Study of the \(K^{+}K^{-}\) S-wave amplitude near threshold in \(D^{+}\rightarrow K^{-}K^{+}K^{+}\)
Group meeting
Sebastián Ordoñez, Alberto Reis, Diego Milanés
jsordonezs@unal.edu.co
Universidad Nacional de Colombia
October 29 , 2023




Outline
- Introduction
- Analysis strategy
-
Data samples
- Data
- Monte Carlo
-
Selection
- Pre-selection
- MC reweighting
- MVA
- Figures of merit
-
\(K^{-}K^{+}K^{+}\) Invariant mass fit
- Dalitz plot final sample
- Outlook
Introduction
Motivation
Study of the \(K^{-}K^{+}\) S-wave amplitude near treshhold in \(D^{+}\rightarrow K^{-}K^{+}K^{+}\)
S. Ordoñez (UNAL-COL)
October 29, 2023
- The \(K^{-}K^{+}\) \(S\)-wave amplitude has not been well studied yet. There is a lack in the understanding of the scalar states involved, such as the controversial \(f_{0}(980)\) and the \(a_{0}(980)\).
- Previous studies have been performed by Babar:
- The \(D^{+}\rightarrow K^{-}K^{}K^{+}\) can shed light in the study of the \(K^{-}K^{+}\) \(S\)-wave. There are large and pure data samples available coming from LHCb.
- Results of this analysis can be useful for CPV studies in decays of \(B\) mesons.
Perform a study of the \(K^{-}K^{+} S\)-wave amplitude in the \(D^{+}\rightarrow K^{-}K^{+}K^{+}\) decay channel using the data set of Run 2.
Main objective
Data samples
Data sample
Study of the \(K^{-}K^{+}\) S-wave amplitude near treshhold in \(D^{+}\rightarrow K^{-}K^{+}K^{+}\)
S. Ordoñez (UNAL-COL)
October 29, 2023
- Data was collected at the LHCb detector between 2016 and 2018. Specifically, the data come from \(pp\) collisions at \(\sqrt{s} = 13\) TeV, corresponding to a total of 5.b fb\(^{-1}\).
- The candidates are required to pass any of the L0 hardware trigger lines.
- The data set comes from HLT2 Turbo line:
Hlt2CharmHadDpToKmKpKp - Statistics of the data samples after trigger level cuts:

Data samples
Data sample
Study of the \(K^{-}K^{+}\) S-wave amplitude near treshhold in \(D^{+}\rightarrow K^{-}K^{+}K^{+}\)
S. Ordoñez (UNAL-COL)
October 29, 2023
Notation: \(s_{12} = s_{K^{-}K^{+}} = m_{K^{-}K^{+}}^{2}\) and \(s_{13} = s_{K^{-}K^{+}} = m_{K^{-}K^{+}}^{2}\)

\(s_{12}\) [GeV\(^{2}\)]
\(s_{13}\) [GeV\(^{2}\)]
\(\phi(1020)\)
\(\phi(1020)\)
Cloned tracks

\(s_{12}\) [GeV\(^{2}\)]
Cloned tracks
\(\phi(1020)\)
Events
Data samples
Data sample
Study of the \(K^{-}K^{+}\) S-wave amplitude near treshhold in \(D^{+}\rightarrow K^{-}K^{+}K^{+}\)
S. Ordoñez (UNAL-COL)
October 29, 2023
\(s_{12}\) [GeV\(^{2}\)]
\(s_{13}\) [GeV\(^{2}\)]
\(\phi(1020)\)
Cloned tracks
Events


\(m(K^{-}K^{+}K^{+})\) [MeV]
Data samples
Monte Carlo
Study of the \(K^{-}K^{+}\) S-wave amplitude near treshhold in \(D^{+}\rightarrow K^{-}K^{+}K^{+}\)
S. Ordoñez (UNAL-COL)
October 29, 2023
- Large Monte Carlo (MC) samples are available for each year and polarity (here only used a sub-sample).
- MC data is used for the extraction of the PDF parameters employed in fits.
- MC (reweighted) is used as signal proxy in the MVA selection and the calculation of the efficiency map.
Configurations used to simulate the data per year


Selection
Pre-selection
Study of the \(K^{-}K^{+}\) S-wave amplitude near treshhold in \(D^{+}\rightarrow K^{-}K^{+}K^{+}\)
S. Ordoñez (UNAL-COL)
October 29, 2023
- On top of the trigger level cuts, offline pre-selection cuts are also applied.


