Correlations and symmetry in mean-field wavefunctions
Molecular orbital theory
Valence bond theory




Variational principle
Strategy:
Ground state minimizes
- Come up with a clever wavefunction parametrization
- Minimize its energy by varying parameters (we use Monte Carlo methods to do this)
Variational Monte Carlo
- Calculate energy: continuous time sampling
overlap ratios
- Calculate energy gradient: by sampling

local orbitals allow screening of distant excitations
- Change parameters: smart gradient descent
walker
- \( O(N^3) \) scaling, parallelizable
Restricted Hartree Fock (RHF)

Doubly occupied orbitals:

atomic
molecular


\(\theta\) slices
Shortcomings of restricted orbitals
- Doesn't correlate \(\uparrow\) and \(\downarrow\) electrons
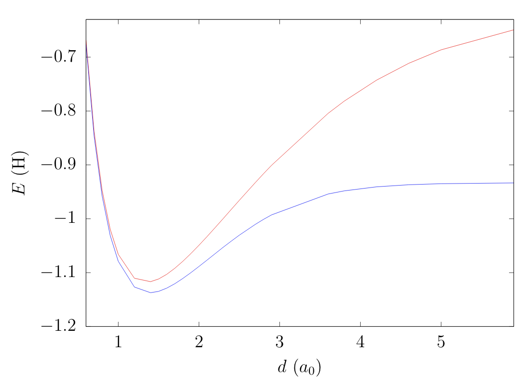
- Doesn't break bonds correctly: \(\text{H}_2\) dissociation

Restricted
Exact



as \(d\rightarrow\infty\)
Unrestricted Hartree Fock (UHF)
Singly occupied orbitals:




- Correlates \(\uparrow\) and \(\downarrow\) electrons
- Breaks bonds correctly (in many cases)
Unrestricted
Exact
as \(d\rightarrow\infty\)
Broken symmetry
- Hamiltonian has spin symmetry: invariant under spin rotations
The exact ground state is a spin eigenstate.
- The restricted wavefunction is a spin eigenstate, the unrestricted wavefunction is not. It breaks \( S^2 \) symmetry.
- The unrestricted wavefunction is an \( S_z \) eigenstate. We can break this symmetry as well.
- For an approximate variational wavefunction, symmetry is a constraint that can only raise its energy. In general, we can break all symmetries to remove constraints.
Generalized Hartree Fock (GHF)
Orbitals are not \( S_z \) eigenstates, spin and space entangled


Frustrated systems:

