Jupiter dilute core

Wei Zhu (祝伟)

Thursday group meeting

2020-07-09

Papers presenting dilute core models: Wahl et al. (2017); Debras & Chabrier (2019)

A recent review on Jupiter: Stevenson (2020)

Juno & Jupiter's gravity field

  • Juno will measure Jupiter's composition, gravity field, magnetic field, and polar magnetosphere.
  • External gravitational potential of rotating body:

\( V(r, \theta) = \frac{GM}{r} \left[ 1- \sum_{n=1} J_{2n} \left(\frac{a}{r}\right)^{2n} P_{2n} (\cos{\theta}) \right] \)

\(J_{2n}\): gravitational moments (zonal harmonic coefficients);

\(P_{2n}\): Legendre polynomial;

\(\theta\): angle to the rotational axis.

2016-2021

Jupiter's gravitational moments

  • Even harmonics probe the shape and density distribution.
  • Odd harmonics probe the dynamical processes that are not north-south symmetric.

Image credit: James Tuttle Keane

Infer Jupiter's deep interior

  • Higher harmonics probe the outer regions of the planet;
  • If the outer regions are constrained by other measurements, then higher harmonics can probe the deep interior (i.e., core region).

Galileo satellite

Galileo entry probe

Image credit: NASA

Jupiter interior model

  • Why 3 layers instead of 2 layers?
  • Why diffuse core instead of compact core?

Image credit: Stevenson (2020)

Jupiter's two-layered atmosphere

Immiscible liquid: oil on up of water

Image credit: Marley & Fortney, Encyclopedia of the Solar System

Jupiter's two-layered atmosphere

"Helium rain"

(Stevenson & Salpeter, 1977a, b)

Jupiter interior model

  • Hydrostatic equilibrium

$$ \nabla P = \rho \nabla (V_g+V_{cf}) $$

  • Gravitational potential \( V_g\)
  • Centrifugal potential: \( V_{cf} \)
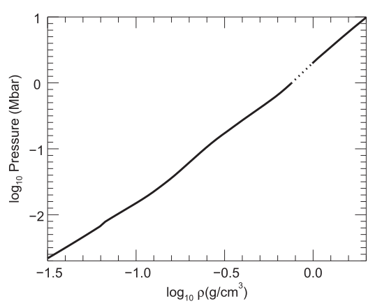
  • Isentropic equation of state: $$ P=P(\rho) $$

molecular layer

metallic layer

different entropy

Jupiter dilute core

"standard" model

A dilute core is preferred, in addition to an enhanced entropy offset or a reduced molecular layer metallicity (less likely).

A more "realistic" model:

4-layer model

Debras & Chabrier (2019)

Image credit: Stevenson (2020)

Summary

  • Inferring Jupiter interior from gravity measurements
    • Higher harmonics probe outer surface;
    • Juno's gravity measurements & Galileo's surface layer constraint --> core property
  • Model of Jupiter interior
    • Envelope: at least 2 layers because of He rain;
    • Dilute core

Jupiter dilute core

By Wei Zhu(祝伟)

Jupiter dilute core

A talk at the Thursday group meeting about Jupiter's dilute core.

  • 1,417