\)

Euclid. I. Overview of the Euclid mission, Euclid collaboration, Mellier et al., 2405.13491

Correlación entre elipticidad y posiciones: 3x2pt

https://www.esa.int/Science_Exploration/Space_Science/Euclid/Euclid_test_images_tease_of_riches_to_come

Lastimosante el universo no es tan sencillo

Estructuras de gran escala

Dark Matter

Baryons

El espectro de potencias del universo

  • Fourier transform of 2-point correlation function
  • Linear scales predicted by Einstein-Boltzmann codes
  • Intermediate scales predicted by perturbation theory

Archidiacono, Lesgourgues, Casas et al., Euclid preparation - LIV. Sensitivity to neutrino parameters, 2405.06047

 

  • Dark energy and modify gravity can enhance growth
  • Neutrino suppresses growth
  • Baryonic feedback complicates small scales
  • The power spectrum can be obtained through Galaxy Clustering and Weak Lensing (Euclid probes)
  • Non-linear scales -> expensive simulations, Machine Learning emulators

El satélite espacial Euclid

El satélite espacial Euclid

ESA class M2 space mission, lanzado 1ero de Julio de 2023 con un cohete SpaceX Falcon9

 

Credits: www.esa.int/Science_Exploration/Space_Science/Euclid, www.euclid-ec.org, ESA/NASA/SpaceX, Euclid Consortium

Localizado en el punto de Lagrange 2, 1.5 millón de km de la tierra

El satélite espacial Euclid

  • Dos instrumentos:
  •  VIS (visible photometer): forma y orientación de ~1000 millones de galaxias!
  •  NISP (near infrared spectrograph): ~20 millones de espectros de galaxia  !
  • 6 años de misión
  • 15 000 grados cuadrados
  •  16 países, ~1500 miembros
  •  ~170 Petabytes de datos

VIS cosmic shear map

https://www.euclid-ec.org/blog/

Euclid preparation: I. The Euclid Wide Survey of ESA, R. Scaramella et al.

VIS cosmic shear map

Imágenes tempranas (astronómicas)

https://www.esa.int/Science_Exploration/Space_Science/Euclid/Euclid_s_first_images_the_dazzling_edge_of_darkness

  • Sólo en esta imagen: 100.000 galaxias, algunas nunca vistas antes.
  • Síguenos en instagram:
    @euclidconsortium

Vera Rubin LSST

Euclid

El campo de visión de Euclid

https://www.esa.int/ESA_Multimedia/Sets/Euclid_First_Images

My Journey with Euclid

Credits: www.esa.int/Science_Exploration/Space_Science/Euclid, www.euclid-ec.org, ESA/NASA/SpaceX, Euclid Consortium

Euclid consortium scientist visits Cannes. Credits: ThalesAlenia Space

Euclid preparation: VII. Forecast validation for Euclid cosmological probes,,Blanchard et al. arXiv:1910.09273

Awardees of the Euclid STAR Prize Team 2019

EC Builder Status achieved 2023

Early Release Observations. ECICOM, ECEPO: Social media manager of instagram: @euclidconsortium

Euclid Launch: 1st July 2023

Large forecasting projects

The Fingertip Galaxy

Vera Rubin LSST

Euclid y sus otros descubrimientos

El campo de galaxias de Q1

https://www.euclid-ec.org/second-anniversary-of-euclid-in-space/

Vera Rubin LSST

Euclid y sus otros descubrimientos

Galaxia Irregular NGC 6822

https://www.esa.int/ESA_Multimedia/Sets/Euclid_First_Images

Vera Rubin LSST

Euclid y sus otros descubrimientos

Lentes gravitacionales fuertes y el Galaxy Zoo!

Citizen science:

www.spacewarps.org

Vera Rubin LSST

Euclid y sus otros descubrimientos

Un anillo de Einstein perfecto!

Vera Rubin LSST

Euclid y sus otros descubrimientos

Un anillo de Einstein perfecto!

