Electron Density Reconstruction in the Ionosphere
Brian Breitsch
Advisor: Dr. Jade Morton

TEC, tomography, assimilation, GNSS occultations, spherical symmetry
A vague, uninformed, and somewhat rambling overview of
Outline
- TEC
 - tomography
 - ionosonde/ISR
 - radio occultation
 - spherical symmetry inversion
	
- derivation
 - results
 - limitations
 
 - other imaging methods using RO
 
Electron Density
and Reconstruction
- electron density is the image
 
- total electron content               is the typical observable
	
- also , ,
 
 
- is the path integral of
 
Austen et. al. 1988
three receiver simulation geometry
Ionospheric Imaging Using Computerized Tomography
- simulation study
 - 2D plane
 - suggests feasibility of ionosphere tomography
 - indicates poor vertical resolution
 
Yeh and Raymund 1991
Limitations of Ionospheric Imaging by Tomography
- detailed mathematical analysis
 - impulse response methods
 - quantitative results for resolution
	
- affirms poor vertical resolution
 
 

Tomography Successes
- early success with polar orbiting beacons
 - NNSS (Navy Navigation Satellite System)
	
- near-polar orbit at 1000km
 
 

Na et. al. 1990 imaging of ionosphere trough
Tomography Successes
- Yizengraw et. al. 2003
 - 
	
Tomographic reconstruction of the ionosphere using ground-based GPS data in the Australian region
 - 
	
GPS satellites in 2D geometry
 - 
	
showed ionospheric trough during geomagnetic storm
 

Tomography Successes
- many others
 - most using a priori information
	
- model-based background
 
 - many using regularization contraints
	
- orthonormal basis functions
		
- spherical harmonics
 
 - model-based functions
		
- Chapman
 - DGR (Giovanni and Radiacella, Radiacella & Zhang 1995)
 
 
 - orthonormal basis functions
		
 

tomographic image and EISCAT verification, Mitchel et. al. 1997
Problems
- 2D plane assumption invalid
 - poor vertical resolution
 - poor temporal resolution with GPS satellites
 - ill-posed inverse problem
	
- especially in 3D
 - need for regularization
 - need for more data
 
 
Ionosondes and ISRs
advantages
- provide high-resolution vertical information
 - on-demand (ish) sounding
 
disadvantages
- size
 - cost to build/operate
 - restricted location
 - bottomside profile only for ionosondes
 

Radio Occultations
- Earth limb sounding of TEC (LTEC)
 - provide information with good vertical resolution
 - even, global distribution of soundings
 

- useful for tomography and model assimilation
 - complementary to ground-GNSS geometry
 

Reconstruction
radio occultation data can stand on its own
- spherical symmetry assumption for provides sufficient regularization
 - resulting inverse problem is well-defined
 
- solution to Abel inversion is least-squares solution to corresponding system
 
upper triangular
Reconstruction
assuming spherical symmetry
Reconstruction
layers

- assume varies linearly between layers
 
between and layers, define election density:
Reconstruction
TEC observation expression
- TEC typically defined in TECU:
 - redefine as:
 
where is the impact parameter for layer
Reconstruction
solving integrals
- plug in linear expression:
 - solve integrals
 
Reconstruction
expand solution
- define:
 
Reconstruction
group corresponding layers
Reconstruction
final expression
Reconstruction
top-layer density
- assume is constant for near
 
then
perform fit of top few measurements to find
Reconstruction
above-LEO
- subtract off for positive elevation angle
 - usually
 

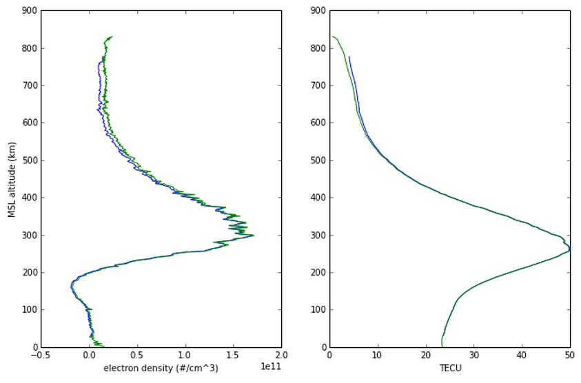
Results
no calibration

Results
DCB calibration (guess/fit)