Restore broken symmetries
- We can restore the broken symmetry by projecting onto the desired symmetry sector, thus improving the wavefunction
- In Monte Carlo sampling, we can project certain symmetries trivially by choosing the walkers appropriately. For example, if the walkers are \(S_z\) eigenstates:
- Breaking symmetries may lower energy, but resulting wavefunction doesn't have good quantum numbers.
- We can break and restore complex conjugation symmetry by using complex orbitals and taking the real part of the overlap.
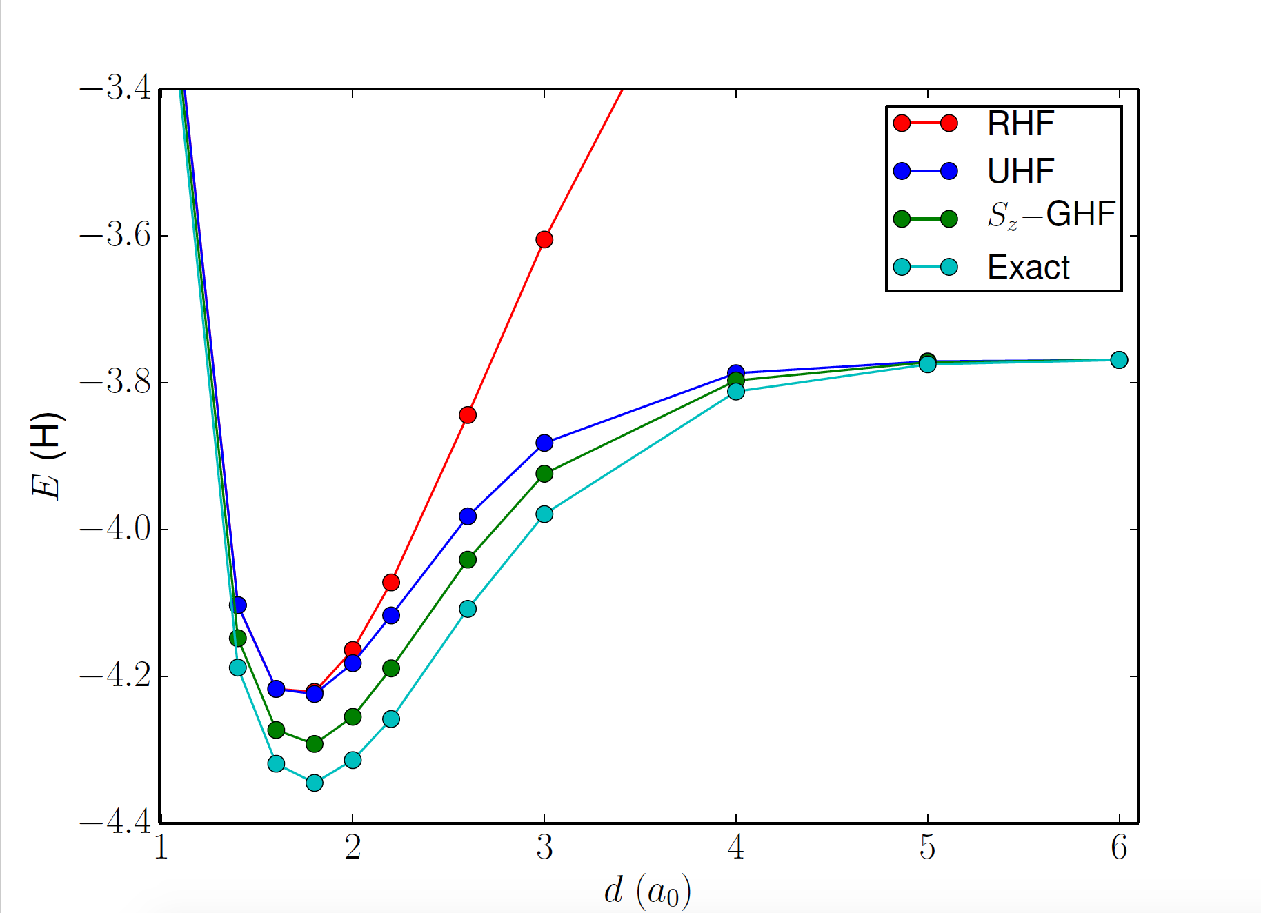
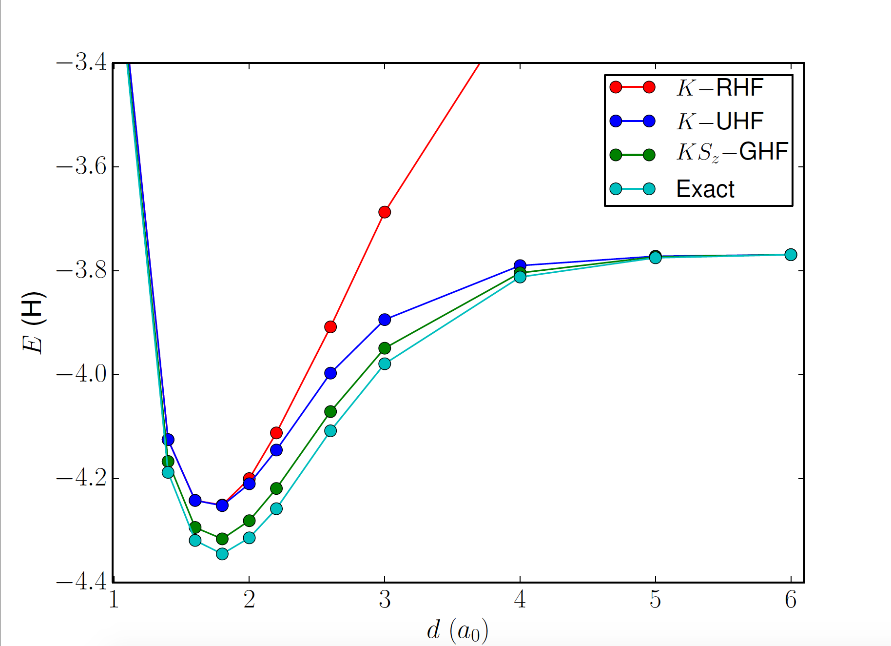
H\( _8 \) linear chain (8e, 8o)


