银河系中心星场

时域研究

祝伟(清华大学)

CSST系外行星(部分):东苏勃(北大),刘慧根(南大),毛淑德(清华),余聪(中山),周济林(南大)

 

CSST科学数据处理-科学研究联合研讨会

2021-5-30,重庆

讨论&问题

  • 主巡天相机60s曝光测光精度可能受快门效应影响,快门开合需1.5s,需要做好快门函数修正(郑振亚)
  • 导星相机曝光时间可变,不只有150s一个选择(王维,刘超)
  • CSST导星读出频率为100Hz
  • 相对测光数据在1级数据之前,可以认为是0.7级,所以需要针对性处理(刘超)
  • Astrometric microlensing是否可观测到(刘超)?Astrometry精度可以做到~0.5 mas@20 mag (300s exposure);不同曝光不容易叠加,因为很难对准到同一个像素上,但是是否可对不同曝光分别做天测,然后叠加相对的astrometry?

提纲

  • 核球天区时域研究(微引力透镜巡天)
  • CSST机遇和挑战
  • 其他时域研究

Figure adapted from Zhu & Dong (2021)

Transit (ground)

Transit (space)

Radial velocity

Microlensing

Imaging

热木星

Hot Jupiters

冷木星

Cold Jupiters

超级地球

Super Earths

冷海王星

Cold Neptunes

系外行星探测

  • 微引力透镜主要探测冷(\(\gtrsim1\) AU) 行星,特别是小质量行星。

Transit: ~3000

RV: ~900

Microlensing: ~100

  • 最小质量星云模型: \(\Sigma(r) \propto r^{-3/2} \) \(\longrightarrow\) 质量(1-10 AU) > 质量(0.1-1 AU).

行星系统外部区域(特别是1-10 AU)的质量和角动量占主导 \(\longrightarrow\) 冷行星的存在和分布情况对认识整个行星系统至关重要!

冷行星的重要性

Mimimum mass extra-solar nebula

Mimimum mass solar nebula

Weidenschilling (1977); Hayashi (1981); Chiang & Laughlin (2013)

  • 成熟行星系统:

2 \(M_\oplus\)

>400 \(M_\oplus\)

微引力透镜

Paczynski (1986); Mao & Paczynski (1991)

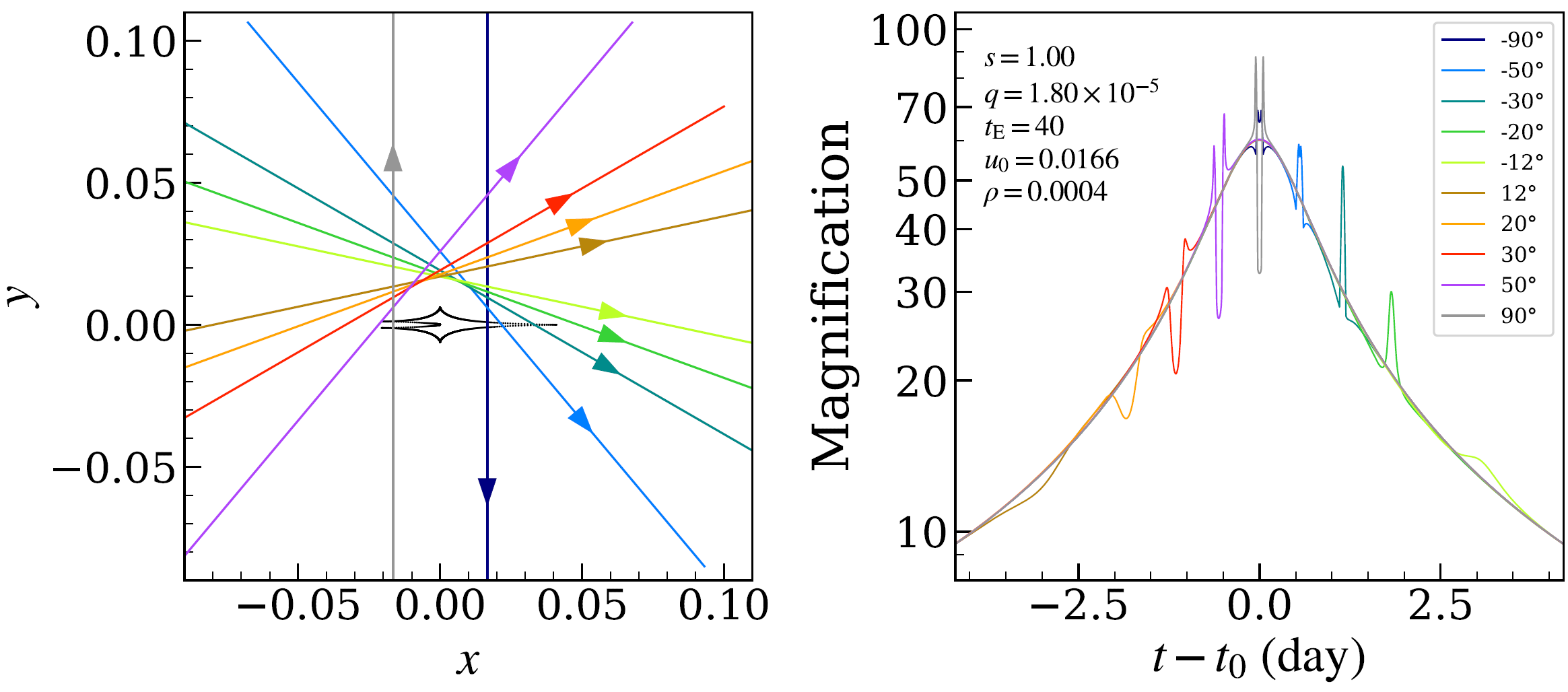
\(t_{\rm E} \sim 30{\rm days} \left(\frac{M_{\rm L}}{M_\odot}\right)^{1/2} \)

