An Inclusive View of Planetary Systems

Wei Zhu (祝伟)

TDLI Astrophysics Workshop

2018 December 20

HATNet

Keck

KMTNet

Kepler

Mayor & Queloz (1995)

Charbonneau et al. (2000)

Gillon et al. (2017)

Bond et al. (2003)

Hot Jupiters

Cold Jupiters

Cold Neptunes

Super Earths

Data from NASA Exoplanet Archive

(1%)

(10%)

(30%)

(?)

Image from  Maruyama & Ebisuzaki (2017)

A Comprehensive Picture of

Planet Formation & Evolution

What is the initial condition (i.e., disk model)?

Do planets migrate in the gas disk?

Anything happens after disk disappears?

(See also R. Dong's talk)

Snow line

Minimum-mass solar/extra-solar nebula:

Weidenschilling (1977); Hayashi (1981)

\Sigma(r) \propto r^{-3/2}
Σ(r)r3/2\Sigma(r) \propto r^{-3/2}

The outer region dominates the mass and angular momentum budget

Nebula Model

Mimimum mass extra-solar nebula

Mimimum mass solar nebula

Chiang & Laughlin (2013)

(see also Schlichting 2014)

Planet Migration

Image credit: P. Armitage

  • Transfers mass
  • Changes orbital configuration: more mean-motion resonance

Image credit: M. Rex

Dynamical Instability

Credit: Raymond, Izidoro, & Morbidelli (2018)

  • Transfers angular momentum (deficit)

 

  • Modifies orbital spacing, eccentricity, inclinations

 

  • Cold giants, if exists, play dominant roles

Super Earths alone

w/ outer Giants

HATNet

Keck

KMTNet

Understanding Planet Formation from Data

(by correlating different planets and planet populations)

Hot Jupiters

(~1%)

Cold Jupiters

(~10%)

Cold Neptunes

(?)

Super Earths

(30%)

Kepler Mission

  • 1-m space telescope
  • 10^5 target stars
  • 4-yr observations
  • ~5000 exoplanet detection (incl. 0 Earth-like)

Image credit: NASA/Ames, Batalha (2014)

Cui et al. (2012); Zhao et al. (2012); De Cat et al. (2015); Zong et al. (2018)

LAMOST-Kepler Survey

  • 4mx6m; 5 deg^2 FoV
  • 4000 fibers/plate
  • ~40% of Kepler stars surveyed by 2017

If no dynamical instability...

  • Planets very often reside in multi-planet systems

 

  • Multi-planet systems are flat (<~5 deg); planets have (nearly) circular orbits

 

  • Multi-planet systems should be well regulated (size & spacing)
  • Planets very often reside in multi-planet systems

Architecture Revealed by

Kepler Mission

  • Multi-planet systems are flat
  • Multi-planet systems should be well regulated (size & spacing)

Image credit: NASA/Ames, Shallue & Vanderburg (2017)

Kepler Dichotomy?

Ballard & Johnson (2016)

(See also Lissauer et al. 2011, Johansen et al. 2012)

  • If assuming small mutual inclinations, two populations are needed:
    • compact systems
    • 1-planet systems (or 2-planet with large mutual inclinations)

Transiting Planets (Tranets) vs. Planets

mutual inclination

No Sign for Kepler Dichotomy

Zhu et al. (2018)

(See also Xie et al. 2016, Weiss et al. 2018)

One-tranet hosts

Multi-tranet hosts

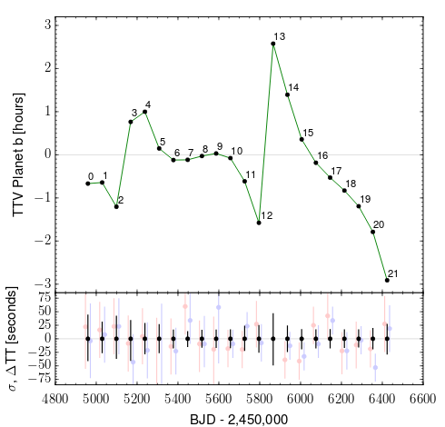
Transit Timing Variation (TTV)

  • No interaction

 

 

 

  • Interaction with additional planet

Holman & Murray (2005); Agol et al. (2005)

TTV Applications

Becker et al. (2015); Almenara et al. (2018)

