微引力透镜:从系外行星到黑洞

Gravitational microlensing: from exoplanets to black holes

Wei Zhu (祝伟)

司天课堂

2021-3-22

微引力透镜 (Gravitational microlensing)

Paczynski (1986); Mao & Paczynski (1991)

\(t_{\rm E} \sim 30{\rm days} \left(\frac{M_{\rm L}}{M_\odot}\right)^{1/2} \)

\( t_q \sim 40{\rm min} \left(\frac{q}{10^{-6}}\right)^{1/2} \left( \frac{t_{\rm E}}{30 \rm days}\right) \)

背景恒星亮度

背景恒星

”透镜“星体

\( t_{\rm E} \)

\( t_q \)

Nature of microlenses

Milky Way

(not to scale)

Halo

Magellanic Clouds

Sun

Bulge

Disk

Bohdan Paczynski

Halo microlensing

Bulge microlensing

Microlensing probes cold planets

Animations from B. Scott Gaudi

Transit (ground)

Transit (space)

Radial velocity

Microlensing

Imaging

Figure adapted from Zhu & Dong (2021)

Hot Jupiters

Cold Jupiters

Super Earths

Cold Neptunes

Transit (ground)

Transit (space)

Radial velocity

Microlensing

Imaging

Hot Jupiters

Cold Jupiters

Super Earths

Cold Neptunes

Figure from Zhu & Dong (2021)

  • 最小质量星云模型: \(\Sigma(r) \propto r^{-3/2} \) \(\longrightarrow\) 质量(1-10 AU) > 质量(0.1-1 AU).

行星系统外部区域(特别是1-10 AU)的质量和角动量占主导 \(\longrightarrow\) 冷行星的存在和分布情况对认识整个行星系统至关重要!

冷行星的重要性

Mimimum mass extra-solar nebula

Mimimum mass solar nebula

Weidenschilling (1977); Hayashi (1981); Chiang & Laughlin (2013)

  • 成熟行星系统:

2 \(M_\oplus\)

>400 \(M_\oplus\)

Microlensing from ground: KMTNet

  • 3x1.6m telescopes with wide FoV;
  • ~10\(^8\) stars observed once every >20 min;
  • Every year ~3000 microlensing events discovered, with ~30 planet detections;
  • Current limit: planet-to-star mass ratio \(q\sim10^{-5}\).
    • ref: Earth/Sun \(q=3\times10^{-6}\).

银河系中心

1 deg

Credit to: KASI, Gould et al. (2020)

Exoplanet statistics from microlensing

  • Cold Neptunes are more abundant than cold Jupiters.
  • Cold Neptunes are perhaps the most abundant?

Figures from Suzuki et al. (2016)

(see also Gould et al. 2010, Cassan et al. 2012, Clanton & Gaudi 2014, Udalski et al. 2018, Jung et al. 2019)

Microlensing@Tsinghua

  • Real-time alert & follow-up observations (e.g. TAP), data reduction;
  • Planet search, light curve modeling;

臧伟呈

Yee, Zang, et al. (2021)

5 hr

Figure from Weicheng Zang

Cold Earths are abundant

  • 14 planets from KMTNet 2019 prime fields
  • 23 planets from MOA-II 5 yr survey.

Preliminary Result

Zang et al. (in prep)

  1. Cold lower-mass planets are more abundant than cold higher-mass ones.

    The occurrence rate is integrated to ~1planet/star.

  2. Multi-planet systems from microlensing: what can we learn?

Two-planet system OGLE-2012-BLG-0026L

Han et al. (2013), Beaulieu et al. (2016)

\red{q_1\sim 1\times 10^{-4}},~ \blue{q_2\sim 8\times 10^{-4}}

planet 2

planet 1

OB120026: a Sun-like host with a cold Jupiter & a cold Neptune

Microlensing probing projected configuration

Animations from B. Scott Gaudi

Planetary signals (~days) vs. orbital period (~years).