En el centro de NGC 6505

Vera Rubin LSST

Euclid y sus otros descubrimientos

Santiago Casas @ NineHubCR, 17.04.21

Text

Other Future Probes

Text

LSST Vera Rubin Observatory in Chile: Weak Lensing

DESI in Arizona: Galaxy Clustering

LiteBird: CMB

LIGO: Gravitational Wave Sirens

5000 robotically controlled optical fibers

Vera Rubin LSST

Square kilometer array (SKAO)

  • SKA Phase 1: SKA1-Low and SKA1-Mid
  • SKA1-Low: 130,000 dipole antennas, 65km max. baseline (Australia)
  • SKA1-Mid: ~200 dishes of ~15m diameter, max. baseline 150km (South Africa)
  • Precursors: ASKAP, MEERKAT, HERA...
     
  • €1.3 Billion, 16 countries, 710 Petabytes, 8 years construction

https://www.skao.int/

Mi trabajo diario en la cosmología

Los diferentes temas de trabajo en cosmología de la colaboración Euclid

Dark Energy & Modified Gravity

The Horndeski Lagrangian

PhD thesis: Non-linear structure formation in models of Dark Energy and Modified Gravity, http://archiv.ub.uni-heidelberg.de/volltextserver/23120/

Beyond Einstein's GR

Scalar-Tensor theories

Effect on LSS

N-Body simulations

CONCEPT: Python and Neutrinos

GADGET2/CoDECS

Credit: Yun Ling, My bachelor student,

Jeppe Dakin (U. Zurich)

Credit: Dr. Marco Baldi, Master thesis co-supervisor

Approximate methods: COLA

ABACUS: Fits for GCspectro with 1loopEFT

Other codes tested:

gevolution

flowpm

GNQ: Growing Neutrino Quintessence (developed in Heidelberg)

Credit: Winther, SC, Koyama, et al (2019)

Credit: SC, Führer, Ayaita, Weber, Wetterich

Credit: Rademacher, Moradinezhad, Lesgourges, SC

FISHER Matrix forecasts

Code: CosmicFish

S.Casas, M.Martinelli and M.Raveri

Soon to be released: Full pythonic version

https://github.com/santiagocasas/cosmicfishpie

Cosmomathica/Fishermathica

Python, Numpy-intensive

Couples to CAMB, CLASS, HiCLASS, MGCAMB, input4cast files

GC, WL, 21cm-IM, 3x2pt, CMB

Euclid, DESI, Rubin LSST, SKAO

Wolfram Language,

Cosmomathica-FORTRAN link for CAMB

GC, WL

Euclid, SKA1

Used to produce and validate IST:F forecasts 2015-2019

Hessian of a Gaussian Likelihood. Used to approximate posterior distributions at the maximum (fiducial value)

First code to be validated against MontePython MCMC forecasts

SC, Lesgourgues, Schöneberg, et al., Euclid: Validation of the MontePython forecasting tools, 2303.09451 

Euclid preparation: VII. Forecast validation for Euclid cosmological probes,,Blanchard et al. arXiv:1910.09273

SC, Kunz, Martinelli, Pettorino, Phys.Dark Univ. 18 1703.01271

https://github.com/santiagocasas/cosmomathica

Other surveys and cross-correlations

Vera Rubin Observatory, LSST Project Office - http://www.lsst.org/gallery/telescope-rendering-2013

SC, Carucci, Pettorino et al (2022), Constraining gravity with synergies between radio and optical cosmological surveys, 2210.05705 

CMB Stage-IV experiments:  https://kipac.stanford.edu/research/projects/cmb-stage-4

Invited talk at the Manchester Optical x Radio Synergy meeting

  • La cosmología se ha vuelto una ciencia de precisión gracias a la radiación cósmica de microondas (CMB) y a los escaneos de redshifts de galaxias.
  • Gracias a estas pruebas sabemos los componentes del Universo con precisión de 1%.
  • No obstante, aún tenemos rangos en el tiempo y en escalas que no han sido explorados, que podrán ser explorados con la línea de 21cm de hídrogeno.

 

  • Mucho que aprender sobre reionización, las épocas oscuras y las formaciones de estructura.
  • Muchísimos datos nuevos de muchas misiones en construcción!
  • Tenemos trabajo para décadas y décadas por venir!

Gracias!!

Conclusiones

Euclid - Cartografiando

By Santiago Casas

Euclid - Cartografiando

Cosmología moderna: En búsqueda del sector oscuro del Universo

  • 172