  • Characterizing known planets
  • Detecting additional planets

Transit + TTV

  • Number of systems with k transiting planets
    • ~50% in transit singles
  • # of systems with k transiting planets AND at least one showing TTV signals (Holczer++16)
    • ~50% in transit singles
  • Majority of transit singles are actually multi-planet systems with large mutual inclinations

 

Zhu, Petrovich, Wu et al., 2018

Transit singles

Transit multis

Intrinsic Architecture

{\rm inclination~dispersion~of~} \\ k{\rm -planet~system} \propto k^\alpha
inclination dispersion of kplanet systemkα{\rm inclination~dispersion~of~} \\ k{\rm -planet~system} \propto k^\alpha

Zhu, Petrovich, Wu et al., 2018

Planet-planet mutual inclinations affect the occurrence rate of planetary systems

{\rm \#~of~planetary~systems} = \frac{\rm \#~of~detected~systems}{\rm detectability~of~individual~system}
# of planetary systems=# of detected systemsdetectability of individual system{\rm \#~of~planetary~systems} = \frac{\rm \#~of~detected~systems}{\rm detectability~of~individual~system}

mutual inclination

Planet-planet mutual inclinations affect the occurrence rate of planetary systems

{\rm \#~of~planetary~systems} = \frac{\rm \#~of~detected~systems}{\rm detectability~of~individual~system}
# of planetary systems=# of detected systemsdetectability of individual system{\rm \#~of~planetary~systems} = \frac{\rm \#~of~detected~systems}{\rm detectability~of~individual~system}

Fraction of Sun-like stars with planets

  • >50% (Fressin et al. 2013; Petigura et al. 2013; Winn & Fabrycky 2015)

 

  • 30% (Zhu, Petrovich, Wu et al. 2018)

Kepler Planets Also Have Significant Eccentricities

\frac{P^2}{4\pi^2} = \frac{a^3}{GM_\star} = \frac{3(a/R_\star)^3}{4\pi G\rho_\star}
P24π2=a3GM=3(a/R)34πGρ\frac{P^2}{4\pi^2} = \frac{a^3}{GM_\star} = \frac{3(a/R_\star)^3}{4\pi G\rho_\star}
\rightarrow T_0 \propto P^{1/3} \rho_\star^{-1/3}
T0P1/3ρ1/3\rightarrow T_0 \propto P^{1/3} \rho_\star^{-1/3}
T_0 = \frac{2R_\star}{2\pi a /P}
T0=2R2πa/PT_0 = \frac{2R_\star}{2\pi a /P}

Seager & Mallen-Ornellas (2003)

Xie, Dong, et al. (2016)

(see also Van Eylen et al. 2018)

Intrinsic Architecture of

Inner Planetary System

  • 30% of Sun-like stars have Kepler planets

 

  • Fewer-planet systems are dynamically hotter

 

  • Each system has on average 3 planets

 

  • Our solar systems fits "well" in this picture
i,~e \propto k^\alpha
i, ekαi,~e \propto k^\alpha

Zhu, Petrovich, Wu et al., 2018

Orbital eccentricity

  • Planets very often reside in multi-planet systems: Yes
  • Multi-planet systems are flat: No
  • Multi-planet systems should be well organized (size & spacing): Maybe

Zhu, Petrovich, Wu et al., 2018

Intrinsic Architecture of

Inner Planetary System

Dynamical Instability Excites e, i

Kai Wu (吴开), et al. (in prep)

(see also Hansen & Murray 2013, Huang et al. 2017, etc)

Inner system alone cannot excite large enough mutual inclinations and eccentricities

Where Super Earths Form?

  • In situ
    • Requires a massive disk
  • Migration
    • Normal disk can work
    • Mean-motion resonance pile-ups

Evidence for In Situ Formation?

  • Period ratio distribution shows no preference for MMR pile-ups (Lissauer et al. 2011; Fabrycky et al. 2014)
  • Asymmetry around period commesurability is a natural outcome of in situ formation (Petrovich et al. 2013)

Image from Winn & Fabrycky (2015)

Not conclusive: dynamical instability can modify the dynamical state

Where Super Earths Form?

