Presentations
Templates
Features
Teams
Pricing
Log in
Sign up
Log in
Sign up
Menu
introduction to Git
What is VCS?
A version control system is a system that allows you to control and manage different versions of your source code
How would you manage file versions without VCS?
How would you design a version control system?
Git Basic workflow
Working directory
Staging area
Local repo
Remote repo
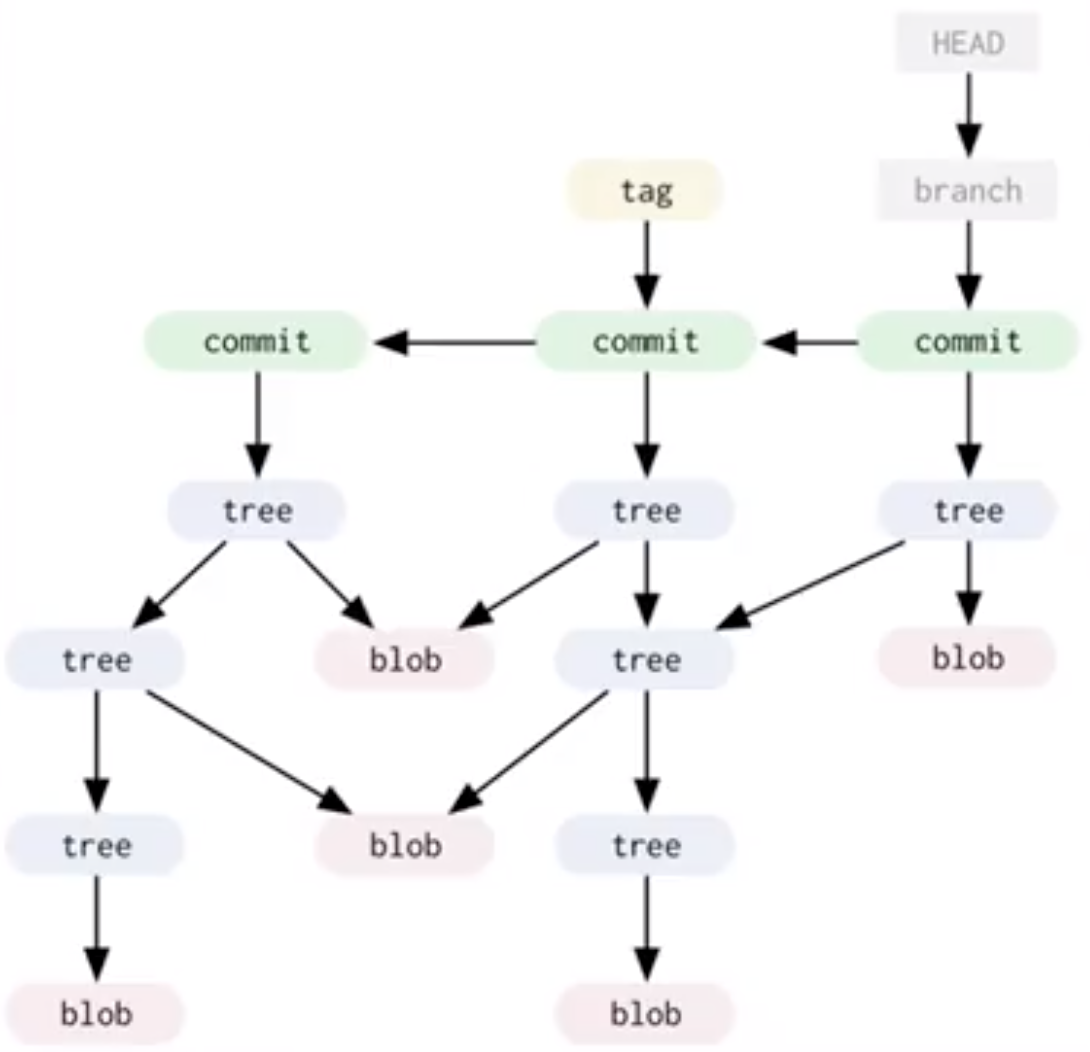
How git works
HEAD
Branch
Tree
Commit
Blob
merging & rebasing
Both merging and rebasing are designed to integrate changes from one branch into another
Merging: always creates a special commit called merge commit
Rebasing: no additional commit is created, thus resulting in cleaner commit history; keeps commit history linear
Rule of thumb: prefer rebasing when you are on feature branch
git rebase origin/master
github pages
Free static website hosting service
How to do it?
GIT WILL BE YOUR LIFETIME FRIEND!
Coding Ninjas Bootcamp - Class 2: Git
By Zico Deng
Made with Slides.com
Coding Ninjas Bootcamp - Class 2: Git
Introduction to Git
180
Zico Deng
More from
Zico Deng