Common Envelope
COBRA Discussion Group
Almog Yalinewich
8.3.19

A picture is worth 1000 words
Algol Paradox

Less massive but more evolved
Mass transfer

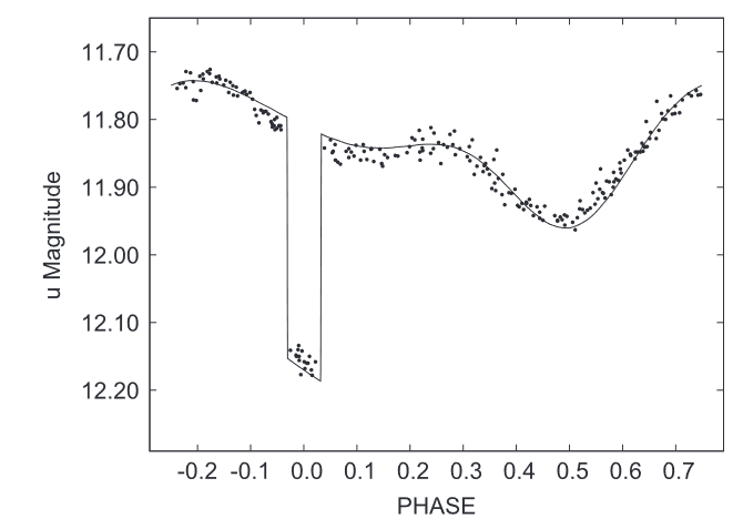
V471 Tau
Eclipsing Binary
V471 Tau
Very short period (12h), sma
V471 Tau
K type
white dwarf

Planetary Nebula

NGC 6720, The Ring Nebula

NGC 6543, the Cat's Eye Nebula
Planetary Nebula
V1309 Sco
Bipolar Outflow?
Theoretical Analysis
Energy Conservation
Addition Energy Sources
Accretion onto Companion
Companion Spin


Recombination
Energy sink - binding energy to companion

+fusion
Recombination

Technically, the envelope is unbound
Calibration
Mass ratio
Conservation of Angular Momentum
Calibration
Mass transfer Stability
Angular momentum
after mass transfer
Stable
Unstable
Stable Mass Transfer

Unstable Mass Transfer

Mnemonic


Progressive
unstable
Regressive
stable
insert snide political comment
Statistics
Bimodal White Dwarf Binary Period Distribution
Eccentricity-Period Distribution
Eccentricity-Period Distribution

Eccentricity-Period Distribution - General
Period Mass Ratio Relation
Tight
binaries
favour
large q
Alpha Prescription
Alpha Prescription

Gamma Prescription


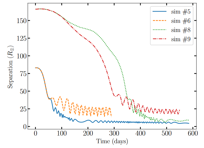
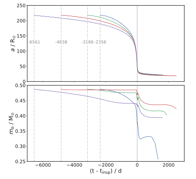
Simulations
Difficulties
Inherently 3D

Self Gravity
Multiscale
Radiation



Length Scales
Timescales
Rapid braking
Slow braking

high eccentricity
low eccentricity
Accretion Rate
Super Eddington Accretion
Without radiation
Eddington limit

Jet formation?
Adiabatic Simulations


Adiabatic Simulations

Very Little Mass Accretion

Loss of Mass through L2
Loss of Mass through L2
Loss of Mass through L2
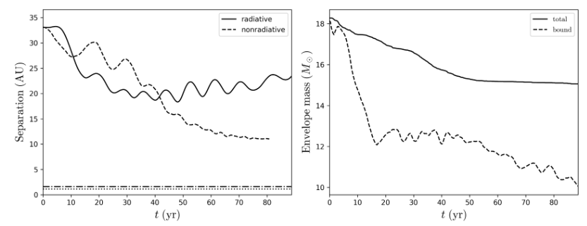
Radiation in CE of a Massive Star
Adiabatic
Radiative
Tenuous atmosphere
Different from low mass stars
Radiation in CE of a Massive Star

Envelope retained
More Eccentric
Larger separation
Jets

Jets


Common Envelope
By almog yalinewich
Common Envelope
- 442
