\( t_q \sim 40{\rm min} \left(\frac{q}{10^{-6}}\right)^{1/2} \left( \frac{t_{\rm E}}{30 \rm days}\right) \)

背景恒星亮度

背景恒星

”透镜“星体

\( t_{\rm E} \)

\( t_q \)

微引力透镜探测系外行星

图片来自杨弘靖(清华)

“流浪行星”

  • 透镜质量\(M_{\rm L} \sim 300 M_\oplus \left(\frac{t_{\rm E}}{1~\rm day}\right)^2 \)
  • “流浪” = 距离主星距离超过~15 AU

  • 银河系中可能存在与恒星数目相当的流浪行星 (KMTNet+OGLE约1例/年)

Mroz et al. (2017, 2021)

现有的微引力透镜观测

巡天组

  • 波兰OGLE:1.3m@智利
  • 日本/新西兰MOA:1.8m@新西兰
  • 韩国KMTNet:1.6m@智利,1.6m@南非,1.6m@澳大利亚
  • 后随观测:\(\leq 1\)米级全自动望远镜(LCO)或爱好者望远镜(microFUN)

地面微引力透镜巡天: KMTNet

  • 3台望远镜,4 deg\(^2\)视场;
  • 数亿颗恒星,每\(\geq\)15分钟曝光一次;
  • 每年3000例微引力透镜事件,约30颗系外行星;
  • 探测极限:行星/恒星质量比\(q\sim10^{-5}\)
    • ref: 地球\(q=3\times10^{-6}\)。

1 deg

银河系中心

从地面到太空

  • 更高分辨率:分辨单个恒星
  • 更深观测
    • 更多恒星\(\rightarrow\)更多微引力透镜事件
    • 更小恒星\(\rightarrow\)探测更小质量的行星

3'

9"

Images from Pietrukowicz et al. (2019)

Figure from Sajadian & Ignace (2020)

