圖論
Graph Theory
BY:覺得圖論很難的Yeedrag
圖論很難 加油ㄅ
應該說接下來兩堂都很難w
wat is 圖論 owo?

Den wat is 圖?
一堆點+一堆線。

嚴格解釋:點的集合加上邊的集合
一些你需要知道的名詞:
點
圖上的一個個點。
邊
圖上的一個個邊。
環
只有第一個和最後一個頂點重複的路徑。
邊的方向性
有些邊,我們可能會限定只能從一側到另一側,而不能雙向通行,我們稱之為有向邊。
點權/邊權
在點/邊上面定義的權重。
3
點度
一個點共連接了幾條邊。
對於有向圖,又會分為:
1.入度 (通往這個點的邊數)
2.出度(離開這個點的邊數)
點與點間的關係
1.相鄰:兩點直接連接
2.連通:兩點間存在路徑
A
B
C
(A,B),(B,C)相鄰且連通
(A,C)(A,C)間則只有連通
圖ㄉ分類:
有向圖
有方向的圖
btw,如果是有向無環圖(DAG),
可以做拓撲排序(Topological Sort)喔!
可能下學期還啥的會教.jpg
無向圖
沒有方向的圖
連通圖
圖上每個點都與其他點連通
樹
除了根節點外
每個節點都有一個母節點與一或多個子節點
or
邊的數量為\(V-1\)的連通圖

現實的樹

程式的樹
畫成圖後
A
B
C
F
G
H
E
D
根節點
葉節點
父節點
子節點
無情開偷學長動畫爽阿刺阿
一些樹的重要性質
-
保證無環
-
\(V-1\)個邊
完全圖
任意兩點都相連
*二分圖
可以被切為兩個不相連的點集
水la 名詞解釋好ㄌ
可以開始正課了! ⁽⁽٩(๑˃̶͈̀ ᗨ ˂̶͈́)۶⁾⁾
How do I 存 the 圖?
-
相鄰矩陣
-
相鄰串列
相鄰矩陣
建一個\(V*V\)的矩陣,
\((i,j)\)項表示\(i\)跟\(j\)是否相鄰(or存邊權)
example:
1
2
3
4
5
6
| 1 | 2 | 3 | 4 | 5 | 6 | |
|---|---|---|---|---|---|---|
| 1 | 0 | 1 | 1 | 0 | 0 | 1 |
| 2 | 1 | 0 | 0 | 0 | 0 | 0 |
| 3 | 1 | 0 | 0 | 1 | 1 | 0 |
| 4 | 0 | 0 | 1 | 0 | 0 | 0 |
| 5 | 0 | 0 | 1 | 0 | 0 | 0 |
| 6 | 1 | 0 | 0 | 0 | 0 | 0 |
相鄰串列
開\(V\)個串列
對於第\(i\)個點,存\(i\)點相鄰的邊
example:
| 1 | 1,2,6 |
|---|---|
| 2 | 1 |
| 3 | 1,4,5 |
| 4 | 3 |
| 5 | 3 |
| 6 | 1 |
1
2
3
4
5
6
Which is better?
空間複雜度:
相鄰矩陣是\(O(V^2)\)
相鄰串列是\(O(V)\)
時間複雜度:
遍歷:
矩陣是\(O(V^2)\)
串列是\(O(V)\)
是否相鄰:
矩陣:\(O(1)\) , 串列:\(O(V)\)
兩種的寫法:
int graph_1[V][V];
int main(){
int n;
cin>>n;
for(int i=0;i<n;i++){
int a,b;
cin>>a>>b;
graph[a][b] = 1;
//graph[b][a] = 1;
}
}vector<int> graph[V];
int main(){
int n;
cin>>n;
for(int i=0;i<n;i++){
int a,b;
cin>>a>>b;
graph[a].push_back(b);
//graph[b].push_back(a);
}
}帶權vector就存pair!
圖的遍歷
BFS/DFS
快速穿插小技巧
遍歷一個陣列,通常我們都是
for(int i=0;i<n;i++){
arr[i]......
}可以用
for(auto i:arr){
// i is every element
// in the array
}
for(auto &i:arr){
//如果會更動到arr裡的值
//i前面要加&!
}想想看,你玩遊戲時搜索
地牢的時候會用甚麼策略?
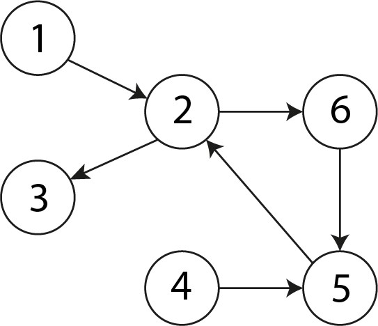
深度優先搜尋(DFS)
優先往深的地方一直走!
1
2
3
4
5
6
順序:1->2->3->4->5->6
實作?
一直探到底才回來前面先碰到的....
可以用遞迴(或stack)!
DFS實作
bool visited[V+1];
void dfs(int v){
visited[v] = true;
/*
做想在遍歷時做的事
*/
for(auto i:graph[v]){
if(!visited[i.first]){
dfs(i.first);
//還沒遇過就dfs下去
} else {
continue;
}
}
}廣度優先搜尋(BFS)
有先遇到的就先走!
1
2
3
4
5
6
順序:1->2->3->6->4->5
實作?
先遇到先做...
Queue!
BFS實作
bool visited[V+1];
void bfs(int start){
queue<int> que;
que.push(start)//把第一個點push進queue
visited[start] = true;//已造訪
while(que.size()){//當還有東西時
/*
做你在遍歷時想做的事
*/
for(auto i:graph[que.front()]){
if(!visited[i.first]){
visited[i.first] = true;
que.push(i.first);
}
}
que.pop();
}
}實作重點們:
一定要記得紀錄是否造訪過,
否則您將吃TLE一枚。
BFS要在推入前就記錄造訪過,
不然遇過的有機會再被推一次
實作練習:
需要紀錄距離的BFS
實作練習:
BFS的裸題
實作練習:
可以說是遞迴練習的DFS/BFS題目
實作練習:
要回推移下的題目.w.
實作練習:
難度有點高的BFS
圖論
By yeedrag
圖論
- 1,074