Bence Bakó, Adam Glos, Özlem Salehi, Zoltán Zimborás
Simultaneous resources reduction for quantum optimization - FUNC-QAOA

Quantum annealing
- Used mostly (and currently) for combinatorial optimization
- Natively for quantum annealers
- encodes the problem into the Ising model
$$H(s) = -\sum_{i,j}J_{ij}s_is_j - \sum_i h_i s_i$$
- Follows the adiabatic evolution defined through time-dependent Hamiltonian
\(H(t) = (1-t/T) \:H_{\rm mix} + t/T\: H\)
\(T\) very large
very slow evolution

Variational Quantum Eigensolver
- Used for general Hamiltonian
- For gate-based model
- Optimizes predefined ansatz according to \( \langle \psi(\theta) | H | \psi(\theta)\rangle\)
- \(\theta\) optimized by external classical procedure
- ansatz in principle has no information about the problem

Quantum Approximate Optimization Algorithm
- A mixture of quantum annealing and VQE
- For gate-based model and combinatorial optimization
- encodes the problem into the circuit
$$|p,r\rangle = \prod_{i=1}^k \exp(-\mathrm{i} p_iH_{\rm mix})\exp(-\mathrm{i} r_iH) |+^n\rangle $$
- \(p_i\) and \(r_i\) optimized by external classical procedure
- Since the problem is encoded into the circuit - how to minimize resources needed?
\(H(t) = (1-t/T) \:H_{\rm mix} + t/T\: H\)
Quality measures
- number of physical qubits
- effective space size
- number of gates
- number of parameterized gates
- depth
- depth on LNN
- energy span

Max-\(K\)-Cut

- Graph as an input
- \(K\) colors
- maximize number of edges connecting different colors
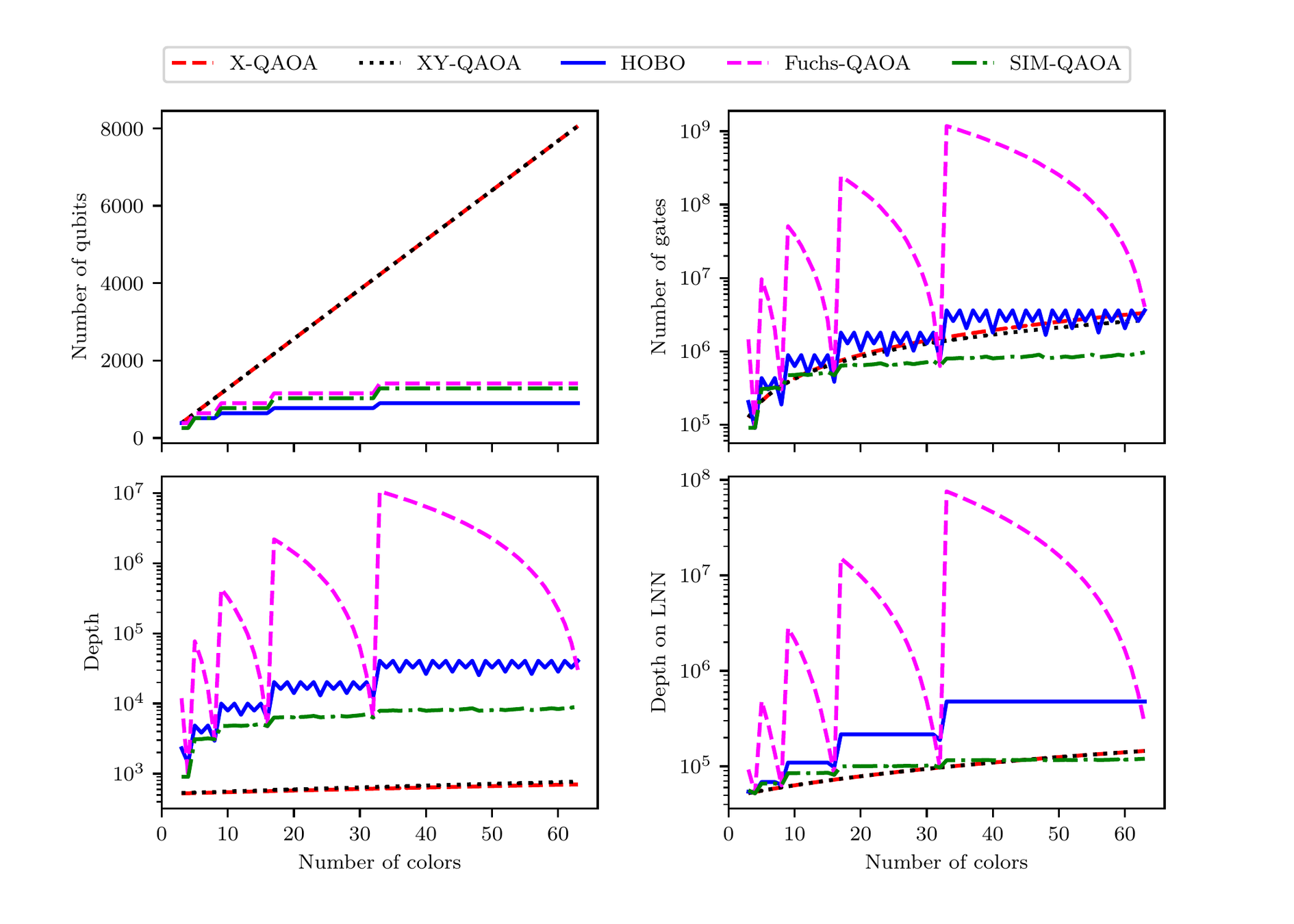
No. qubits and effective space size