  • In situ
    • Requires a massive disk
    • More inner super Earths, more outer cold Jupiters
  • Migration
    • Normal disk can work
    • More inner super Earths, fewer outer cold Jupiters

Super Earth-cold Jupiter relation

Cold Jupiters

Super Earths

Using data from NASA Exoplanet Archive

P({\rm CJ}|{\rm SE})
P(CJSE)P({\rm CJ}|{\rm SE})

(Plus another 22 systems from Kepler)

Zhu & Wu, 2018, AJ, 156, 92

(see also Bryan et al.2018)

Super Earth-cold Jupiter relation

Cold Jupiters

Super Earths

Using data from NASA Exoplanet Archive

P({\rm CJ}|{\rm SE}) \approx 33\% {\rm ~vs.~} P({\rm CJ})=10\%
P(CJSE)33% vs. P(CJ)=10%P({\rm CJ}|{\rm SE}) \approx 33\% {\rm ~vs.~} P({\rm CJ})=10\%
  • Cold Jupiters are more likely found in super Earth systems.

Zhu & Wu, 2018, AJ, 156, 92

(see also Bryan et al.2018)

(Plus another 22 systems from Kepler)

Super Earth-cold Jupiter relation

Cold Jupiters

Super Earths

Using data from NASA Exoplanet Archive

Zhu & Wu, 2018, AJ, 156, 92

(see also Bryan et al.2018)

P({\rm CJ}|{\rm SE}) \approx 33\% {\rm ~vs.~} P({\rm CJ})=10\%
P(CJSE)33% vs. P(CJ)=10%P({\rm CJ}|{\rm SE}) \approx 33\% {\rm ~vs.~} P({\rm CJ})=10\%
  • Cold Jupiters are more likely found in super Earth systems.
  • Cold Jupiters are (almost) always accompanied by super Earths.
P({\rm SE}) = 30\%
P(SE)=30%P({\rm SE}) = 30\%
P({\rm SE}|{\rm CJ}) = \frac{P({\rm SE})}{P({\rm CJ})} P({\rm CJ}|{\rm SE}) \approx 100\%
P(SECJ)=P(SE)P(CJ)P(CJSE)100%P({\rm SE}|{\rm CJ}) = \frac{P({\rm SE})}{P({\rm CJ})} P({\rm CJ}|{\rm SE}) \approx 100\%

(Plus another 22 systems from Kepler)

Being confirmed by TESS!

10 M_{\rm J}\\ 3~{\rm AU}\\ e=0.6
10MJ3 AUe=0.610 M_{\rm J}\\ 3~{\rm AU}\\ e=0.6
5 M_\oplus\\ 6~{\rm d}
5M6 d5 M_\oplus\\ 6~{\rm d}

Huang et al., (2018)

(see also Gandolfi et al. 2018)

  • All-sky survey, bright stars
  • 27 days per sector
  • Looking for close-in planets around nearby stars

Transiting Exoplanet Survey Satellite

HATNet

Keck

KMTNet

Kepler

Hot Jupiters

(~1%)

Cold Jupiters

(~10%)

Cold Neptunes

Super Earths

(30%)

Data from NASA Exoplanet Archive

Hot Jupiters have distant companions

(Knutson et al. 2014, etc)

Hot Jupiters are lonely(?) (Steffen et al. 2010)

Super Earths & cold Jupiters tend to co-exist

(Zhu & Wu 2018)

An Inclusive View of Planetary Systems

(Un)Popularity of Solar system

P({\rm no~SE,~CJ}) = [1-P({\rm SE}|{\rm CJ})] \times P({\rm CJ}) \\ \approx 1\%
P(no SE, CJ)=[1P(SECJ)]×P(CJ)1%P({\rm no~SE,~CJ}) = [1-P({\rm SE}|{\rm CJ})] \times P({\rm CJ}) \\ \approx 1\%

Zhu & Wu, 2018, AJ, 156, 92

Hot Jupiters

(~1%)

Cold Jupiters

(~10%)

Cold Neptunes

Super Earths

(30%)

Hot Jupiters have distant companions

(Knutson et al. 2014, etc)

Hot Jupiters are lonely(?) (Steffen et al. 2010)

Super Earths & cold Jupiters tend to co-exist

(Zhu & Wu 2018)

  • Solar system has no super Earth (~70%)
  • Solar system has cold Jupiter (10%)