How to probe orbital configuration of microlensing planets

  • Light curve modeling (e.g., Gaudi++2008; Ryu++2018)
  • Radial velocity follow-up (e.g., Yee++2016 for a binary)
  • Dynamical stability

OGLE-2006-BLG-109

  • Direct imaging system HR 8799:
    • Likely double 2:1 mean-motion resonances (b & c, c & d)

Fabrycky & Murray-Clay (2010)

(see also Wang et al. 2018)

Long-term stability constrains orbital configuration of multi-planet systems

b

c

d

Marois et al. (2008)

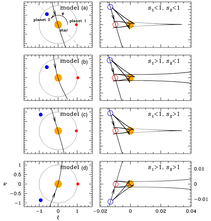
Effect of orbital orientations

planet 2

planet 1

Madsen & Zhu, 2019, ApJL, 878, 29

Dynamical stability

  • Randomize e vector
  • N-body integration
  • Reject unstable orbits

planet 2

planet 1

Hadden & Lithwick (2018)

Madsen & Zhu, 2019, ApJL, 878, 29

Pluto & Neptune

Eccentric orbits

Eccentric orbits & in MMRs

 

 

 

Nearly circular orbits & out of MMRs

Mean-motion resonances

Madsen & Zhu, 2019, ApJL, 878, 29

Compare with similar planet pairs from radial velocity (RV)

MMR

non-MMR (probably)

Madsen & Zhu, 2019, ApJL, 878, 29

Orbital evolution prefers

mean-motion resonances

Lee & Peale (2002)

Evolution of GJ 876 system

MMR

non-MMR (probably)

A pair of microlensing planets likely in

mean-motion resonance

  • Microlensing can also probe the detailed dynamical state of multi-planet systems
    1. Two planets close to each other;
    2. Azimuthal offset;
    3. Stability & evolution history --> MMRs
  • More similar systems from microlensing

Madsen & Zhu, 2019, ApJL, 878, 29

planet 2

planet 1

Sabrina Madsen

Cold planet multiplicity

  • 3 two-planet detections out of ~110 microlensing planetary systems.
  • Low detection efficiency of multi-planet systems via microlensing (~5%, Zhu et al. 2014).

Figure from Weicheng Zang

Perhaps most planetary systems have multiple planets at a few AU.

Planet mass

Semi-major axis

0.1 AU

1 AU

10 AU

\(M_\oplus\)

\(M_{\rm Nep}\)

\(M_{\rm Sat}\)

\(13~M_{\rm J}\)

Cold Jupiter

\(P({\rm CJ})\approx10\%\)

Super Earth

\(P({\rm SE})\approx30\%\)

\(P({\rm SE}|{\rm CJ}) \approx90\%\)

\(P({\rm CN}|{\rm CJ}) \sim 100\%\)

Solar system-like architecture may be common?

Figure adapted from Zhu & Dong (2021)

Multi-planet systems from microlensing

  • OGLE-2006-BLG-109L (Gaudi et al. 2008, Bennett et al. 2010);
  • OGLE-2012-BLG-0026L (Han et al. 2013, Beaulieu et al. 2016);
  • OGLE-2018-BLG-1011L (Han et al. 2019);
  • OGLE-2019-BLG-0468L (Han et al. 2022);
  • KMT-2020-BLG-0414L (Zang et al. 2011);
  • KMT-2021-BLG-1077L (Han et al. 2022);
  • ...

>1 per yr

1 per 6 yr

  1. Cold lower-mass planets are more abundant than cold higher-mass ones.

    The occurrence rate is integrated to ~1planet/star.

  2. Cold planets frequently have companions.

    Microlensing allows to constrain the orbital configuration of multi-planet systems.
  3. Detecting BHs via microlensing

Nature of microlenses

Microlensing toward the bulge:

White dwarf (WD): 17%

Neutron star (NS): 3%

Black hole (BH): ~1%

How can we tell BH lenses from normal lenses?

微引力透镜 (Gravitational microlensing)

Paczynski (1986); Mao & Paczynski (1991)

\(t_{\rm E} \sim 30{\rm days} \left(\frac{M_{\rm L}}{M_\odot}\right)^{1/2} \)

背景恒星亮度

背景恒星

”透镜“星体

\( t_{\rm E} \)

First microlensing BH candidate?

