Radiotechnika

Łukasz Dubiel
SP9JAR
Agenda
- Fale elektromagnetyczna
- Podstawy teoretyczne
- Modulacja
- Filtrowanie
- Detekcja
- PLL
- Budowa odbironików
Fala elektromanetyczna
Fala elektromagnetyczna
rozchodzące się w przestrzeni zaburzenie pola elektromagnetycznego.

Fala elektromagnetyczna
Fala elektromagnetyczna

Rodzaje polaryzacji
- Pozioma
- Pionowa
- Kołowa
Odrobina teorii


Modulator


Dudnienia
Modulacja
Modulacja amplitudy
Amplituda fali modulowanej zmienia się zgodnie z sygnałem modulującym
Modulacja amplitudy - AM

Filtry
Dlaczego filtrować ?

Rodzaje filtrów
- Dolnoprzepustowy
- Górnoprzepustowy
- Pasmowo przepustowy
- Środkowo zaporowy
Dolnoprzepustowy
Górnoprzepustowy
Środkowopasmowy
Środkowozaporowy
Pętla synchronizacji fazowej

PLL
1. VCO - generator przestrajany napieciem

PLL
2. Dzielnik częstotliwości nastawny

PLL
3. Komparator

PLL
4. Generator wzorcowy

PLL
5. Dzielnik wzorca

PLL
6. Wzmacniacz błedu
Bezpośrednia reakcja

Odbiornik bezpośedniej reakcji
1. Wzmacniacz w.cz.
2. Detektor bezpośredni
3. Wzmacniacz akustyczny
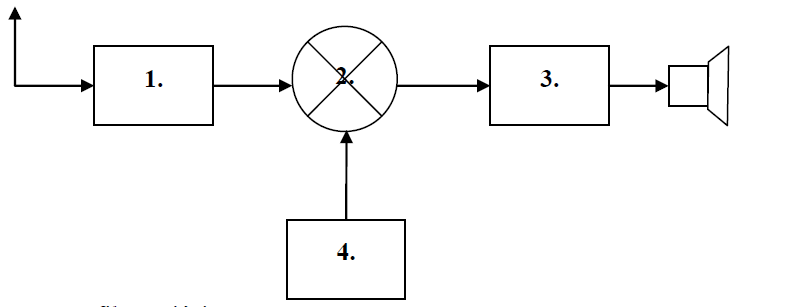
Homodyna

1. Filtr wejsciowy
2. Mieszacz
3. wzmacniacz akustyczny
4. heterodyna
Heterodyna
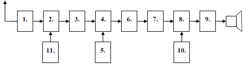
Superheterodyne
1. wzmacniacz w.cz.
11. heterodyna I strojona
2. Pierwszy mieszacz

Superheterodyne
3. wzmacniacz I p.cz
5. hetedoryna II - stała
4. II mieszacz

Superheterodyne
6. filtr przełączany II p.cz
7. wzmacniacz II p.cz

Superheterodyne
10. BFO
8.Detektor AM/SSB/CW
7. wzmacniacz m.cz

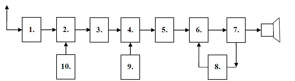
Heterodyna FM

Odbiornik heterodynowy
6. Detektor
7. Wzmacniacz akustyczny
8. Blokada szumów
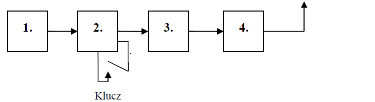
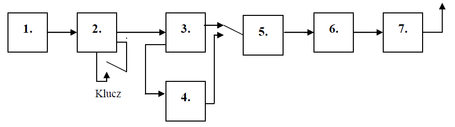
Nadajnik CW

Nadajnik CW
1. VFO
2. Separator
3. Wzmacniacz
4. Filtr wyjściowy
Nadajnik CW na dwa pasma

Nadajnik CW na dwa pasma
Dziękuję za uwagę
Szczególne podziękowania dla:
Wiktora "SQ9WTF" Przybylskiego
Grzegorza Gajocha
Podstawy Radiotechniki
By bambucha
Podstawy Radiotechniki
Prezentacja podstaw radiotechniki, modulacji i demodulacji
- 3,833