Inner-outer correlation

P({\rm SE}|{\rm CJ}) = 100\% \left( \frac{N_{\rm in,out}/N_{\rm out}}{5/12} \right) \left( \frac{R_\star/a_{\rm in}}{0.03} \right)^{-1} \left( \frac{i_0}{4^\circ} \right)
P(SECJ)=100%(Nin,out/Nout5/12)(R/ain0.03)1(i04)P({\rm SE}|{\rm CJ}) = 100\% \left( \frac{N_{\rm in,out}/N_{\rm out}}{5/12} \right) \left( \frac{R_\star/a_{\rm in}}{0.03} \right)^{-1} \left( \frac{i_0}{4^\circ} \right)

Herman, Zhu, & Wu (in prep)

i_0 \propto k^{-2}
i0k2i_0 \propto k^{-2}

1 yr

  1. 12 long-period giants in Kepler data
  2. 5 have inner transiting companions
  3. 1 has five inner planets:

Inner and outer regions correlate in occurrence rate & dynamical states

HATNet

Keck

Summary & Future Directions

Hot Jupiters

(~1%)

Cold Jupiters

(~10%)

Cold Neptunes

(?)

Super Earths

(30%)

  • Planet formation is a global process
  • Systems with more planets are dynamically colder --> dynamical instability happened
    • How was the gas envelop preserved/regained?
  • Inner and outer planetary systems show strong correlations --> in situ formation for super Earths
    • What suppressed disk migration?
  • What is the architecture of outer region down to lower masses (i.e., cold Neptune population)?

Inner

Outer

Hot Jupiters have distant companions

(Knutson et al. 2014, etc)

Hot Jupiters are lonely(?) (Steffen et al. 2010)

Super Earths & cold Jupiters tend to co-exist

(Zhu & Wu 2018)

Gaia, TESS, & RV Follow-ups

  • TESS (2018-2020?) looks for close-in small planets; 1000s detections
  • Gaia (2014-2024?) looks for distant giant planets; 1000s detections
  • A ground-based RV instrument (2-4M USD) on a 2-4 m telescope has lots of science to do!

Space-based Microlensing

  • WFIRST: NASA mission; 2.4 m; 1yr/5yr dedicated to microlensing; >2028
  • Chinese Space Telescope (CST): ~2 m, detached to space station; early 2020s?

Penny et al. (2018)

(see also Zhu et al. 2014; 2017)

HATNet

Keck

Summary & Future Directions

Hot Jupiters

(~1%)

Cold Jupiters

(~10%)

Cold Neptunes

(?)

Super Earths

(30%)

  • Planet formation is a global process
  • Systems with more planets are dynamically colder --> dynamical instability happened
    • How was the gas envelop preserved/regained?
  • Inner and outer planetary systems show strong correlations --> in situ formation for super Earths
    • What suppressed disk migration?
  • What is the architecture of outer region down to lower masses (i.e., cold Neptune population)?

Inner

Outer

Wei Zhu (祝伟), CITA

Thanks for your attention!

Backup Slides

Things to improve on:

  • Too much material to cover --> remove the microlensing part (could briefly mention it in the end, with 1 slide)
  • Segmented topics --> unify everything into a single big question: how super Earths form?
    • Theoretical motivation: in situ vs. migration
    • Studying relations with CJ can help distinguish them
    • This requires knowing P(SE)
  • More theoretical stuff on the architecture(?):
    • Why large mutual inclinations are hard to produce?
    • Why 3 planets/system is  an important result?
    • Future explorations?

Talk Structure

  • 1-slide overview of observations (techniques & results)
  • Comprehensive overview of planet formation and evolution
  • Kepler's puzzles
    1. How common are Kepler-like systems?
    2. Kepler dichotomy?
    3. How do super Earths form? (With focus on where they form)
  • Summary
  • Future directions
    1. TESS, Gaia follow-ups
    2. Space-based microlensing surveys

Kepler planets:

- Typical radii 1-4 R_Earth

- Close-in orbit

- Compact system

Kepler Telescope

Planets Migrate (or not?)

Credit: Cley & Nelson (2012)

Dynamical Instability?

Credit: M. Clement

Architecture of Planetary System

mutual inclination

  • How many stars have (1, 2, ...) planets?