Selection
Specific backgrounds: Charm background
Study of the \(K^{-}K^{+}\) S-wave amplitude near treshhold in \(D^{+}\rightarrow K^{-}K^{+}K^{+}\)
S. Ordoñez (UNAL-COL)
October 29, 2023
- The background in the \(K^{-}K^{+}K^{+}\) mass spectrum coming from other charm decays is controlled by specific requirements based on PID
- Possible sources of contamination to \(D^{+}\rightarrow K^{-}K^{+}K^{+}\) from mis-ID are \(\Lambda_{c}^{+}\rightarrow K^{-}K^{+}p\) and \(\Lambda_{c}^{+}\rightarrow K^{-}\pi^{+}p\), where the proton and the pion are misidentified as kaons.


Selection
Specific backgrounds: Clone tracks
Study of the \(K^{-}K^{+}\) S-wave amplitude near treshhold in \(D^{+}\rightarrow K^{-}K^{+}K^{+}\)
S. Ordoñez (UNAL-COL)
October 29, 2023
- The cloned tracks originate when a track associated to one of the \(K^{+}\) is doubled to the other.
- The slope difference variables on the \(x\) and \(y\) directions are considered:
and


Selection
Offline selection before MVA: summary
Study of the \(K^{-}K^{+}\) S-wave amplitude near treshhold in \(D^{+}\rightarrow K^{-}K^{+}K^{+}\)
S. Ordoñez (UNAL-COL)
October 29, 2023



Monte Carlo reweighting: Folding
Study of the \(K^{-}K^{+}\) S-wave amplitude near treshhold in \(D^{+}\rightarrow K^{-}K^{+}K^{+}\)
S. Ordoñez (UNAL-COL)
October 29, 2023
- It is necessary to prepare the MC samples that will be used as signal proxy in the MVA.
- The samples are randomly divided into two reproducible sub-samples:
After the folding, it is ensured that each fold has the same number of events coming from each sub-sample.
Selection

Monte Carlo reweighting: SPlot
Study of the \(K^{-}K^{+}\) S-wave amplitude near treshhold in \(D^{+}\rightarrow K^{-}K^{+}K^{+}\)
S. Ordoñez (UNAL-COL)
October 29, 2023
- To obtain signal weights via sPlot technique which are required for the reweight procedure, a fit to the invariant \(K^{-}K^{+}K^{+}\) mass is performed for each sub-sample.
Selection

Monte Carlo reweighting: Dynamics correction
Study of the \(K^{-}K^{+}\) S-wave amplitude near treshhold in \(D^{+}\rightarrow K^{-}K^{+}K^{+}\)
S. Ordoñez (UNAL-COL)
October 29, 2023
- The MC sample is generated as phase space, therefore the dynamics is emulated by applying a resonant structure weight \(w_{data}\).
- A correction in the number of SPDHits is applied as a weight, \(w_{nSPDHits}\).


Selection


Monte Carlo reweighting: Reweight procedure
Study of the \(K^{-}K^{+}\) S-wave amplitude near treshhold in \(D^{+}\rightarrow K^{-}K^{+}K^{+}\)
S. Ordoñez (UNAL-COL)
October 29, 2023
- The \(w_{nSPDHits}\) and \(w_{data}\) are insufficient to match data and MC, a third weight is required.
- Inputs for the MVA reweighting are: MC sample weighted (PID, SPDhits correction, phase space dynamics) and the data sample with background subtracted from sPlot.
Selection


Monte Carlo reweighting: Reweight procedure
Study of the \(K^{-}K^{+}\) S-wave amplitude near treshhold in \(D^{+}\rightarrow K^{-}K^{+}K^{+}\)
S. Ordoñez (UNAL-COL)
October 29, 2023
- The Kolgomorov-Smirnov test is employed to estimate how different data and MC are.
- The output of the reweight procedure is a gb_weight.
Selection