XY-QAOA for TSP
mixer: \(X_iX_j + Y_iY_j\)
- \(n^2\) qubits but
- only one hot states are present (for example \(|001\rangle |010\rangle |001\rangle\))
- There is only \(n^n\) of them
- effective space space size is \(\log(n^n) = n\log n\)
- both lower bouned by log of the number of solutions
$$|p,r\rangle = \prod_{i=1}^k \exp(-\mathrm{i} p_iH_{\rm mix})\exp(-\mathrm{i} r_iH) |+^n\rangle $$

No. (parameterized) gates
- \(Z\otimes Z\otimes Z\) applied
- 5 gates, but 1 parameterized gates
no. gates bounded by the number of degrees of freedom in the problem (for example number of possible edges in Max-\(K\)-Cut)

\(H = - \sum_{i,j}w_{i,j}Z_i Z_j - \sum_i w_i Z_i\)

Depth (on LNN)
lowerbounded by number of gates over number of qubits


Linear Nearest Neighbour
All-to-All


Energy span - no. measurements
Better: From Hoeffding Theorem
State-of-the-art from VQE for \(H = - \sum_{i,j}w_{i,j}Z_i Z_j - \sum_i w_i Z_I\)
\(|\psi \rangle \mapsto 011\ldots0 \mapsto\) solution value
difference between max-min energies

Minimal example
- Hamiltonian \(H = -\prod_{i=1}^n b_i\)
- Corresponding Ising model: \(H = -\frac{1}{2^n} \prod_{i=1}^n (1-s_i)\) exponential number of terms \(O(2^n)\)!


\(O(n^2)\) gates on LNN!
\(b_i \leftarrow \frac{1-s_i}{2}\)
FUNC-QAOA
This is AND operations!
Max-\(K\)-Cut

- Graph as an input
- \(K\) colors
- maximize number of edges connecting different colors
- X-QAOA - one-hot states, \(X\) mixer, standard QUBO,
- XY-QAOA - one-hot states, \(XY\) mixer, standard QUBO
- HOBO - binary encoding, \(X\)-mixer, higher-order terms
- Fuchs-QAOA - as in Fuchs, Franz G., et al. "Efficient Encoding of the Weighted MAX-k-CUT on a Quantum Computer Using QAOA."
At least one cost depends siginificantly on K

Max-\(K\)-Cut

Fuchs-QAOA
Very bad when \(K=2^k+1\)

- binary encoding (\(|0100\rangle \mapsto |10_2\rangle\))
- All colors have meaning - last color is multiplied
- Fix incorrectly assumed different colors


Max-\(K\)-Cut - SIM-QAOA

- superposition of only valid colors (in binary)
- a quantum version of the classical pseudocode
- Dependency on \(K\) basically disappeared



Was it interesting?
- we reached optimal quality measures
- we essentially dropped the dependency on \(K\)
- Fits very well NISQ requirements!
- very important problem!
- we essentially took Fuchs idea and have simply chosen better initial state...
Let's go with a harder problem - Travelling Salesman Problem!
YES
NO

Travelling Salesman Problem

$$ A\sum_{t} \left(\sum_v b_{tv} -1\right)^2 + A\sum_{v} \left(\sum_t b_{tv} -1\right)^2 + B\sum_{t} \sum_{v,w} W_{v,w}b_{t,v}b_{t+1,w}$$
Travelling Salesman Problem
Time 2
City 3
We need to include cost matrix \(n\) times
}
cost
matrix
}
cost
matrix
}
cost
matrix
}
cost
matrix
}
cost
matrix
Travelling Salesman Problem
-
None of the encodings matches the "natural optimal" value, ...
-
..., but none can! We repeated \(O(n^2)\) degrees of freedom \(n\) times - \(O(n^3)\) gates

