Partial acts as enablers of shared embodied rationality
Sébastien Lerique & Tom Froese
CILC5 2021

On the need for system-level study

Partial acts
Emerging agreement on what it is to share presence with another person


Control ↔ vulnerability
a.k.a. Complex Systems

Rationality → utility → game theory

Savage (1952), The Foundation of Statistics

Simon (1957), A Behavioral Model of Rational Choice


CC BY Flickr/Loco Steve
CC BY-NC pngmg.com
?
CC BY LSE 2021


The American Economic Review (2003)
Axioms for a mathematically tractable Decision Theory (including indifference to scale)
⇒ A unique utility function can represent preferences
Reliance on heuristics
Costs of gathering and processing information
Multi-valued utility functions
Heuristics of judgement
Risky choice
Framing effects

Perceptual Crossing Paradigm


Guddu1996, CC BY-SA 4.0, via Wikimedia Commons
There are no unobtrusive motion-tracking tools to assess real-time social interaction dynamics (Schilbach 2019)
Real-life social functioning is driven by basic social interactive capacities

Participants co-regulate their interaction with few constraints
The experimenter can control the way participants can couple to each other

Learning perceptual crossing




Learning perceptual crossing




Learning perceptual crossing

Perceptual Awareness through Partial Acts

Froese, Iizuka & Ikegami (2014): “Embodied Social Interaction Constitutes Social Cognition in Pairs of Humans: A Minimalist Virtual Reality Experiment.” Scientific Reports

Number of joint successes, single successes, and wrong clicks

Average turn-taking
| PAS | Experience of other's presence |
|---|---|
| 1 | No experience |
| 2 | Ambiguous |
| 3 | Almost clear |
| 4 | Clear experience |

Timing for active and passive touch


Kojima, Froese, Oka, Iizuka & Ikegami (2017): “A Sensorimotor Signature of the Transition to Conscious Social Perception: Co-Regulation of Active and Passive Touch.” Frontiers in Psychology


Froese, Iizuka & Ikegami (2014): “Embodied Social Interaction Constitutes Social Cognition in Pairs of Humans: A Minimalist Virtual Reality Experiment.” Scientific Reports

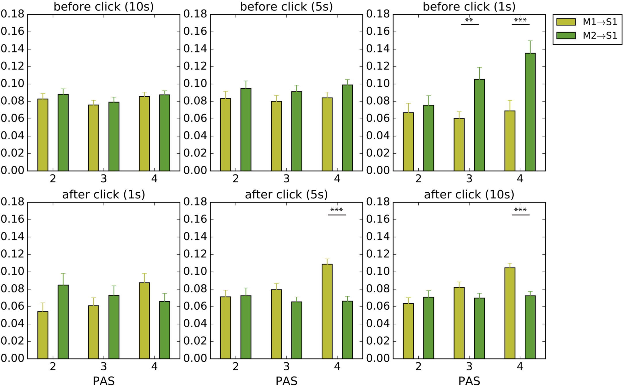
Partial acts of oscillations





Lerique & Froese, in prep.

Wrapping up
Froese, Zapata-Fonseca, Leenen & Fossion (2020): “The Feeling Is Mutual: Clarity of Haptics-Mediated Social Perception Is Not Associated With the Recognition of the Other, Only With Recognition of Each Other.” Frontiers in Human Neuroscience
Rationality
Bounded Rationality
Shared Embodied Rationality



Thank you!


©2021 Stephen Estelle
©2021 Maria Gohlke


sebastien.lerique@oist.jp
slvh.fr

CILC5 - Partial acts as enablers of shared embodied rationality
By Sébastien Lerique
CILC5 - Partial acts as enablers of shared embodied rationality
- 1,206