Basis of Control Theory
Chris Hung (Rocket and Optimization)
Tutoring method
Structure
- Concept
- Overview
- Thesis
- Application
- Current situation
- Solving Problems or Implementation
- Homework
- Preview of future lessons
The lesson will surround applications in space engineering
- You can search for the papers I cited
- Please ask anytime you don't understand
What is Control system
Mathematical modeling
- Think of the world in terms of dynamic system
- Represent it with Differential Equations
- e.g.
- Romantic relationship
- Spread of COVID-19
- Rocket equation
- Schrödinger equation
- Humans not only want to predict the model but also manipulate it.
- => Control System
https://www.weforum.org/agenda/2022/02/covid-19-top-news-omicron-coronavirus-7-february-2022/

https://en.wikipedia.org/wiki/Sigmoid_function



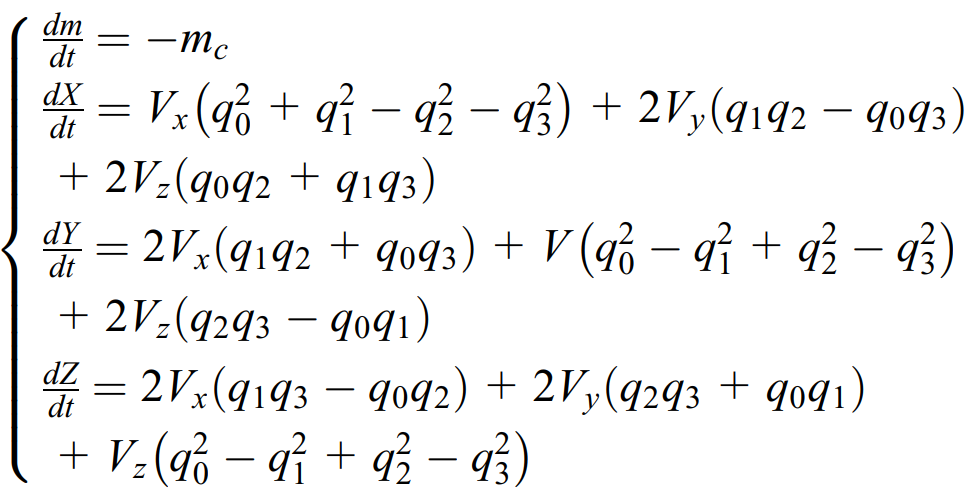
Dynamic mathematic model for the free flight phase of a sounding rocket


Dynamic mathematic model for the free flight phase of a sounding rocket
Peng W, Zhang Q, Yang T, Feng Z. A high-precision dynamic model of a sounding rocket and rapid wind compensation method research. Advances in Mechanical Engineering. July 2017. doi:10.1177/1687814017713944

An overview of Control Theory
- Actively
- Impose some control logic in a certain preplanned way
- Black box method: Measure the system and make decisions based on the system response to what you input
- Passively
- System optimization
- e.g., Attack angle for winds of a rocket

An overview of Control Theory
Open-loop
- Requires constant input of energy
- if not, the system will become unstable
- The system must be totally certain in order to preplan
Closed-loop feedback control
- Requires sensors to measure the output
- feedback the error to the controller
- Why feedback?
- Instability
- Uncertainty
- Disturbance
- Efficient




System Structure


https://www.samsongroup.com/document/l101en.pdf

Simple feedback control systems
- Their control device is made of the controller only
- They are the most classic ones in the field of adaptive control.
- However, in the case of non-adaptive neural control, since the quality of their performance relies heavily on the fidelity of the model used for the design of the controller, they can only be used if the model is very accurate and if the effect of disturbances is small.

Internal model control systems
- They are characterized by a control device consisting of the controller and of a predictive model of the process, the internal model.
- The internal model loop uses the difference between the outputs of the process and of the internal model. This difference represents the effect of disturbances and of a mismatch of the model.



www.mathworks.com
Rivals, Isabelle & Personnaz, Léon. (2000). Nonlinear Internal Model Control using Neural networks : application to Processes with Delay and Design Issues. IEEE transactions on neural networks / a publication of the IEEE Neural Networks Council. 11. 80-90. 10.1109/72.822512.