MTZ ILP an exceptions as variables are not "time to city" but "city to city"
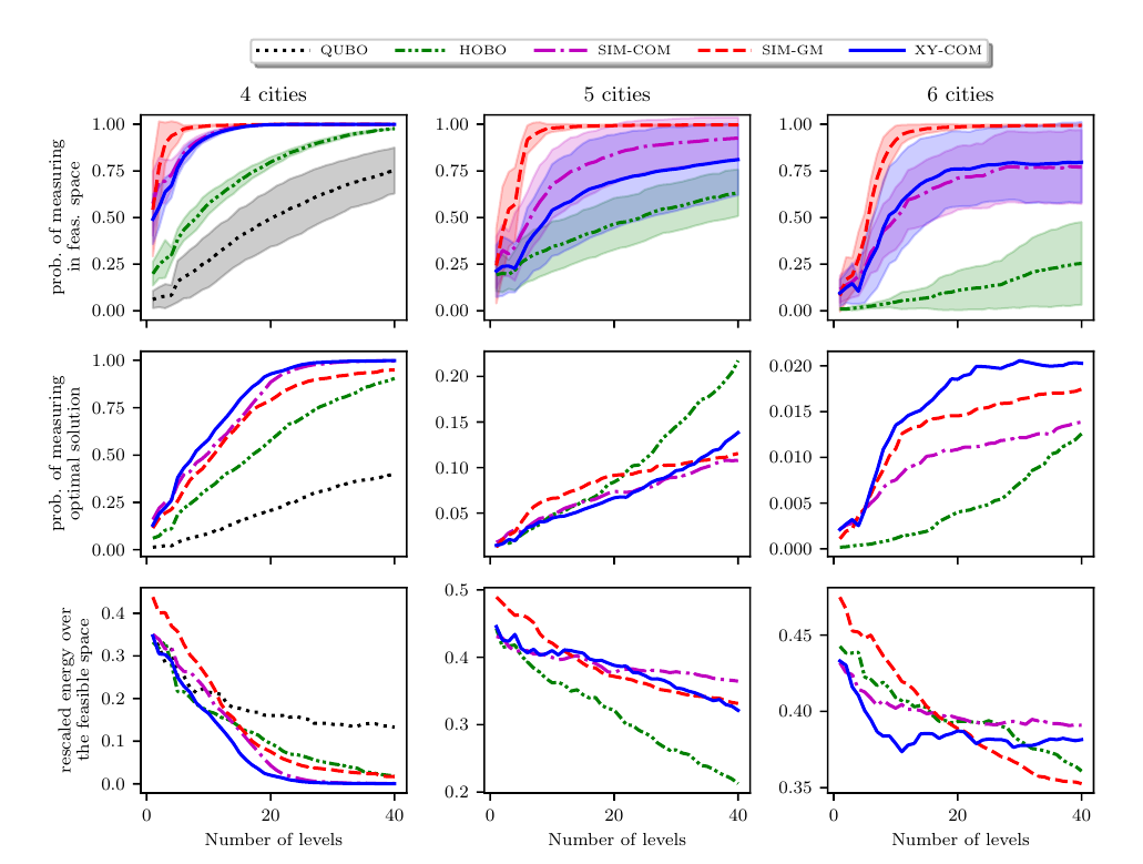
SIM-QAOA for TSP
- We start in the superposition of valid cities for each time-point
- we choose Grover Mixer for our purpose (different ones can be used)
- Hamiltonian implemented through a quantum version of the classical pseudocode (with some parallelization + swapping strategy)

TSP - SIM-QAOA


TSP - SIM-QAOA

It almost matches!
TSP - numerics

GM-QAOA clearly better!



...but at a price
Generalization
The idea can be generalized, so far we managed to use it for
- Set Cover problem
- Integer Linear Problem (trade-off)
- Graph Isomorphism (trade-off in general, optimal for Euclidean graphs)

Very difficult for general graph!
Thank you!
-
Bärtschi, Andreas, and Stephan Eidenbenz. "Grover mixers for QAOA: Shifting complexity from mixer design to state preparation." 2020 IEEE International Conference on Quantum Computing and Engineering (QCE). IEEE, 2020.
-
Fuchs, Franz G., et al. "Efficient Encoding of the Weighted MAX-\(K\)-CUT on a Quantum Computer Using QAOA." SN Computer Science 2.2 (2021): 1-14.
-
Glos, Adam, Aleksandra Krawiec, and Zoltán Zimborás. "Space-efficient binary optimization for variational quantum computing." npj Quantum Information 8.1 (2022): 1-8.
-
Tabi, Zsolt, et al. "Quantum optimization for the graph coloring problem with space-efficient embedding." 2020 IEEE International Conference on Quantum Computing and Engineering (QCE). IEEE, 2020.
-
Wang, Zhihui, et al. "X y mixers: Analytical and numerical results for the quantum alternating operator ansatz." Physical Review A 101.1 (2020): 012320.
-
Lucas, Andrew. "Ising formulations of many NP problems." Frontiers in physics (2014): 5.
-
Farhi, Edward, Jeffrey Goldstone, and Sam Gutmann. "A quantum approximate optimization algorithm." arXiv preprint arXiv:1411.4028 (2014).
-
Peruzzo, Alberto, et al. "A variational eigenvalue solver on a photonic quantum processor." Nature communications 5.1 (2014): 1-7.
Desk
By Adam Glos
Desk
- 436