Mao et al. (2002)

(see also Bennett+2002, Agol+2002)

OGLE-1999-BUL-32: \( t_{\rm E} = 640 \) days

\( t_{\rm E} = \frac{\theta_{\rm E}}{\mu_{\rm rel}} \approx f(M_{\rm L}, D_{\rm L}, \mu_{\rm rel}) \)

Microlensing parallax

Figures from Sahu et al. (2022, left) and Wyrzykowski et al. (2016, right)

Microlensing parallax: an observable more sensitive to mass

Image credit: Bill Saxton, NRAO/AUI/NSF

  • Parallax (absolute): \( \pi \equiv \frac{\rm au}{d} \)
  • Microlensing parallax: $$ \pi_{\rm E} \equiv \frac{\pi}{\theta_{\rm E}} \approx f(M_{\rm L}, D_{\rm L})$$

Parallax effect in BH event

Typical BH events have

  • long timescales (\(t_{\rm E} \gtrsim 100 \) d);
  • small parallaxes (\(\pi_{\rm E} \lesssim 0.05\)).

Combining timescale & parallax

  • Event timescale $$ t_{\rm E} \propto \theta_{\rm E} \propto M^{1/2} $$
  • Microlensing parallax $$ \pi_{\rm E} \propto \theta_{\rm E}^{-1} \propto M^{-1/2} $$

3 unknowns: \(M\), \(D\), \(\mu\)

2 observables: \(t_{\rm E}\), \(\pi_{\rm E}\)

Karolinski & Zhu (2020)

Finding BH events: previous attempts

(See also Mao et al. 2002; Bennett et al. 2002)

  • Wyrzykowski et al. (2016) searched for BH events in >3600 events that were found by OGLE-III survey.
  • Out of 59 events that showed parallax effect, they identified
    • 13 events with dark lenses (WD, NS, or BH), 2 of which are likely BHs.

Parallax effect in BH event is undetectable

(except for very rare cases)

Karolinski & Zhu (2020)

(see also Ma, Zhu, & Yang, 2022 submitted)

First isolated stellar-mass BH from microlensing?

First isolated stellar-mass BH from microlensing?

  • Photometric & (HST) astrometric microlensing:
    • \(M_{\rm L} = 7.1 \pm 1.3 M_\odot \) (Sahu et al. 2022)
    • \(1.6<M_{\rm L}/M_\odot < 4.5\) (Lam et al. 2022)
  • Difference coming from the parallax determination:
    • \( \pi_{\rm E}=0.089 \pm0.014 \) (Sahu et al.) or \(0.13-0.3\) (Lam et al.)

  1. Cold lower-mass planets are more abundant than cold higher-mass ones.

    The occurrence rate is integrated to ~1planet/star.

  2. Cold planets frequently have companions.

    Microlensing allows to constrain the orbital configuration of multi-planet systems.
  3. Microlensing can detect isolated BHs & BH binaries with wide separations.

    Constraining the parallax effect to a good precision is the key.

Summary

Future prospect: Microlensing from space

  • Higher resolution:Individual stars resolved.
  • Deeper observations
    • More stars \(\rightarrow\) More microlensing events
    • Smaller stars \(\rightarrow\) Lower-mass planets

CSST transit

CSST microlensing

3'

9"

Images from Pietrukowicz et al. (2019)

  • Expected yield (3 months, 3.6 deg\(^2\)):
    • ~100 cold exoplanets (1-10 AU);
    • ~40 free-floating planets (FFPs);
    • Transiting planets with \(P\lesssim30\) days.

Future prospect: Disk microlensing

  • E.g., ASASSN microlensing, ZTF microlensing, Gaia microlensing, etc.

银河系中心

  1. Cold lower-mass planets are more abundant than cold higher-mass ones.

    The occurrence rate is integrated to ~1planet/star.

  2. Cold planets frequently have companions.

    Microlensing allows to constrain the orbital configuration of multi-planet systems.
  3. Microlensing can detect isolated BHs & BH binaries with wide separations.

    Constraining the parallax effect to a good precision is the key.
  4. Future prospects

    • Space-based microlensing, Disk microlensing

Summary

microlensing planets & black holes

By Wei Zhu(祝伟)

microlensing planets & black holes

A seminar talk on microlensing at NAOC.

  • 1,118