Homework: Memorize these terms
https://www.srecwarangal.ac.in/ece-itl/CS%20SUMMARY.pdf

The Map of Control Theory

https://engineeringmedia.com/map-of-control

https://engineeringmedia.com/map-of-control
Map of satellite GNC

Peter Z. Schulte, David A. Spencer, Development of an integrated spacecraft Guidance, Navigation, & Control subsystem for automated proximity operations, Acta Astronautica, Volume 118, 2016, Pages 168-186, ISSN 0094-5765, https://doi.org/10.1016/j.actaastro.2015.10.010.

Application of Guidance & Control
Guidance and Control
a branch of engineering dealing with the design of systems to control the movement of vehicles, especially, automobiles, ships, aircraft, and spacecraft.
- Guidance refers to the determination of the desired path of travel (the "trajectory") from the vehicle's current location to a designated target, as well as desired changes in velocity, rotation and acceleration for following that path.
- Control refers to the manipulation of the forces, by way of steering controls, thrusters, etc., needed to execute guidance commands while maintaining vehicle stability.
https://en.wikipedia.org/wiki

GNC Engineer Salaries in the U.S.
Median annual earnings at $41,535 in 2020 for workers aged 15 and over with earnings and $56,287 in 2020 for those who worked full-time, year-round.
250000 NTD/month
Problems
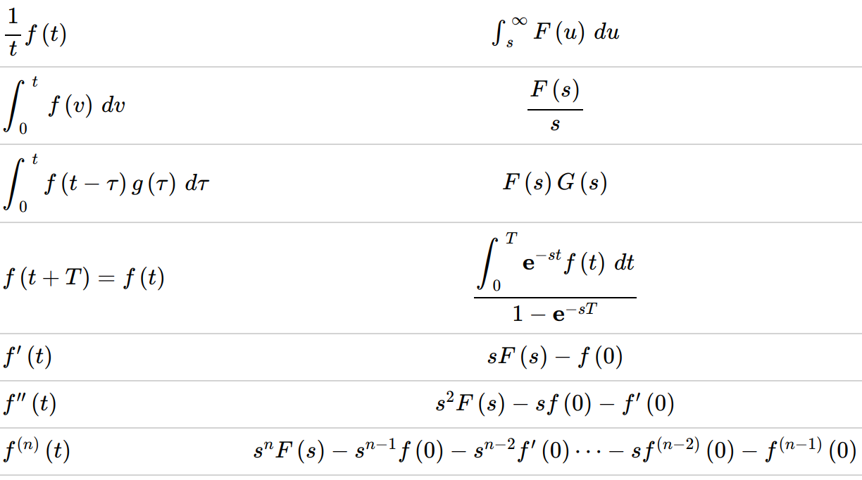
What's the transfer function
ODE --> Laplace function




https://www.tutorialspoint.com/step-response-of-series-rlc-circuit-using-laplace-transform
Your turn

https://tutorial.math.lamar.edu/classes/de/laplace_table.aspx

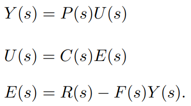
Closed-loop feedback control Laplace function


Closed-loop feedback control Laplace function





https://www.basicknowledge101.com/pdf/control/Control%20theory.pdf
Homework
- Practice and understand RLC State Space Modeling
- Memorize the terms
- Install MATLAB (License required)
What's Next

3. prepare for implementation
4. Implementation: Dynamic modeling of a sounding rocket without aerodynamics (3hr)
5. Design of ADCS for the sounding rocket model (6hr)
6. Guidance, Algorithms and Control (>10hr)
- Prequired Linear algebra knowledge
- Frames --> Conversion between frames
- An intro to Attitude Determination Control Subsystem (ADCS)
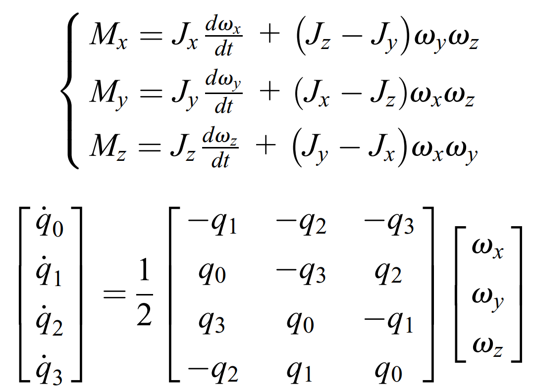
- Rotation: Quaternion and Euler angle
- Representation of Attitude
Basis of Control Theory
By 洪宇辰
Basis of Control Theory
- 78