Variational description of electron dynamics
Why study dynamics?
- Directly related to experiments: electronic response to experimental probes
- At finite temperatures, electron dynamics are always present
- Goal: Develop a set of ab initio methods to study electron dynamics in strongly correlated molecular and condensed systems
Damped harmonic oscillator
Response to an external time-dependent force \(F(t)\)
green's function, susceptibility, response function, ...
Spectral function \(\propto\) dissipation (\(\gamma\))
Poles:

Linear response functions in QM
Suppose a system is perturbed as \(H_{ext} = F(t)\hat{B}\), then the response of \(\langle\hat{A}\rangle\) to linear order is given by
Kubo formula:
Spectral representation:
For the case \(\hat{A} = \hat{B}\), dissipation \(\propto\) fluctuations
Fermi's golden rule: scattering amplitude for probe particle, could be a photon, neutron, electron, etc.

Different spectroscopies couple to different operators \(\hat{A}\)
- Photoemission/attachment: \(\hat{c}_{\mathbf{k}}\),\(\hat{c}_{\mathbf{k}}^{\dagger}\)
- X-ray scattering: \(\rho(x)\)
- neutorn scattering: \(\rho_{\sigma}(x)\)
Adiabatic theorem: Elementary excitations of the electron Fermi liquid
- Model condensed system: interacting electron liquid, compensating uniform background
- In the noninteracting limit, reduces to free Fermi gas with excitations described by free electrons and holes
- Adiabatic theorem: If you imagine turning on the interaction slowly, these simple states evolve into quasiparticles


How can we describe particle-hole excitations?
- Add excitations to interacting ground-state:
- Construct effective Hamiltonian for these states that encodes interactions between them
- Find low-lying eigenvalues of this effective Hamiltonian to find excitation energies
- This approach is very general and used in traditional theories like equation of motion CCSD
Strong interactions destroy quasiparticles
- Hubbard model: undergoes Mott transition at critical \(U\), even at zero temperature!

- For small \(U\), behaves like a weakly interacting Fermi liquid
- As \(U\) is increased, electrons become localized and the system becomes an insulator, no explanation in terms of quasiparticles possible

Describing correlated excitations
- Same strategy as before, act excitations onto the ground state, now in terms of local orbitals
- Construct an effective Hamiltonian for these states and find low lying states
- Numerically, deterministic algorithms require construction of high-rank reduced density matrices to accomplish this
- We use Jastrow symmetry projected mean field states
A way to avoid RDM's: use stochastic sampling
walker

Generate Hamiltonian excitations from the walker using heat-bath screened sampling
We implemented this for multireference configuration interaction calculations which require similar Hamiltonian construction

Preliminary results for excited states

Improvements: need to include more excitation classes, e.g. cofermions
Hydrogen chain of 10 atoms, near equilibrium geometry
Time-dependent variational principle
A variational principle for the time-dependent Schrodinger equation!
Geometrically:

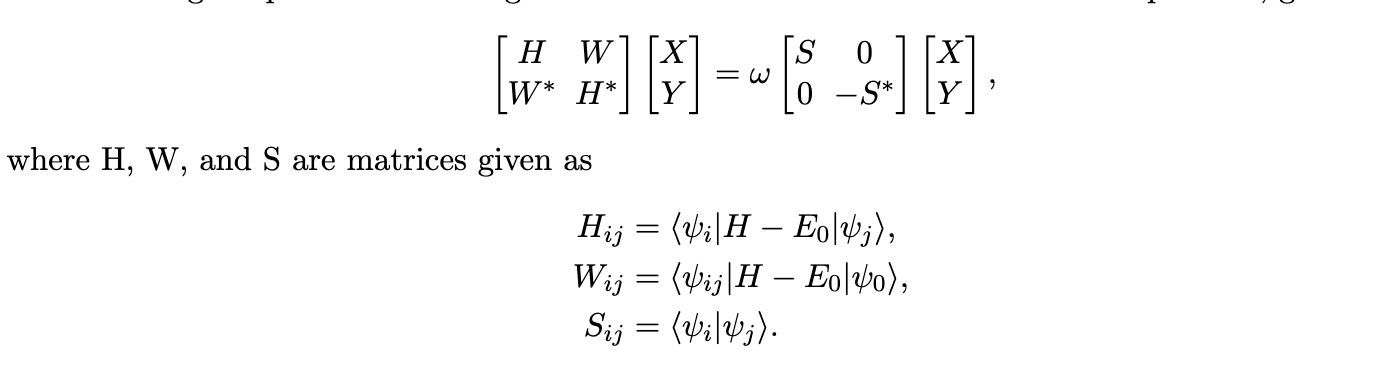
Expand wavefunction linearly in parameters at \(|\psi_0\rangle\), and diagonalize the effective Hamiltonian in the tangent space:
Another approach to get excited states

Numerically, all gradients can be evaluated at the same cost as the function!
Thank you!
super_group2
By Ankit Mahajan
super_group2
- 460