FRB
scintillation in the
IGM
Almog Yalinewich
Clues from the Dispersion measure

Classical Electron radius





Could it be the intergalactic medium?
Kolmogorov Turbulent Cascade

Dimensional analysis
eddy size
Inner and Outer Scale

Speed of Sound
Outer scale
Inner scale
Scintillation












d
l
Phase Difference
Deflection Angle and Delay Time
Dominated by small scales

Constraint from timescale on outer length
Inequality if
Heating the Intergalactic Medium
Bremsstrahlung cooling timescale
Viscous heating timescale
Constraint on outer scale from heating
Large Scale Strucutre
Dispersion and Scattering Meaure
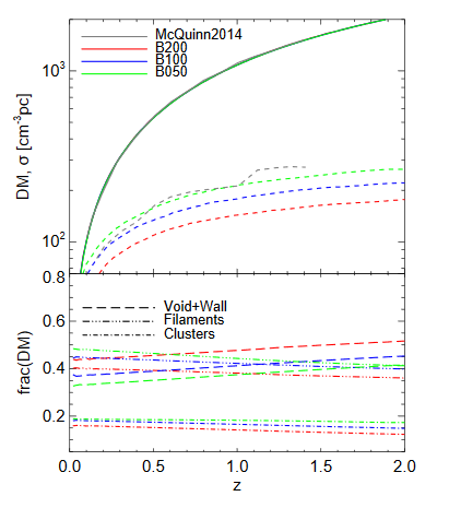
Dispersion measure from Simulations

mean
standard deviation
contributions from different components
Scattering measure from Simulations

Comparisons to observations




Summary
Previous study
uniform density

Current study
Clumpy IGM

Prevent the universe from boiling

IGM cannot account for SM
frb scintillation in the igm
By almog yalinewich
frb scintillation in the igm
- 361