深層学習参考資料
NTT データ数理システム
数理計画部 清水超貴
Convolutional Neural Network
一般物体認識によい成績を残している Neural Network

- Convolution(畳み込み)と Pooling(プーリング) を交互に行う
- 最終層に分類クラス数と同数のノードを置く
- 直前のプーリング層とFull Network全結合ネットワークで結ぶ
* 間に正規化層を挿入することもある
ImageNet Large Scale Visual Recognition Challenge(ILSVRC) 2012
で優勝した記念碑的 CNN
A. Krizhevsky+. ImageNet Classification with Deep Convolutional Neural Networks. 2012

畳み込み層: 5 つ
プーリング層 : 3 つ
正規化層 : 2 つ
全結合層: 3 つ

Classification

Localization
その他成果
Text Recognition

Text Detection

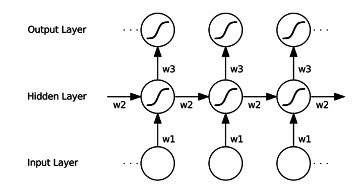
Recurrent Neural
Network
-
Sequence (音声・文・アクセスログなど)を入力出力
-
Sequence 間の対応関係や Sequence の分布を学習
-
内部に(有向)閉路を持つ Neural Network の総称


時間方向に展開した図
応用

手書き文字列生成
上記 A.Gravis のデモで生成

自動対話
A Neural Algorithm of
Artistic Style

…


他のスタイルでも...
画像認識用の CNN を使用 (学習は行わない)
-
深い層まで進んでも空間的な位置関係は保たれる
-
色合いや質感の情報は相対的に弱められている

情報が弱まっている部分を別の画像の画風に置き換えてやる
基本アイデア
目的関数
(中間層のコンテンツ画像とのズレ)
+
(スタイル行列のスタイル画像とのズレ)
remark: 前者は深い層で、後者は浅い層・浅い層両方でずれをとる
目的関数を設定したら...
最適化の出番です!!
ご注文はDLですか??
By simizut22
ご注文はDLですか??
Deep Learning
- 1,286