Results for the KS test before the reweighting

gb_weight
Monte Carlo reweighting: Reweight procedure
Study of the \(K^{-}K^{+}\) S-wave amplitude near treshhold in \(D^{+}\rightarrow K^{-}K^{+}K^{+}\)
S. Ordoñez (UNAL-COL)
October 29, 2023
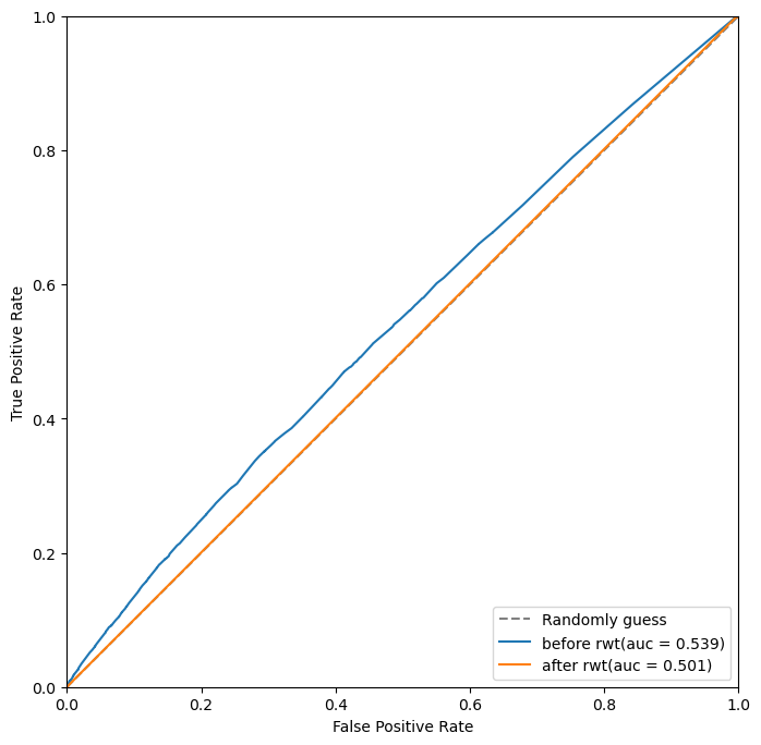
- The matching between the data and MC variables is said to be successful, confirmed by the KS test and ROC curve.
Selection


Results for the KS test after the reweighting
Monte Carlo reweighting: Reweight procedure
Study of the \(K^{-}K^{+}\) S-wave amplitude near treshhold in \(D^{+}\rightarrow K^{-}K^{+}K^{+}\)
S. Ordoñez (UNAL-COL)
October 29, 2023
- Variables after applying the gb_weights.
Selection


Multivariate Analysis Selection
Study of the \(K^{-}K^{+}\) S-wave amplitude near treshhold in \(D^{+}\rightarrow K^{-}K^{+}K^{+}\)
S. Ordoñez (UNAL-COL)
October 29, 2023
Selection
- A BDT is trained and applied using the TMVA package.
- Fold 1 is used for training and the resulting BDT weights are applied to Fold 2, and vice versa.
- A single BDT is trained with all of the sub-samples (year and polarities).
-
Training phase:
- MC samples are used as signal proxy, all weights are applied.
-
The data sidebands are used as background: \([1820,1840]\) MeV and \([1900,1920]\) MeV.
Fold 1
Fold 2
| N. Background events | N. Signal events |
|---|---|
| 753313 | 2064370 |
| N. Background events | N. Signal events |
|---|---|
| 752618 | 2064377 |
For each fold, 2M signal events are used for training and 50k for testing. Similarly, 690k bkg events are used for training, and 50k for testing.
Multivariate Analysis Selection
Study of the \(K^{-}K^{+}\) S-wave amplitude near treshhold in \(D^{+}\rightarrow K^{-}K^{+}K^{+}\)
S. Ordoñez (UNAL-COL)
October 29, 2023
Selection
- The set of variables is chosen based on their discriminant power and not having a significant efficiency variation across the Dalitz plot.
Fold 1
| Training variables for BDT classifier |
| D_IP_CHI2 |
| log(D_FD_CHI2) |
| DIRA |
| D_ENDVERTEX_CHI2 |
| logIP |
| D_BPVTRPOINTING |

