Formation Rates and Evolution Histories of Magnetars

Pulsar Coffee
15.11.19
Almog Yalinewich
Introduction to Magnetars
Pulsar Magnetic Field
Consistent with flux conservation

Magnetar Magnetic Field

Turbulent dynamo

Heuristic for max field:
X Ray Luminosity
X ray luminosity
spin
down
luminosity
<<
X ray luminosity powered by magnetic field decay
Giant Flares

Mini EMP from SGR 1806-20
on 21:30:26.5 UT, Dec 27, 2004
10% of the magnetic energy
Abundance

2700 pulsars vs. 23 magnetars

Competing theories


Rare progenitor theories

Superluminous supernovae

Fast spin

High initial magnetic field
Magnetar Evolution and Age Estimation
Supernova Association

Dynamical time
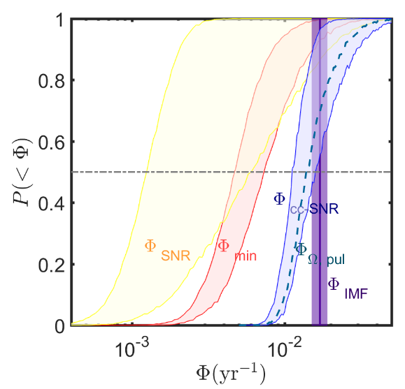
Upper limit on magnetar creation birth rate
Spindown Age


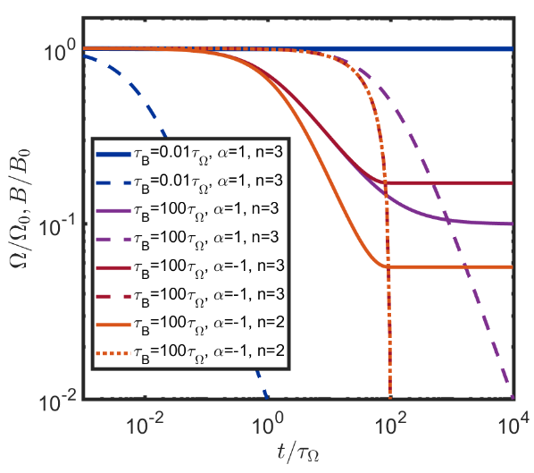
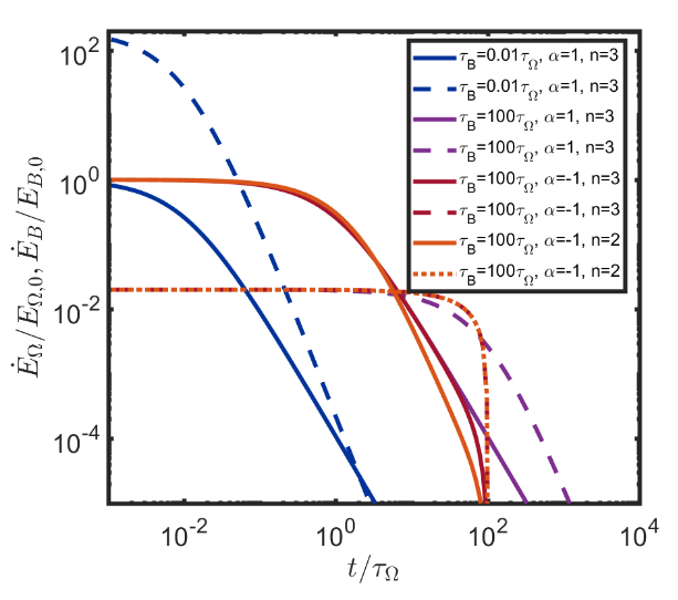
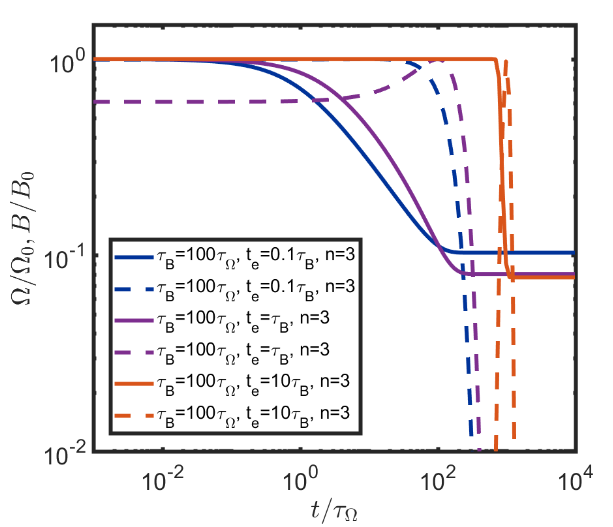
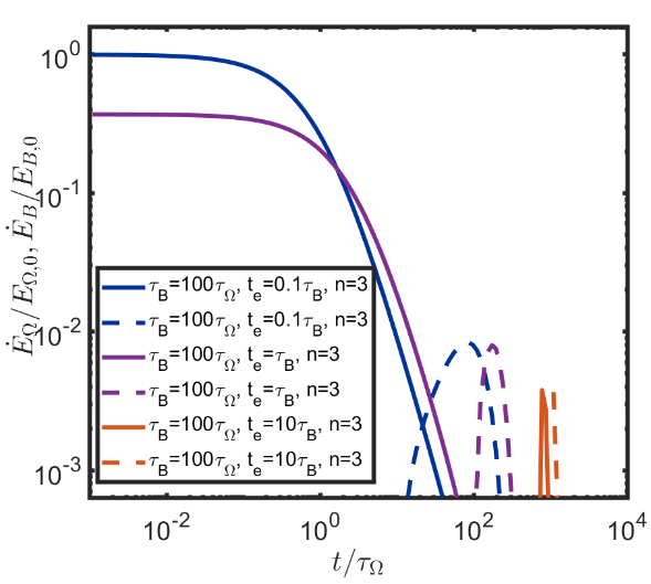
Demagnetisation Age
can't be measured
Proxy: X ray luminsity
Correction to spindown
Demagnetisation


Buried Magnetic Field?

Buried Magnetic Field?


Evolutionary Track

Probability Distribution

Population Synthesis
Setup
-
Natal rotation rate 100Hz
-
Log uniform initial magnetic field 1e14-1e15 G
-
Extinction 1 Mag / kpc
-
Richter like distribution for giant flares
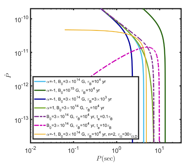
P-Pdot curves

Simulated
observed



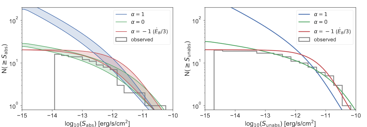
Flux vs. Numbers

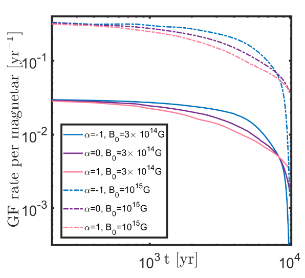
Giant Flare distribution


Conclusion
Magnetar birth rate 2-20 per 1000 years
NS birth rate 17+/-2 per 1000 years
roughly 40% of NS start out as magnetars
1e46 erg giant flare every 200 years
Detectable by swift up to 100 Mpc, 5 every year
Galactic sample is close to complete
magnetar formation rate
By almog yalinewich
magnetar formation rate
- 417