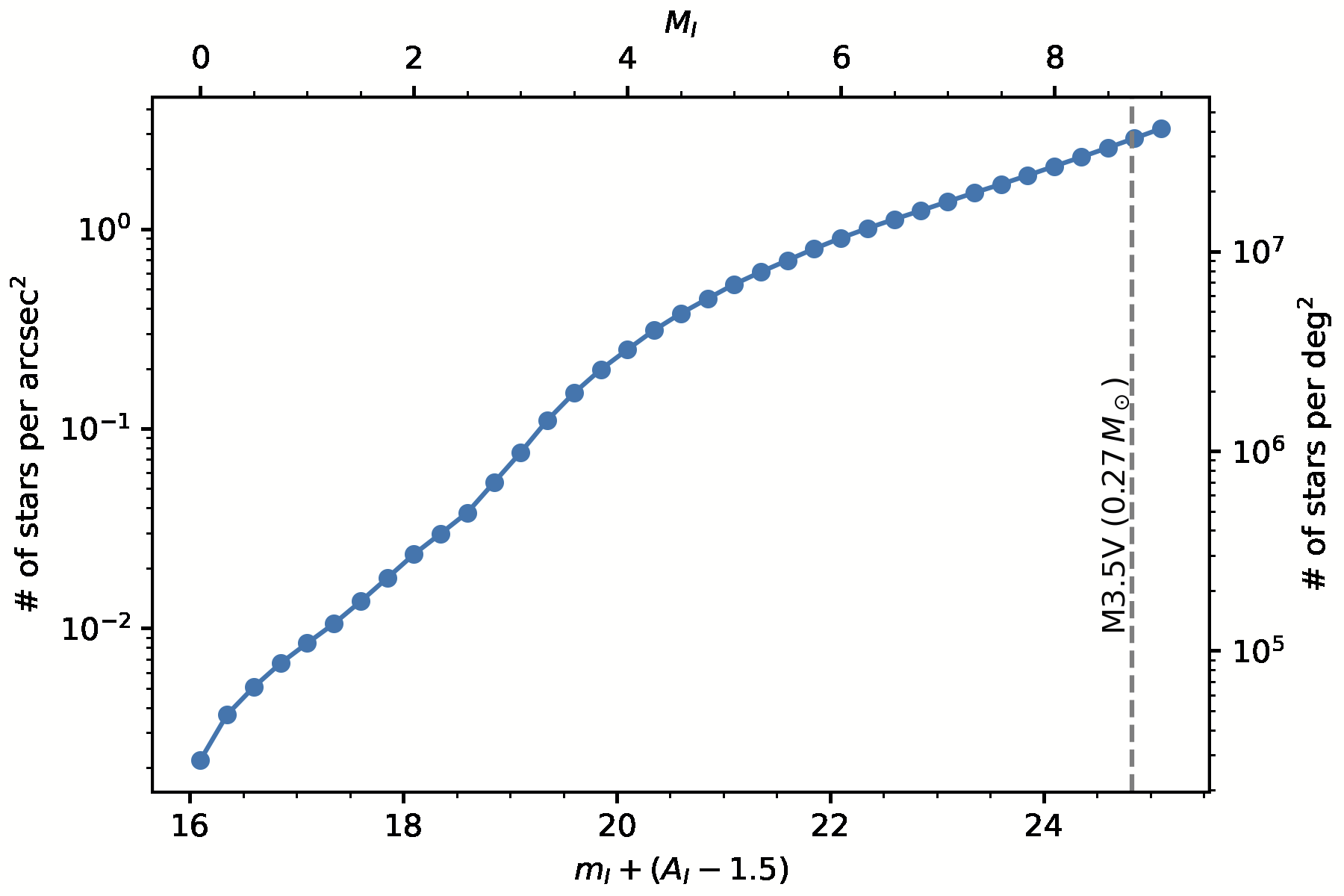
核球恒星数密度

WFPC2 F814W image of the Baade's window (Holtzman et al. 1998)

  • 2420s总曝光(20s + 200s\(\times\)2 + 1000s\(\times\)2)
  • PSF photometry x 3

\(150"\)

核球恒星数密度

  • 典型微引力透镜事件的透镜天体\(M_{\rm L}\sim0.3-0.5 M_\odot\)
  • 地面典型源\(\sim M_\odot\)
  • \(\Sigma_{\rm disk}/\Sigma_{\rm bulge} \approx 1/4\)

\(I\)波段视星等(@8.3kpc + 1.5\(^{\rm m}\)消光)

Red Clump

G2 (\(1 M_\odot\))

(绝对)测光\(\rightarrow\)透镜天体质量

  • 光变曲线仅提供行星/恒星质量比q
  • 需要高阶效应来测定质量
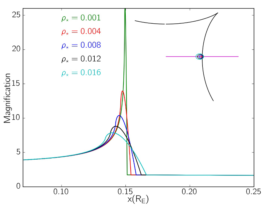
    • 有限源效应(finite source effect)
    • 三角视差效应(microlensing parallax)
    • 透镜亮度(lens flux)

Yee (2015)

  • 透镜事件进行时
    • Lens+Source unresolved
    • 光变曲线测量blending fraction (一般可认为是lens)
  • 透镜事件发生后(>~5年时间)
    • 右图:HST imaging of OGLE-2005-BLG-0169 after 6.5 years, source-lens relative separation ~45 mas.
    • 巡天与后续观测要留有足够的时间间隔。
    • 主巡天相机 or MCI?

Bennett et al. (2015)

5“

0.4“

\(I_{\rm L}\approx I_{\rm S} \approx 20.5 \)

(绝对)测光\(\rightarrow\)透镜天体质量

空间微引力透镜巡天计划WFIRST/Roman

  • 2 deg\(^2\), 15min cadence, NIR, 6x72 days;
  • ~30,000微引力透镜事件,~1400颗冷行星(~200颗地球质量),~500颗流浪行星,~100双黑洞系统,~\(10^5\)掩食行星。

Spergel et al. (2015); Penny et al. (2019); Montet et al. (2017)

CSST微引力透镜巡天

CSST WFIRST
开始观测 ~2024 >2025(?)
观测时长 10年 5+1年
轨道 Leo L2
波段 光学 近红外
视场 1平方度 0.3平方度
像素大小 0.075" 0.11"
slew & settle ~1(?) min/FoV 83 s/FoV

(近地轨道利于短时标事件三角视差效应观测)

(光学波段利于与地面协同观测)

  • CSST+WFIRST: 三角视差法直接测量透镜系统质量

星等

(注:Euclid也有可能开展微引力透镜观测)

CSST Survey Camera

  • Multi-filter imaging & slitless spectroscopy
  • Field of view: 1.1 deg\(^2\)
  • Pixel size: 0.074"
  • Tracking precision: 17 mas
  • Image quality \(R_{\rm EE80}\): 0.15"@632.8 nm
  • Point source sensitivity ~25.5\(^{\rm m}\) with 300s integration.

