Generalized compactness limit from an arbitrary viewing
Almog Yalinewich
Randoastro group meeting
21.3.19
Filler
Gamma Ray Bursts


Spectrum

Compactness Problem
Duration

~ 2 second
Length
10^{11} \rm cm

x c
Compactness Problem

Isotropic Equivalent Energy
E_{\rm iso} \approx 10^{51} \rm \, erg
Compactness Problem
10^{11} \, \rm cm
Energy density
10^{18} \, \rm \frac{erg}{cm^3}
Photon density
10^{24} \, \rm cm^{-3}
Optical depth to pair production
\tau_{pp} \approx 10^{11}
Compton Scattering
Before
After
Longer duration
Energy Cutoff
Enter Special Relativity

Observer Time
\Delta t_e
\Delta t_o
\Delta t_o \approx \frac{\Delta t_e}{\gamma^2}
Resolution
Radius grows by
\gamma^2
Optical depth diminishes by
\gamma^{-4}
Necessary Lorentz factor
\gamma \approx 1000
Non relativistic optical depth
\tau \approx 10^{11}
Relativistic Beaming

\theta \approx \gamma^{-1}
Observations

Single Messenger Era - On axis only
GW170817

Off axis GRB
Today's Paper
Compactness conditions for off axis emisison

Off Axis Variability
Cosine theorem
c \Delta t_{\rm ang} \approx \sqrt{r^2+R^2 - 2 r R \cos \theta} - \sqrt{r^2+R^2 - 2 r R \cos \left(\theta-\theta_{\gamma}\right)} \approx \frac{R}{c} \theta_{\gamma} \sin \theta
Compare with radial delay
\Delta t_r \approx \frac{R}{c \gamma^2}
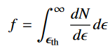
Number of Photons
\delta_{\rm D} = \frac{1}{\gamma \left(1-\beta \cos \theta \right)}
\Delta \Omega = \frac{\Delta \Omega'}{\delta_{\rm D}^2}
N_{\gamma} \approx \frac{E_{\rm iso}}{\delta_D^2 e_p}
\theta \ll \gamma^{-1}
\theta \gg \gamma^{-1}
\delta_{\rm D} \approx \gamma
\delta_{\rm D} \approx \gamma^{-1} \theta^{-2}
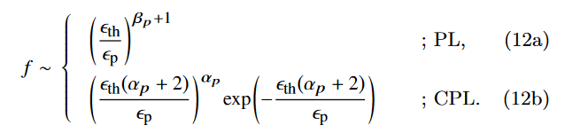
Spectrum
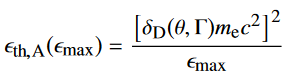
e_1 \cdot e_2 = m_e^2 c^4

quality
quantity
Annihilating Fraction



Low and high energy pair production
Enough energy in a single photon

Lower Bound on Optical Depth
\tau \approx \frac{\sigma N_s}{\theta_{\gamma}^2 R^2} \approx \frac{\sigma E_{\rm iso}}{c^2 \Delta t_o^2 \epsilon_p} \frac{f}{\max \left(1/\gamma,\theta\right)^2 \gamma^2 \delta^4}
\approx 10^{14} \frac{E_{\rm iso}}{10^{51} \, \rm erg} \left(\frac{\Delta t_o}{1 \, \rm s} \frac{\epsilon_p}{100 \, \rm keV} \right)^{-1} \frac{f}{\max \left(1/\gamma,\theta\right)^2 \gamma^2 \delta^4}
Application

Application

Application

Most GRBs are edge on
Application
More complicated spectrum allows for larger angles

off axis gamma ray bursts
By almog yalinewich
off axis gamma ray bursts
- 371
