A fast, well founded approximation to the empirical NTK, and its application in “look-ahead” deep active learning
Mohamad Amin Mohamadi
The University of British Columbia
March 2023

Outline of the talk
-
Empirical Neural Tangent Kernels
-
Approximating eNTKs
- Pseudo-NTKs: One logit might be enough!
- Bounds on approximation error
- Empirical evidence
- Surprising behaviours
-
Applications: "Look-Ahead" Deep Active Learning
- Active Learning
- Using eNTKs to approximate re-training NNs
- Empirical evaluations
The Neural Tangent Kernel
-
An important object in characterizing the training of suitably-initialized infinitely wide neural networks (NN)
-
Describes the exact training dynamics of first-order Taylor expansion of any finite-width neural network:
- Is defined as

1: Jacot, A., Gabriel, F., and Hongler, C. Neural tangent kernel: Convergence and generalization in neural networks.
2: Lee, J., Xiao, L., Schoenholz, S., Bahri, Y., Novak, R., SohlDickstein, J., and Pennington, J. Wide neural networks of any depth evolve as linear models under gradient descent.
[1]
[2]
The (Empirical) NTK
-
Is, however, notoriously expensive to compute :(
-
Both in terms of computational complexity, and space complexity!
- Computing the Full empirical NTK of ResNet18 on CIFAR-10 requires over 1.8 terabytes of Memory !
-
Our contribution:
- Pseudo-NTK: An approximation to the eNTK, dropping the O term from the above equations!
Pseudo-NTK: Definition
- For each NN, we define pNTK as follows:
- We call this sum-of-logits pNTK. We can accordingly also define single-logit pNTK.
- Computing this approximation requires \(\mathcal O(O^2)\) less time and memory complexity in comparison to the eNTK. (Yay!)

Pseudo-NTK: Motivation
- Although eNTKs in general are dense (as opposed to diagonal) matrices, in practical architectures, they become block-diagonal in expectation.
- Many recent works have thus used pNTK-like approximations in their experimental evaluations, with little to no justification.
- Question: Can we rigorously derive error bounds between pNTK and eNTK?
*: Under suitable parameterization at initialization, with expectation taken over the parameters of the neural network.
*
Approximation Error: Fro Norm
-
Theorem 1: Consider a fully-connected neural network whose parameters are initialized according to Standard Parameterization (fan_in). The following equality holds w.h.p over random initialization:
where \(n\) denotes the width of network.
-
Notes:
- This only applies to networks at initialization, but we present empirical evidence for trained weights.
- We focus on ReLU activation.
Approximation Error: Proof Idea
- Exploit the recursive structure of eNTKs in the last layer:
- Apply the Hanson-Wright Inequality:
- For any \(\nu\)-subgaussian random vector \(x\), and square matrix \(A\), there is a constant \(c\) such that:
- For simplicity, we focus on the single-logit pNTK, but the same exact proof can be applied to sum-of-logits pNTK.
Approximation Error: Fro Norm
- Define the difference matrix:
- Using Hanson-Wright Inequality, derive individual high probability bounds on each entry of the difference matrix, and apply a union bound on them to bound the Frobenius Norm!
Approximation Error: Fro Norm
- For diagonal entries:
- For diagonal entries:
- Hence, with probability at least \(1-\delta\), we have that:
Approximation Error: Fro Norm
- Likewise, for off-diagonal entries:
with probability at least \(1-\delta\).
- Applying a union-bound on the off-diagonal elements yields:
with probability at least \(1-\delta\).
Approximation Error: Fro Norm
- Applying a union bound on the entries of \(D(x_1, x_2)\) yields with probability at least \(1-\delta\):
- Using the recursive definition for eNTK, we can see that for ReLU FCNs at initialization, \(||\Theta^{(L)}||_F = \mathcal O(n\sqrt{n}) \), and \(\text{Tr}(\Theta^{(L)}) = \Theta(n^2) \) w.h.p.
- Thus, with probability at least \(1-\delta\) (up to constants):
Approximation Error: Fro Norm
- Using the recursive definition, for \(l \in [2, L]\):
-
Note: It's easy to see that in the fan_in mode, the dot-product of post-activations are \(\Theta(n)\), where \(n\) is the dimension of post-activations. (Lemma B.12 in manuscript, for completeness)
Approximation Error: Fro Norm


Approximation Error: \(\lambda_{\max}\)
-
Theorem 2: Consider a fully-connected neural network whose parameters are initialized according to Standard Parameterization (fan_in). The following equality holds w.h.p over random initialization:
where \(n\) denotes the width of network.
- Proof idea: The nominator is bounded by \(||D(x_1,x_2)||_F = \mathcal O(\sqrt{n})\) and the denominator's diagonal elements are \(\Theta(n)\), both w.h.p. over random init.
Approximation Error: \(\lambda_{\max}\)


