MAPS 11 - RISQUES
multi-agents
Etienne Delay
Cyril Piou
David Sheeren
Doryan Kaced
Sébastien Rey Coyrehourcq
MAPS 11 - Fréjus
06/2018
La thématique
COMPOTE
COntrole des Maladies Propagées par l'Observation du TErritoire

Question scientifique
et hypothèses
- Explorer l'influence des configurations spatiales du paysage sur la propagation des maladies
- Comprendre et quantifier l'influence des pratiques individuelles divergentes sur le fonctionnement du système
- Explorer la diversité des réponses institutionelles en considérant la santé des plantes comme un bien commun
- Explorer l'effet du risque de non-détection de la maladie (échantillonnage trop faible) sur les pertes ou bénéfices individuelles et collectif
Quels sont les risques inhérent aux pratiques individuelles dans la dynamique de propagation des maladies végétales sur des territoires complexes ?
Entités et variables d'état
Parcelle - Gestionnaire - Contrôleur


Entités et variables d'état
Parcelles :
3 variétés (Variety)
3 seuils de sensibilité à l'infestation (S)
3 qualités (+ c'est sensible meilleur c'est) (Q)
Gestionnaire / contrôleur
Capacité de détection de l'infestation (Sd)
Tolérance d'acceptation de l'infestation (Sa)
Revenu (lié à la qualité et quantité produite)
Entités et variables d'état
Echelles
- temporelle : 15 ans (step = 1 sem.)
- spatiale : 1 ha (étendue = 100x100)
- 1 propriétaire = 10x10 parcelles (séquentiel)
Processus
Action Gestionnaire (par Step)
- Choix de parcelles à surveiller (20) - priorité aux sensibles
- Si infestation détectée (selon seuil)
- Coupe (si I > Sa)
- Camouflage (si I < Sa)
Processus
Action Gestionnaire (par Step)
- En fin d'année, si perte Production :
- Replantation (variété moins sensible )
- Devient moins tolérant (Sa diminue) et meilleure détection (Sd diminue)
Production
Processus
Action Contrôleur (par Step)
- Choix de parcelles à surveiller (50) - priorité aux zones risquées
- Si infestation détectée (selon seuil)
- Coupe (si I > Sa)
- MAJ carte de risque (Tryade)
Processus
Diffusion Maladie (par Step)
Indicateurs de sortie
- Nombre de parcelles infestées (par sensibilité)
- Niveau d'infestation moyen
- Evolution des Sd et Sa moyens
- Nombre de parcelles :
- Coupées par Contrôleur
- Coupées par Gestionnaire
- Camouflées par Gestionnaire
Visualisation :
- Niveau Infestation
- Risque (carte contrôleur)
- Potentiel d'infestation (pour diffusion maladie)


Risque
Infestation
Demo

Resultats

Pour se faire une idée :
- 113 push (github)
- ~ 20 paramètres
- ~ 15 000 runs
Plan d’expérience
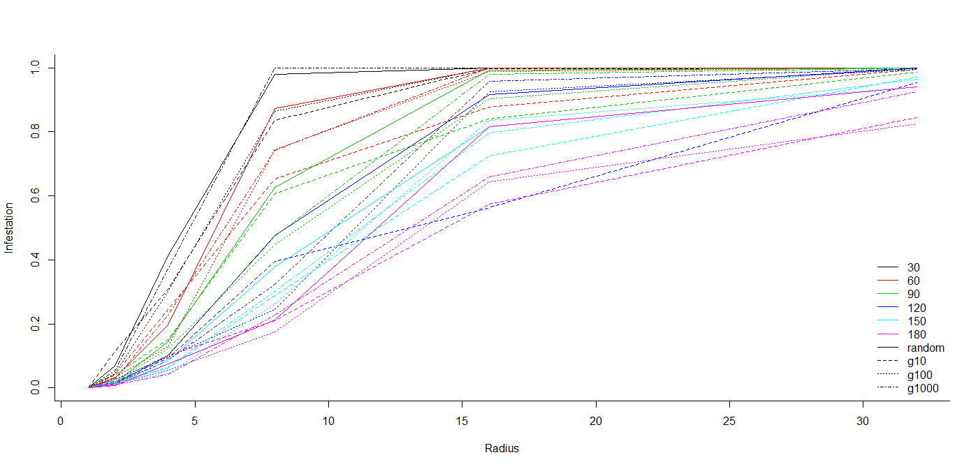
1 ere exploration

- 6 rayon de diffusions
- 6 vitesse de croissance
- 4 paysages
- 10 répliques
Résultats
1 ere exploration