Results
above-LEO calibration
Horizontal Gradients
Case: Ascension Island

- scintillation amongst GNSS satellites suggests horizontal gradients
 
- manifest through invalid electron density profile reconstruction
 
Horizontal Gradients
impact on spherical symmetry assumption
- Shaik et. al. 2013 does investigates impact of spherical symmetry assumption in ionospheric imaging
 - found good correlation between horizontal gradients and profile retrieval error
 

VTEC modeled using NeQuick2 with hypothetical occultation tangent point overlay
Horizontal Gradients
Using VTEC to scale profile shape
<results from paper>
Other Methods
wave-theoretic
- use LEO orbit as synthetic aperture
 - spectrum inversion
 - addresses multipath concerns
	
- not relevant in ionosphere
 - potentially very useful in troposphere
 
 


Jensen et. al. 2003 FSI simulation
Model Assimilation
- includes physics-based a priori model
 - uses all data sources
 - 4D imaging
 
Simply the most comprehensive and effective way to image the ionosphere.
Bust 2008 provides historical context for 2D tomography leading into 4D tomography/assimilation
Tomography/Assimilation
- Ionospheric Data Assimilation Three Dimensional (IDA3D)
	
- uses 3 dimensional variational data assimilation
 
 - Regional Ionospheric Mapping and Tomography (RIMT)
	
- toolkit developed at Cornell, used in multiple studies
 
 - everyone, everywhere, is/was doing ionosphere imaging
	
- Stanford
 - Cornell
 - University of California, Los Angeles
 - University of Texas, Austin
 - University of Calgary, Canada
 - La Trobe University, Bundoora, Australia
 - Wuhan University, China
 - University of Wales, Aberystwyth, U.K.
 
 

Data Assimilation
IDA3D
- Bust et. al. 2007
 - showed convective transport at polar cap
 
Proposal
Goal: to improve vertical ionosphere profile reconstruction using RO measurements w/o need for full-blown 3D/4D assimilative model?
- use IRI for contributions of top-layers in lower-layer reconstruction
 
- disadvantage: model could have significant bias
 
- 
Yeh, K. C., and T. D. Raymund. "Limitations of Ionospheric Imaging by Tomography." Wiley Online Library. Radio Science
 - Radicella, Sandro Maria, and Man-Lian Zhang. "The Improved DGR Analytical Model of Electron Density Height Profile and Total Electron Content in the Ionosphere." Annali Di Geofisica 38 (1995): 35-41.
 - Montebruck, Oliver, and Eberhard Gill. "Ionospheric Correction for GPS Tracking of LEO Satellites." The Journal of Navigation, n.d. Web. 01 July 2015.
 - 
Mitchell, C. N., L. Kersley, J. A. T. Heaton, and S. E. Pryse. "Determination of the Vertical Electron-density Profile in Ionospheric Tomography: Experimental Results." Annales Geophysicae 15 (1997): 747-52.
 - 
Hernandez-Pajares, M., J. M. Juan, and J. Sanz. "Improving the Abel Inversion by Adding Ground GPS Data to LEO Radio Occultations in Ionospheric Sounding." Geophysical Research Letters - Wiley Online Library. Group of Astronomy and Geomatics, n.d. Web. 01 July 2015. 
 - 
Garcia-Fernandez, Miquel, Manuel Hernandez-Pajares, Jose Miguel Juan-Zornoza, and Jaume Sanz-Subirana. "An Improvement of Retrieval Techniques for Ionospheric Radio Occultations." ResearchGate. Astronomy and Geomatics Research Group, n.d. Web. 01 July 2015. 
 - 
Fremouw, E. J., and James A. Secan. "Application of Stochastic Inverse Theory to Ionospheric Tomography" Radio Science - Wiley Online Library. Radio Science, n.d. Web. 01 July 2015. 
 - 
Bernhardt, P. A., K. F. Dymond, J. M. Picone, D. M. Cotton, S. Chakrabarti, T. A. Cook, and J. S. Vickers. "Improved Radio Tomography of the Ionosphere Using EUV/optical Measurements from Satellites." Radio Sci. Radio Science 32.5 (1997)
 - Spencer, Paul S. J., Douglas S. Robertson, and Geral L. Mader. "Ionospheric Data Assimilation Methods for Geodetic Applications." (2005): n. pag. Web.
 
deck
By Brian Breitsch
deck
- 755