Approximation Error:
Kernel Regression


- Note that pNTK is a scalar-valued kernel, but the eNTK is a matrix-valued kernel!
- Intuitively, one might expect that they can not be used in the same context for kernel regression.
- But, there's a work-around, as this is a well known problem:
Approximation Error:
Kernel Regression
-
Theorem 3: Consider a fully-connected neural network whose parameters are initialized according to Standard Parameterization (fan_in). The following equality holds w.h.p over random initialization:
where \(n\) denotes the width of network.
-
Note: This bound will not hold if there is any regularization (ridge) in the kernel regression! :(
Approximation Error:
Kernel Regression
- Using the fact that \( {\hat M}^{-1} - M^{-1} = -{\hat M}^{-1} ( \hat M - M) M^{-1}\):
- Proof Idea: Kernel regression without regularization is scale-invariant. To bound the inverses, define:
- Using the previous bounds on \( D(x_1, x_2) \), we can conclude the proof.
Approximation Error:
Kernel Regression


Pseudo-NTK: Speed-Up


Extending the Proof to
Other Settings
- Most initialization methods result in subgaussian independent weight scalars. Hence, one can accordingly use the Hanson-Wright inequality.
- We can plug in different activation functions as long as we can prove a high probability bound on dot-product of post-activations growing linearly with width.
- Thanks to Greg Yang's Tensor Programs, it's easy to see that the recursive definition of eNTK applies to most of the architectures.
A Note On The Current Version of The Manusript
Application: "Look-Ahead" Deep Active Learning
Active learning: reducing the required amount of labelled data in training ML models through allowing the model to "actively request for annotation of specific datapoints".
We focus on Pool Based Active Learning:

AL Acquisition Functions
Most proposed acquisition functions in deep active learning can be categorized to two branches:
- Uncertainty Based: Maximum Entropy, BALD
- Representation-Based: BADGE, LL4AL
Our Motivation: Making Look-Ahead acquisition functions feasible in deep active learning:

Retraining
Engine
Contributions
-
Problem: Retraining the neural network with every unlabelled datapoint in the pool using SGD is practically infeasible.
-
Solution: We propose to use a proxy model based on the first-order Taylor expansion of the trained model to approximate this retraining.
-
Contributions:
- We prove that this approximation is asymptotically exact for ultra wide networks.
- Our method achieves similar or improved performance than best prior pool-based AL methods on several datasets.
-
Our proxy model can be used to perform fast Sequential Active Learning (no SGD needed)!
- Idea: approximate the retrained neural network on a new datapoint ( ) using the first-order taylor expansion of the network around the current model.

- Intuitively, as adding one data-point will most likely not result in drastic changes in weights, using the first-order Taylor expansion should be a good proxy!
Approximation of Retraining
Approximation of Retraining

-
We prove that this approximation is asymptotically exact for ultra wide networks and is empirically comparable to SGD for finite width networks.
- Proof idea: Induction over size of dataset, starting from \(f_0 \) and adding datapoints sequentially.
Approximation of Retraining

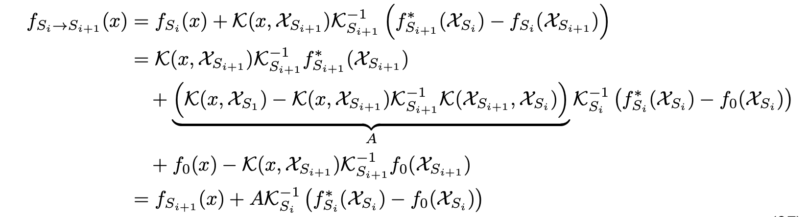
- Based case is trivial. For the transition case, we have:
- \(f_{S_i \to S_{i+1}}(x) \): Function resulting from training with initialization set to \(f_{S_i}\) and training on \(S_{i+1}\) until convergence.
Approximation of Retraining

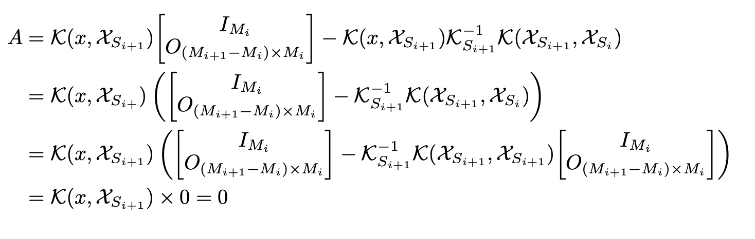
- We can see that \(A\) is equal to zero:
and hence, the induction step holds!
Look-Ahead Active Learning
- We employ the proposed retraining approximation in a well-suited acquisition function which we call the Most Likely Model Output Change (MLMOC):
-
Although our experiments in the pool-based AL setup were all done using MLMOC, the proposed retraining approximation is general.
- We hope that this enables new directions in deep active learning using the look-ahead criteria.
Final Algorithm

Experiments


Retraining Time: The proposed retraining approximation is much faster than SGD.
Experiments: The proposed querying strategy attains similar or better performance than best prior pool-based AL methods on several datasets.
Application: Trace of Hessian
- Pseudo-NTK can be used to approximate the trace of hessian of the loss function. For MSE Loss:
- For Cross Entropy loss, the hessian of loss function with respect to the NN function is not diagonal, but we're still trying to find a work-around.
Thank You! Questions?


Active Learning NTKs on arXiv
Pseudo-NTK on arXiv
brain_march_23
By Amin Mohamadi
brain_march_23
- 403