Paysage
Résultats
1 ere exploration

Résultats
1 ere exploration

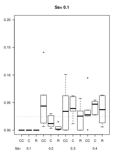
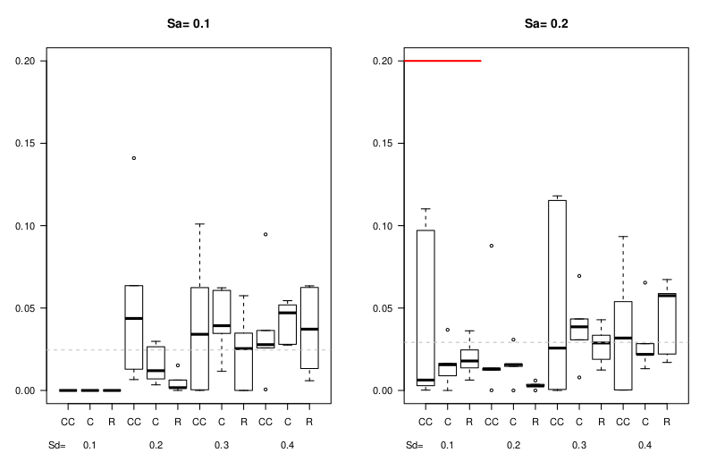
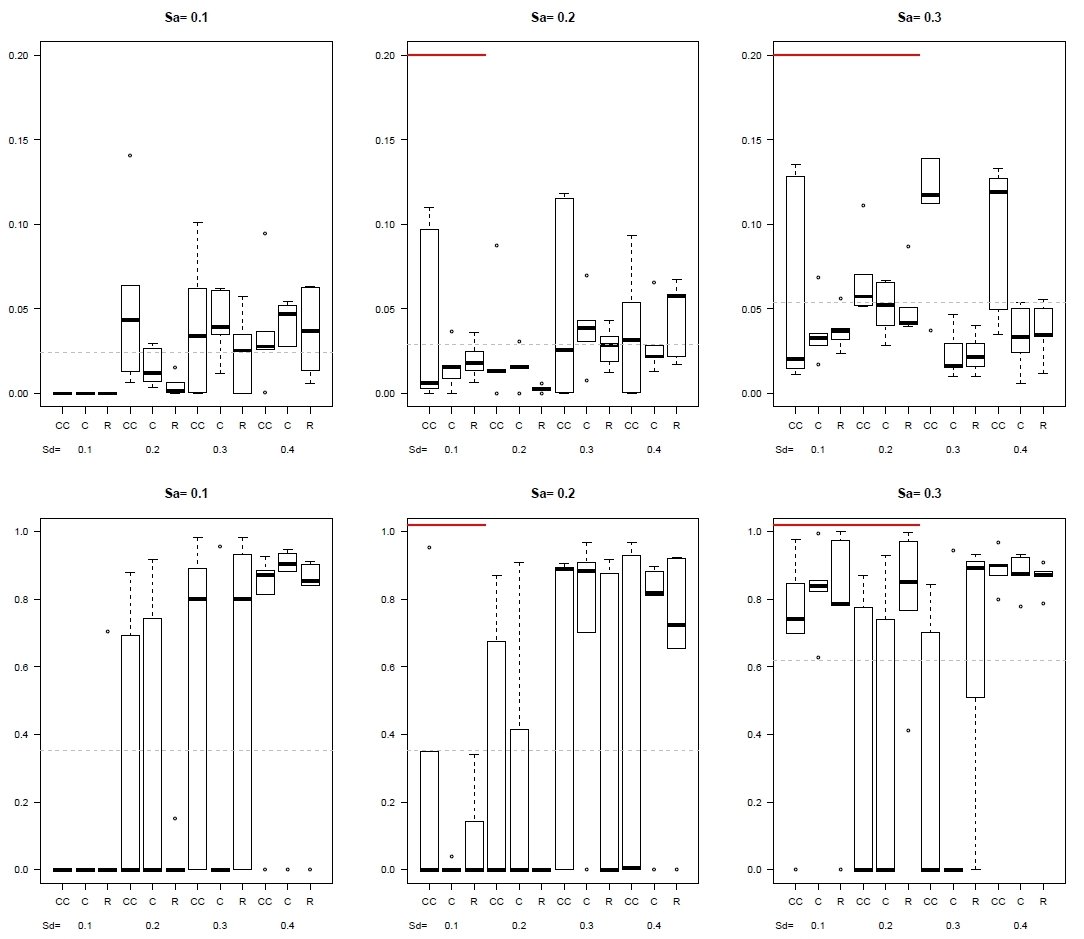
pour la 2eme exploration
Résultats
2eme exploration
Plan d'exploration des comportements des fermiers
Sd_m Sa_m delta_Sd delta_Sa
Max 0.4 0.5 0.1 0.1
Min 0.1 0.1 0.0 0.0
Pas 0.1 0.1 0.05 0.05
N 4 5 3 3
x 2 dyn Maladie
x 3 modalités spatiales
x 2 (sans et avec controleur Sd_c 0.1 Sa_c 0.2)
x 5 repliques
4 x 5 x 3 x 3 x 2 x 3 x 2 x 5 = 10800 simulations...