 

  • What is the relative configuration of planetary orbits?
    • Period distribution (=orbital spacing)
    • Orbital inclinations

 

Hot Jupiter as (counter?) example

Tidal migration In situ formation Disk migration
Cold Jupiters Yes -- --
Super Earths No Yes Yes

Dawson & Johnson (2018)

Origin of Dynamical Hot State

Credit: C. Petrovich, with data from Hansen & Murray (2013)

Xie, Dong, et al. (2016)

  • Transiting planets (tranets) vs. planets

 

 

 

 

 

 

 

  • # of planets vs. # of planetary systems

Gravitational microlensing

Mao & Paczynski (1991), Gould & Loeb (1992), Gaudi (2012)

  • Timescale: ~month
  • Planet-to-star mass ratio
  • Projected separation

Microlensing probes planets

beyond snow line

Gaudi (2012, ARAA)

WFIRST

Two-planet event OGLE-2012-BLG-0026

planet 2

planet 1

Han et al. (2013)

Both planets inside Einstein ring

Both planets outside Einstein ring

HATNet

Keck

KMTNet

Kepler

Hot Jupiters

(~1%)

Cold Jupiters

(~10%)

Cold Neptunes

Super Earths

(30%)

Data from NASA Exoplanet Archive

Friends of hot Jupiters (Knutson et al. 2014, etc)

Hot Jupiters are lonely(?) (Steffen et al. 2010)

Super Earth-cold Jupiter relations

(Zhu & Wu 2018, Bryan et al. 2018)

An Inclusive View of Planetary Systems

1. Two planets near resonance

2. P(CN|CJ)~100%

Work done by Sabrina Madsen (UBC)

50~M_\oplus~{\rm planet~not~predicted}\\ {\rm by~core~accretion~theory}
50 M planet not predictedby core accretion theory50~M_\oplus~{\rm planet~not~predicted}\\ {\rm by~core~accretion~theory}

Pollack et al. (1996)

Madsen & Zhu (in prep)

Face-on                               Edge-on

Effect of orbital orientations

Introducing eccentricity

Madsen & Zhu (in prep)

Introducing eccentricity

Madsen & Zhu (in prep)

Pluto & Neptune

Io, Europa, & Ganymede

Mean-motion resonance

Compare with known RV pairs

Madsen & Zhu (in prep)

Systems with cold Jupiters probably commonly have cold Neptunes

  • A single detection out of ~20 microlensing systems with Sun-like hosts
  • Low detection efficiency for Neptunes (~5%, Zhu et al. 2014).
  • Perhaps all cold Jupiter systems also have cold Neptunes: P(CN|CJ)~100%.
  • Mean-motion resonances may also be common.

Fraction of stars w/ planets is fundamental

  • Tracing the planet formation efficiency as a function of stellar properties (mass, metallicity, etc)

Fischer & Valenti (2005)

f \propto Z^2 \propto N_{\rm Fe}^2
fZ2NFe2f \propto Z^2 \propto N_{\rm Fe}^2

Individual misaligned system: Kepler-108

Mills & Fabrycky (2017)

24 deg

Evidence from dynamical instability

Zhu & Wu, 2018, AJ, 156, 92

(including data from California-Kepler Survey, Petigura et al. 2017)

  • (Undetectable) Cold Jupiters appear in high-metallicity, perturbing the inner system.

Small planet-metallicity correlation

Zhu, arXiv:1808.09451

(Un)Popularity of Solar system

  • Conservative definition of Solar system-like?
  • Dynamical evolution in early days?

Batygin & Laughlin (2015)

Evidence from dynamical instability

Zhu & Wu, 2018, AJ, 156, 92

  • (Undetectable) Cold Jupiters appear in high-metallicity, perturbing the inner system.

w/ <=3 planets




w/ >=4 planets

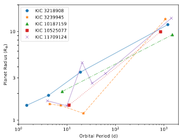
Orbital solution of microlensing system

OGLE-2006-BLG-109: A Jupiter/Saturn analog

Gaudi et al. (2008); Bennett et al. (2010)

Orbital solution of microlensing system

Ryu (incl. Zhu) et al. (2018)

OGLE-2016-BLG-1190

OB0026: Sun-like host with a cold Jupiter & a cold Neptune

Beaulieu, Bennett, et al. (2016)

Compare with HR 8799

  • Likely double 2:1 mean-motion resonances (b & c, c & d)

Fabrycky & Murray-Clay (2010)

(see also Wang et al. 2018)

b

c

d

Demographics (TDLI)

By Wei Zhu(祝伟)

Demographics (TDLI)

presentation on exoplanet demographics at TDLI on Dec 20, 2018

  • 1,738