(effective FoV ~0.5 deg\(^2\)@grizy)

u, NUV, & 无缝光谱: 恒星和太阳系天体观测?

  • Tentative field location: (Ra=17:56:51, Dec=-29:34:45).
  • Sun-angle & Moon-angle constraints \(\longrightarrow\) Observing window >20-40 min/(~95 min orbit) & fast-slew mode (\(0.35^\circ\)/s) to make use of the rest of the time.
  • Survey duration: 3 months.
  • Each pointing: 1 min exposure, 40 s readout & slew (vs. guiding camera's 150s exposure)
  • Each block: 4 pointings (1.2 deg\(^2\)), 400 s.
  • One complete field visit: 3 blocks (3.6 deg\(^2\)), 20 min.
  • Total # of exposures/field: ~2880

CSST orbit data from Youhua Xu (NAOC)

A Tentative Survey Strategy

1st exposure

2nd exposure

3rd exposure

4th exposure

\(1.1^\circ\)

\(0.2^\circ\)

CSST transit

CSST microlensing

  • Expected yield (3 months, 3.6 deg\(^2\)):
    • ~100 cold exoplanets (1-10 AU);
    • ~40 free-floating planets (FFPs);
    • Transiting planets with \(P\lesssim30\) days.
  • Each Roman microlensing campaign (72 days, 2 deg\(^2\)):
    • ~200 cold planets (Penny et al. 2019);
    • ~80 FFPs (Johnson et al. 2020);
    • \(\gtrsim10^4\) transiting planets (Montet et al. 2017).
    • Key component of the US$3.2B Roman telescope (\(\geq2026\)).

Survey Expected Yield

Figure from Penny et al. (2019)

其他时域研究:掩食观测

  • 双星或系外行星
  • HST Sagittarius Window Eclipsing Extrasolar Planet Search  (SWEEPS): 7天连续观测,18万颗星,发现16个行星候选体(Sahu et al. 2006, 2007)
  • (相对)测光要求:0.1%@20 mag(海王星大小), 1%@20mag(木星大小)

15'

其他时域研究:恒星光变

  • (巨星)星震,变星,双星
  • \(\nu_{\rm max}\) & \(\Delta \nu \) \(\rightarrow\) \(M_\star\) & \(R_\star\)
  • Kepler: ~14,000 Red Giants
  • ~0.1% on \(\lesssim16^{\rm m}\)
  • 观测时间基线长于1个月

Figure from Chaplin & Miglio (2013)

Gould et al. (2015): 1M stars with Roman.

其他时域观测:太阳系天体

HST ACS 6hr exposures (Bernstein et al. 2004)

  • 银心方向接近黄道面
  • KBO自行速度:~1度/月
  • HST Advanced Camera for Surveys (ACS)观测 (Bernstein et al. 2004)
  • HST Fine Guidance Sensors (FGS) 40Hz观测occultation events (Schlichting et al. 2009, 2012)
    • <1 km KBOs.
  • 特殊的数据处理要求

观测要求

  • 观测间隔(cadence):$$ \lesssim t_\star = \frac{\theta_\star}{\mu_{\rm rel}} = 1{\rm hr} \left(\frac{R_\star}{R_\odot}\right) \left(\frac{\mu_{\rm rel}}{5 \rm mas/yr}\right) $$
  • 观测时长:\(\gtrsim3\)月
  • (相对)测光精度
    • 微引力透镜(暗星,由FFP科学决定):\(\geq 0.1\)mag
    • 掩食观测:0.1%@20 mag(海王星大小), 1%@20mag(木星大小)
    • 恒星科学(巨星星震,变星):~0.1%
  • 要求:
    • 恒星星等范围大\(\rightarrow\)对不同亮度星做PSF测光要求不同的PSF模型
    • 协调导星望远镜150秒曝光和主相机60s曝光

总结

  • 核球时域巡天搜寻系外行星
  • CSST巡天望远镜非常适合做核球区域时域巡天
    • \(\gtrsim3\)月,多波段测光
    • 微引力透镜观测,掩食观测,恒星星震,太阳系小天体
  • 对观测模式和数据处理系统的要求
    • 导星相机?
    • 如何充分利用剩余观测时间?
    • 测光精度:绝对测光和相对测光

CSST Bulge Survey

By Wei Zhu(祝伟)

CSST Bulge Survey

A talk given in Chongqing CSST workshop.

  • 631