restoring \( S_z \) symmetry

restoring \( S_z \) and \( K \) symmetries
Antisymmetrized geminal power (AGP)
We can break the number symmetry as well!
\( F_{p\uparrow,q\downarrow} \rightarrow\) amplitude for the bond between \( p \) and \( q \)


BCS wavefunction in real space
Spin eigenstate if \( F_{p\uparrow,q\downarrow} \) symmetric, breaks \( S^2 \) symmetry otherwise
Pfaffians
Includes same spin pairing: breaks all symmetries

antisymmetric matrix


The most general mean field wavefunction: includes all others as special cases
Jastrow factor
counts site occupations and suppresses spurious ionic configurations (double occupations)




also correlates long range excitations: important for describing insulators
Wavefunction hierarchy

jastrow
projector
reference
General form:

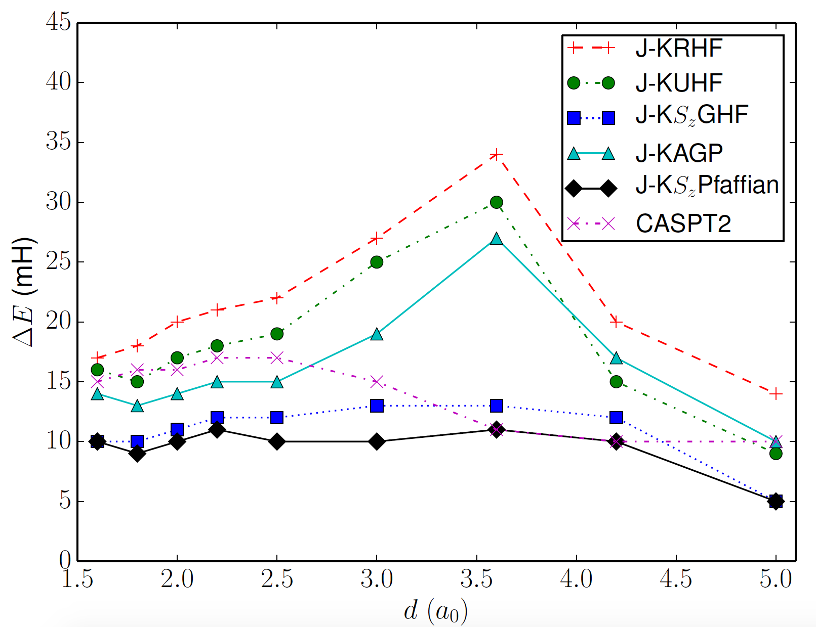
N\( _2 \) (14e, 18o)
| d (Bohr) | Exact | Jastrow-KSPfafian | Green's function MC | 
| 1.6 | -0.5344 | -0.5337 | -0.5342 | 
| 1.8 | -0.5408 | -0.5400 | -0.5406 | 
| 2.5 | -0.5187 | -0.5180 | -0.5185 | 
H\( _{50} \) linear chain (50e, 50o)
| U | Accurate result | Jastrow- KSGHF | Green's function MC | 
| 2 | -1.1962 | -1.1920 | -1.1939 | 
| 4 | -0.8620 | -0.8566 | -0.8598 | 
| 8 | -0.5237 | -0.5183 | -0.5221 | 
2D Hubbard: 98 sites
Thank you!
super_group1
By Ankit Mahajan
super_group1
- 414
 
   
   
  