Résultats

2eme exploration
Maladie lente:
- Fermiers peuvent y arriver avec bas Sd et Sa

Résultats
2eme exploration

Maladie lente:
- Dès qu'ils peuvent tricher, la maladie est plus présente
Résultats
2eme exploration
Maladie lente:
- Dès qu'ils peuvent tricher, la maladie est plus présente
Résultats
2eme exploration

Maladie lente:
- Dès qu'ils peuvent tricher, la maladie est plus présente
Résultats
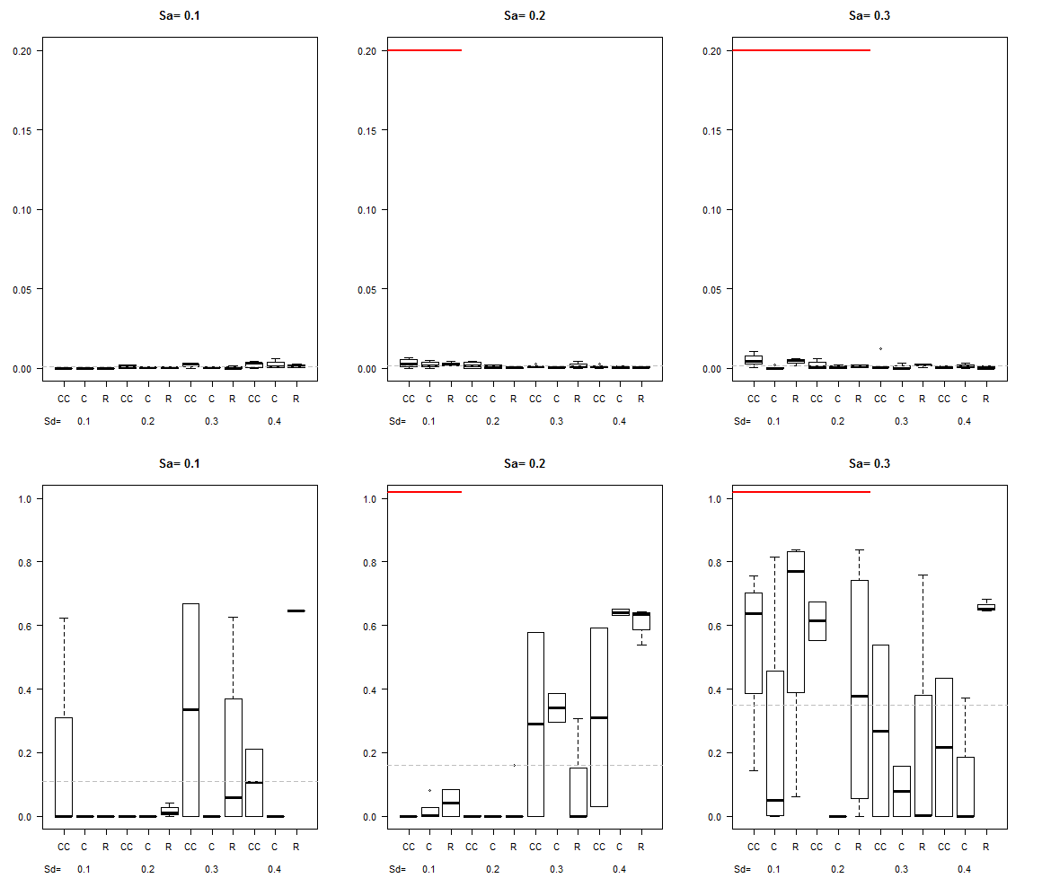
2eme exploration

Maladie rapide:
- Effet fort du seuil de détection
- Triche ne pardonne pas
Impact du controlleur
Résultats
2eme exploration

Résumés des résultats
| Maladie Lente | Maladie Rapide | |
|---|---|---|
| Sa<=Sd (cut) | ↘☺ | ☹↗ (pas suffisant) |
| Sa > Sd (triche) | ↗ (la ca ca la catastrophe) | ☹↗ (encore pire) |
| Sa <= Sd (autoritaire) | ↘ pour la maladie | ↗? |
| Sa > Sd (confiance) | ↘☺ | ↗? |
La suite
- Explorer les évolutions des seuils (Sd et Sa pour les fermiers)
- Explorer d'autres modalités de réactions du controleurs
- Explorer les paramètres d'évolution des cartes mentales
- ...
La suite
- Explorer les évolutions des seuils (Sd et Sa pour les fermiers)
- Explorer d'autres modalités de réactions du controleurs
- Explorer les paramètres d'évolution des cartes mentales
- ...


La suite
- Explorer les triades de triades...

Thèse de Bruno Bonté 2011

MAPS 11 Risques
By sebastien rey coyrehourcq
MAPS 11 Risques
- 938