Multivariate Analysis Selection
Study of the \(K^{-}K^{+}\) S-wave amplitude near treshhold in \(D^{+}\rightarrow K^{-}K^{+}K^{+}\)
S. Ordoñez (UNAL-COL)
October 29, 2023
Selection
-
Testing phase:
- To perform the selection, two classifiers were tested:
BDTandBDTG. - From the ROC curves a similar performance is observed, there is no strong motivation for a specific choice. The
BDTGis used for the application.
- To perform the selection, two classifiers were tested:
| Condition | BDT | BDTG |
|---|---|---|
| NTrees | 700 | 700 |
| MinNodeSize | 2.5% | 2.5% |
| MaxDepth | 4 | 4 |
| BoostType | AdaBoost | Grad |
| AdaBoostBeta | 0.5 | none |
| Shrinkage | none | 0.1 |
| UseBaggedBoost | true | true |
| BaggedSampleFraction | 0.5 | 0.5 |
| SeparationType | GinIndex | none |
| nCuts | 20 | 20 |
TMVA configurations for the training of BDT classifiers.

Multivariate Analysis Selection
Study of the \(K^{-}K^{+}\) S-wave amplitude near treshhold in \(D^{+}\rightarrow K^{-}K^{+}K^{+}\)
S. Ordoñez (UNAL-COL)
October 29, 2023
Selection
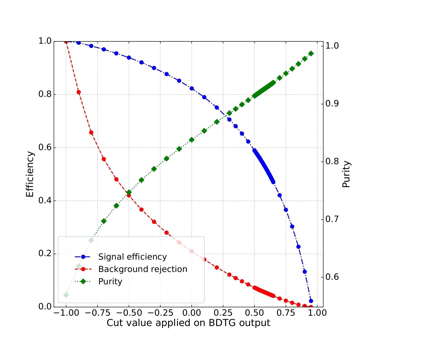
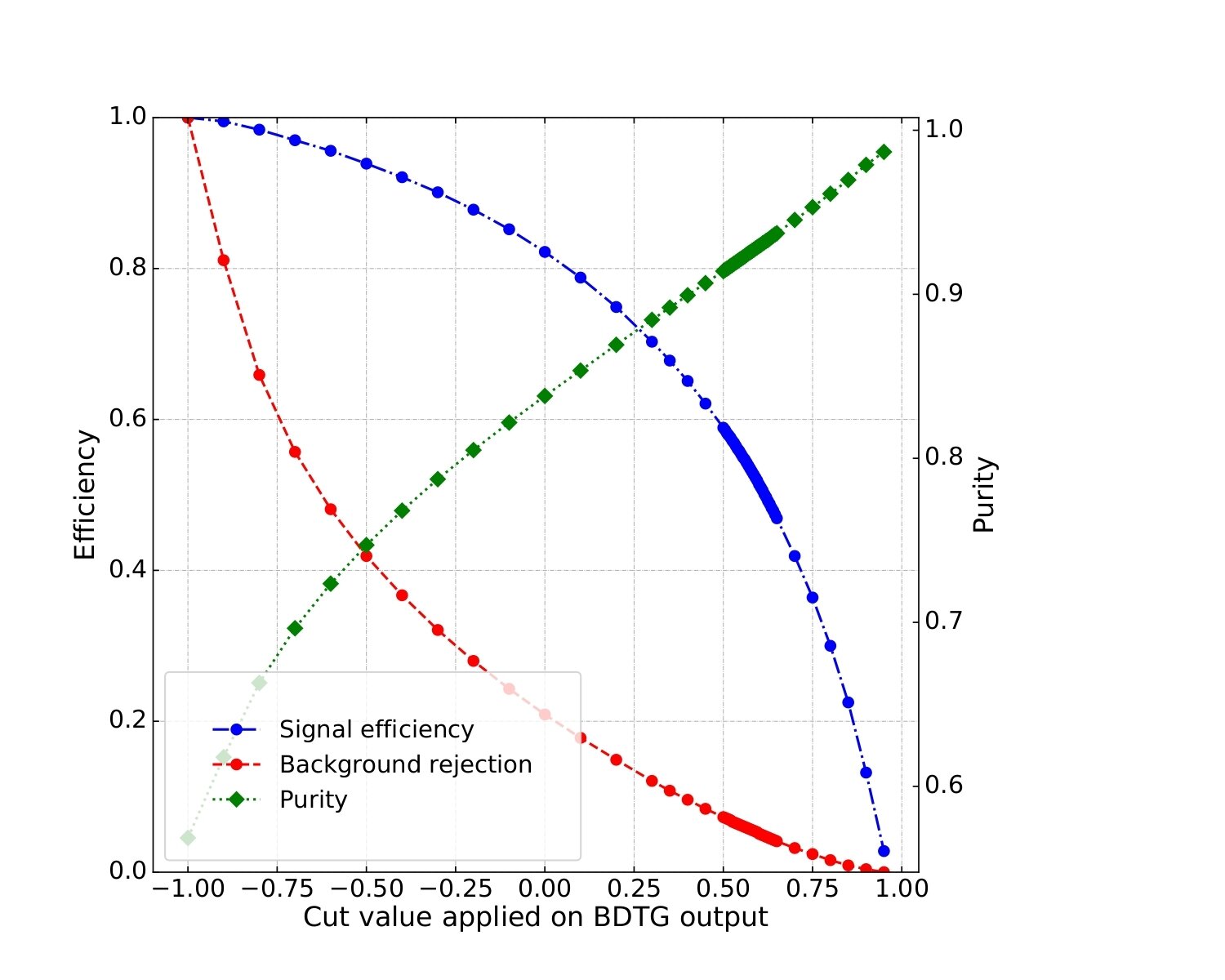
- Performance results for the
BDTGclassifier.
Similar results are obtained for Fold 2.


