

Exploring accelerated evolutionary parameter search for iterative large-scale transport simulations in a new calibration testbed
Sebastian Hörl
3 June 2022
hEART 2022
Challenge

- Agent-based models have become a common tool in transport planning
-
Reproducibility: Are simulation results replicable by other researchers?
-
Relevancy: Are the results corresponding well to reality?
-
Reuse: Can we easily adapt and advance the modeling system?
Modeling pipeline

- Goal: Provide a modeling pipeline from raw data to the final results.

- Should allow to automatically repeat the modeling process.
- Should allow to replace individual modeling components.
Synthetic population

Population census (RP)
Income data (FiLoSoFi)
Commuting data (RP-MOB)
Household travel survey (EDGT)
Enterprise census (SIRENE)
OpenStreetMap
GTFS (SYTRAL / SNCF)
Address database (BD-TOPO)
Synthetic population

Open
Data
Open
Software
+
=
Reproducible research
Population census (RP)
Income data (FiLoSoFi)
Commuting data (RP-MOB)
Enterprise census (SIRENE)
OpenStreetMap
GTFS (SYTRAL / SNCF)
Address database (BD-TOPO)
National HTS (ENTD)
EDGT
Synthetic population

Open
Data
Open
Software
+
=
Reproducible research
Population census (RP)
Income data (FiLoSoFi)
Commuting data (RP-MOB)
Enterprise census (SIRENE)
OpenStreetMap
GTFS (SYTRAL / SNCF)
Address database (BD-TOPO)
National HTS (ENTD)
EDGT

Community
















Modeling pipeline


Modeling pipeline


Simulation

Synthetic demand
Simulation

Mobility simulation
Synthetic demand
Simulation

Decision-making
10:00 - 17:30
17:45 - 21:00
22:00 - 0:00
Mobility simulation
Synthetic demand
Simulation

Decision-making
Mobility simulation
Synthetic demand

Simulation

Decision-making
Mobility simulation
Synthetic demand

Simulation

Decision-making
Mobility simulation
Synthetic demand

Simulation

Decision-making
Mobility simulation
Synthetic demand

Simulation

Decision-making
Mobility simulation
Analysis
Synthetic demand

Calibration problem

- Find parameters (mode choice model, network capacities, ...) that minimize mismatch with reference data

Calibration loop


Calibration loop


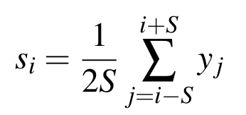
Stopping criterion


- Currently, simple process:
- Smooth trajectory of mode shares over horizon S
- Approximate derivative over horizon H
- Define threshold
- Smooth trajectory of mode shares over horizon S



Example



- Parameters: ASCs, VOT Car, scaling factor on network capacity
- Target: Mode share by distance
- Reference: EGT 2010 Île-de-France
- Objective: L2 norm
- Algorithm: CMA-(1,1)-ES
Example

- Parameters: ASCs, VOT Car, scaling factor on network capacity
- Target: Mode share by distance
- Reference: EGT 2010 Île-de-France
- Objective: L2 norm
- Algorithm: CMA-(1,1)-ES

Framework

- Designed as a modular framework
- Wraps around different simulators
- Modular structure of objectives
- Various optimization algorithms
- (Unit tested)
- (Restartable)


Framework

-
Gradient approximation
- SPSA
- FDSA
-
Evolutionary search
- CMA-ES / Elitist CMA-ES
- xNES / Elitist xNES
-
Accelleration
- odpyts
-
Others
- Uniform sampling
- Nelder-Mead
- Differential Evolution
- scipy optimize interface
-
Coming up
- Batch Bayesian Optimization (Kriging) with various acquisition functions
- Multi-fidelity BBO

Framework

-
Gradient approximation
- SPSA
- FDSA
-
Evolutionary search
- CMA-ES / Elitist CMA-ES
- xNES / Elitist xNES
-
Accelleration
- odpyts
-
Others
- Uniform sampling
- Nelder-Mead
- Differential Evolution
- scipy optimize interface
-
Coming up
- Batch Bayesian Optimization (Kriging) with various acquisition functions
- Multi-fidelity BBO

Testing opdyts

- Algorithm developed by Flötteröd (2017)
- Takes into account iterative structure of MATSim-like simulators
Flötteröd, G. (2017) A search acceleration method for optimization problems with
transport simulation constraints, Transportation Research Part B: Methodological, 98, 239-260
Sample N
candidates
Testing opdyts

- Algorithm developed by Flötteröd (2017)
- Takes into account iterative structure of MATSim-like simulators
Flötteröd, G. (2017) A search acceleration method for optimization problems with
transport simulation constraints, Transportation Research Part B: Methodological, 98, 239-260
Sample N
candidates
Run for T
iterations
Testing opdyts

- Algorithm developed by Flötteröd (2017)
- Takes into account iterative structure of MATSim-like simulators
Flötteröd, G. (2017) A search acceleration method for optimization problems with
transport simulation constraints, Transportation Research Part B: Methodological, 98, 239-260
Sample N
candidates
Run for T
iterations
Advance for T
iterations based on transient performance
Testing opdyts

- Algorithm developed by Flötteröd (2017)
- Takes into account iterative structure of MATSim-like simulators
Flötteröd, G. (2017) A search acceleration method for optimization problems with
transport simulation constraints, Transportation Research Part B: Methodological, 98, 239-260
Sample N
candidates
Run for T
iterations
Advance for T
iterations based on transient performance
Until one candidate has converged
Testing opdyts

- Algorithm developed by Flötteröd (2017)
- Takes into account iterative structure of MATSim-like simulators
Flötteröd, G. (2017) A search acceleration method for optimization problems with
transport simulation constraints, Transportation Research Part B: Methodological, 98, 239-260
Sample N
candidates
Run for T
iterations
Advance for T
iterations based on transient performance
Until one candidate has converged
Testing opdyts

-
opdyts can now be tested in combination with any algorithm that
- Allows to generate N candiates
- Receives one selected candidate
CMA-(1,1)-ES
Opdyts
Candidates
Kriging
Neighborhood
Testing opdyts

- Comparison with CMA-(1,1)-ES
- Speed-up with limited resources
- Otherwise lack of parallelization


Outlook: Testing objectives
- Mode shares (by distance, by time)
- Household travel surveys
- Household travel surveys
- Network flows (daily, hourly)
- Open Paris Data
- Open Paris Data
- Zonal travel times (daily, hourly)
- Uber Movements data
- Uber Movements data
- Transit ridership
- Navigo validation data



Outlook: Testing combinations
Objectives
Algorithms
Metrics
x
x
Outlook: Simulations




Outlook: Simulations


Outlook: Simulations
- Goal: A set of precalibrated ready-to-use large-scale agent-based transport simulation instances in France (eqasim / MATSim)
Questions?



Exploring accelerated evolutionary parameter search for iterative large-scale transport simulations in a new calibration testbed
By Sebastian Hörl
Exploring accelerated evolutionary parameter search for iterative large-scale transport simulations in a new calibration testbed
hEART 2022, 3 June 2022
- 1,302