Sequence Modeling with RNNs
Suriyadeepan Ramamoorthy
Who Am I?
- AI Research Engineer, SAAMA Tech.
- I work in NLU
- I am a Free Software Evangelist
- I'm interested in
- AGI
- Community Networks
- Data Visualization
- Generative Art
- Creative Coding
- And I have a blog
At SAAMA
- Adverse Drug Event Extraction
- Pharmacovigilance
- Drug-Drug Interaction
- Protein-Protein Interaction
- Clinical Trial Optimization
- Inclusion-Exclusion Criteria
- OCR for Clinical Notes
- Machine Learning on EHR
- Genome Sequence Modeling
ADE Extraction


The Deep Learning Revolution
- Neural Networks
- Representation Power
- Specialized Networks
- Availability of labelled data
The Deep Learning Revolution
- Automatic Feature Learning
- Hierarchical Representation
The Deep Learning Revolution

The Deep Learning Revolution
- Automatic Feature Learning
- Hierarchical Representation
- Gradient Descent based Optimization
- Differentiable Networks
The Deep Learning Revolution

The Deep Learning Revolution

Sequence Modeling

\(y = softmax(o)\)
\(o = tanh(W_2h_1 + b_2)\)
\(h_1 = tanh(W_1x + b_1)\)
Recurrence

Recurrent Neural Network

Vector to Sequence

Sequence to Sequence

Bidirectional RNN

Stacked RNN

Flavors of RNN
Vanilla

LSTM
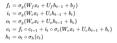
Long Short Term Memory

LSTM

LSTM

GRU
Gated Recurrent Unit

Sequence Modeling with RNNs
By Suriyadeepan R
Sequence Modeling with RNNs
- 1,896