Figures of merit
Study of the \(K^{-}K^{+}\) S-wave amplitude near treshhold in \(D^{+}\rightarrow K^{-}K^{+}K^{+}\)
S. Ordoñez (UNAL-COL)
October 29, 2023
- From a fit to the MC sample with the cut
val_BDTG > 0, a \(\sigma_{eff} = 4.34\) MeV was estimated. - The signal window used will be \(2\sigma_{eff}\), which corresponds to: \([1861.41,1878.77]\) MeV
Fold 1
Fold 2
Selection
- A cut on
val_BDTG > 0.57gives a purity of 92.5%, with a signal efficiency of around 54%.


Study of the \(K^{-}K^{+}\) S-wave amplitude near treshhold in \(D^{+}\rightarrow K^{-}K^{+}K^{+}\)
S. Ordoñez (UNAL-COL)
October 29, 2023
\(K^{-}K^{+}K^{+}\) Invariant mass fit
- The final signal region corresponds to \(2\sigma_{eff}\) is: \([1860.38,1879.31]\) MeV
- Within the signal region there are: 516392 signal events and 43600 background events.


Study of the \(K^{-}K^{+}\) S-wave amplitude near treshhold in \(D^{+}\rightarrow K^{-}K^{+}K^{+}\)
S. Ordoñez (UNAL-COL)
October 29, 2023
\(K^{-}K^{+}K^{+}\) Invariant mass fit
Dalitz plot of the selected data
- Considering events within the signal region the Dalitz plot below is obtained.
- A clear interference between the \(S\)-wave and the \(\phi(1020)\) resonance is observed.


Study of the \(K^{-}K^{+}\) S-wave amplitude near treshhold in \(D^{+}\rightarrow K^{-}K^{+}K^{+}\)
S. Ordoñez (UNAL-COL)
October 29, 2023
\(K^{-}K^{+}K^{+}\) Invariant mass fit
Dalitz plot of the selected data
- Taking events in the regions \([1805,1850]\) MeV and \([1890,1935]\) MeV the Dalitz plot below is obtained.
- The remaining background is composed by two components: combinatorial and a peaking background at the \(\phi(1020)\) mass.


Study of the \(K^{-}K^{+}\) S-wave amplitude near treshhold in \(D^{+}\rightarrow K^{-}K^{+}K^{+}\)
S. Ordoñez (UNAL-COL)
October 29, 2023
Background model


To be continued...
Group meeting
By Sebastian Ordoñez
Group meeting
- 517